Главная Случайная страница


Полезное:

Как сделать разговор полезным и приятным Как сделать объемную звезду своими руками Как сделать то, что делать не хочется? Как сделать погремушку Как сделать так чтобы женщины сами знакомились с вами Как сделать идею коммерческой Как сделать хорошую растяжку ног? Как сделать наш разум здоровым? Как сделать, чтобы люди обманывали меньше Вопрос 4. Как сделать так, чтобы вас уважали и ценили? Как сделать лучше себе и другим людям Как сделать свидание интересным?


Категории:

АрхитектураАстрономияБиологияГеографияГеологияИнформатикаИскусствоИсторияКулинарияКультураМаркетингМатематикаМедицинаМенеджментОхрана трудаПравоПроизводствоПсихологияРелигияСоциологияСпортТехникаФизикаФилософияХимияЭкологияЭкономикаЭлектроника






Определение силы тяги





Рассмотрим процесс возникновения магнитного поля в клапанном электромагните постоянного тока. При включении источника напряжение уравновешивается падением напряжения на активном сопротивлении и э.д.с. самоиндукции:

u(t) = iR + dΨ/dt.

Домножим левую и правую часть выражения на idt:

u idt = i2 Rdt + i dΨ.

Проинтегрируем полученное выражение:

.

Первый интеграл представляет собой энергию, затраченную источником.

Второй интеграл - потери энергии в активном сопротивлении.

Третий интеграл – энергия, затраченная на создание магнитного поля.

Пока сила, развиваемая электромагнитом, меньше силы пружины, якорь электромагнита неподвижен.

i2
i1
На рис. 49 представлена зависимость потокосцепления Ψ от тока i,создаю-щего это потокосцепление, при неизменном воздушном зазоре δ1 иδ21. Как только при Ψ1 сила элек-тромагнита станет больше силы пружины, так якорь переместится в положение с меньшим воздушным зазором δ2 < δ1.

Рис.49

Следовательно,магнитная проницаемость воздушного зазора станет больше, и потокосцепление увеличится, Ψ2> Ψ1, а рабочая точка переместится из положения 1 в 2 (см. рис. 49) на кривой Ψ(i) при δ1.

Таким образом, за счет изменения магнитной энергии,

которая равна заштрихованной площади S012 на рис. 49, якорем электромагнита совершается механическая работа dA.

Для расчета силы, развиваемой электромагнитом, необходимо эту механическую работу разделить на изменение зазора dδ. Причем, сила действует в сторону уменьшения зазора, следовательно, имеет знак минус:

FТЯГИ = – dA/dδ.

Зависимость тяговой силы электромагнита FT от величины рабочего зазора δ при неизменном значении тока в его обмотке называется статической (тяговой) характеристикой электромагнита.

Если магнитное поле в рабочем зазоре равномерно и

полюсы не насыщенны, то величину силы тяги FT можно

рассчитать по формуле Максвелла:

FT= B2Sδ/(2μ0). (54)

3.9. РАСЧЕТ МАГНИТНОЙ ЦЕПИ ПЕРЕМЕННОГО

ТОКА

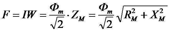
При расчете магнитной цепи переменного тока можно использовать все методы, рассмотренные для постоянного тока, но применять комплексную форму потока , намагничивающей силы , магнитного сопротивления Z M:

; ; Z M = RM+ jXM = ZM e j (β- α ),

где RM = ρR ℓ / S – активная, XM = ρX ℓ / S– реактивная составляющие магнитного сопротивления, – длина среднейлинии магнитопровода, S –площадь поперечного сечения магнитопровода, угол потерь в магнитопроводе

β – α = γ = arctgρX/ ρR.

Тогда II закон Кирхгофа в комплексной форме для магнитных цепей, состоящих из N участков и M катушек,

 

Mi
(55)

 

Значения ρR и ρX (удельные магнитные сопротивления) определяются из эмпирических кривых ρR (В) и ρX (В) [2] для заданного материала магнитопровода.

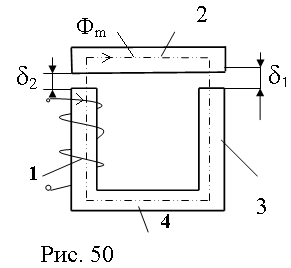
Рассмотрим последовательную магнитную цепь, в которой проходит один и тот же магнитный поток Фm(рис.50).

 

Рис. 50
δ1
Магнитная цепь с П-образным магнитопроводом имеет 6 учаcтков:сердечник–1,якорь–2,ярмо–3, основание – 4 и два воздушных зазора δ1 и δ2. Комплексное сопро
 
тивление всей цепи равно сумме комплексных сопротивлений отдельных участков:

Z M= Z M1 + Z M2 + Z M3+ Z M4 +R1+R2 =

R1 1 /S1R2 2 /S2+ ρR3 3 /S3R4 4 /S410SB1

20SB2)+ j(ρX1 1 /S1+ +ρX2 2 /S2X3 3 /S3

X4 4 /S4)=RM+ jXM, (56)

где i – длинна средней линии i -го участка;

S i – поперечное сечение i -го участка.

Решая прямую задачу расчета магнитной цепи, воспользуемся соотношениями (55 и 56).

При заданном магнитном потоке Фm i определяем значение магнитной индукции Bm i на каждом участке Bm i m i /S i, а затем по кривым ρR(B) и ρX(B) определяем соответствующие ρR i и ρX i. После чего вычисляем величину необходимой намагничивающей силы по модулю

 

. (57)

3.10. ЭЛЕКТРОМАГНИТЫ ПЕРЕМЕННОГО ТОКА

Если магнитный поток создается с помощью обмотки, по которой проходит переменный ток, то такая магнитная система может использоваться в электромагнитах переменного тока.

U
U
Рассмотримоднофазныйэлектромагнит (рис.51).Пусть Ф(t)=Фmsin t,где Фm = U/ (4,44 fW). Тогда из формулы Максвелла (см. 54) можно определить мгновенное значение силы тяги в килограммах.


Рис. 51


F(t) = Ф2 /2μ0S = Ф2m sin t /2μ0S=

. (58)

 

Из (58) следует, что мгновенное значение силы F(t)изменяется от нуля до максимального значения

с частотой, в 2 раза превышающей частоту переменного тока питающей сети.

Первое слагаемое в выражении (58) – среднее значение силы за период, которое используется как расчётное значение полезной силы, действующей на один полюс

.

Второе слагаемое (58) – переменная составляющая силы, которая приводит к вибрации якоря в электромагните, что является отрицательным явлением.

От выражения (58) для силы можно перейти к другому , но учитывая, что в однофазном электромагните 2 полюса (см. рис.51),

.

Для снижения вибраций, вызываемых переменной составляющей F(t), применяют расщепление полюса с экранирующей обмоткой или короткозамкнутым витком. В результатеполучают сглаживание пульсаций магнитного потока.

 







Date: 2015-07-27; view: 1194; Нарушение авторских прав



mydocx.ru - 2015-2026 year. (1.036 sec.) Все материалы представленные на сайте исключительно с целью ознакомления читателями и не преследуют коммерческих целей или нарушение авторских прав - Пожаловаться на публикацию