Главная Случайная страница


Полезное:

Как сделать разговор полезным и приятным Как сделать объемную звезду своими руками Как сделать то, что делать не хочется? Как сделать погремушку Как сделать так чтобы женщины сами знакомились с вами Как сделать идею коммерческой Как сделать хорошую растяжку ног? Как сделать наш разум здоровым? Как сделать, чтобы люди обманывали меньше Вопрос 4. Как сделать так, чтобы вас уважали и ценили? Как сделать лучше себе и другим людям Как сделать свидание интересным?


Категории:

АрхитектураАстрономияБиологияГеографияГеологияИнформатикаИскусствоИсторияКулинарияКультураМаркетингМатематикаМедицинаМенеджментОхрана трудаПравоПроизводствоПсихологияРелигияСоциологияСпортТехникаФизикаФилософияХимияЭкологияЭкономикаЭлектроника






II закон Кирхгофа





Алгебраическая сумма магнитных напряжений на маг-нитных сопротивлениях любого произвольного замкнутого контура равна алгебраической сумме м.д.с., действующих в этом контуре:

(45)
.

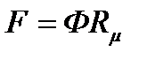
II закон Кирхгофа вытекает из закона полного тока. Учитывая, что м.д.с. F определяется через ток I и число витков W, ,

II закон Кирхгофа можно записать в другой форме:

.

Законы Кирхгофа справедливы для линейных и нелинейных цепей.

Закон Ома для магнитной цепи.

Участок магнитной цепи называется линейным, если магнитная проницаемость его постоянна, = const.

Рассмотрим такой участок линейной магнитной цепи, длина которого равна ℓ, а площадь поперечного сечения S.

Справедливо соотношение:

.

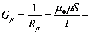
Следовательно, ,

где магнитное сопротивление участка цепи,

тогда магнитная проводимость.

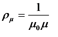
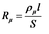
Если обозначить удельное магнитное сопротивление материала , то магнитное сопротивление тогда можно вычислить из соотношения

. (46)

 

 







Date: 2015-07-27; view: 657; Нарушение авторских прав



mydocx.ru - 2015-2026 year. (0.502 sec.) Все материалы представленные на сайте исключительно с целью ознакомления читателями и не преследуют коммерческих целей или нарушение авторских прав - Пожаловаться на публикацию