Главная Случайная страница


Полезное:

Как сделать разговор полезным и приятным Как сделать объемную звезду своими руками Как сделать то, что делать не хочется? Как сделать погремушку Как сделать так чтобы женщины сами знакомились с вами Как сделать идею коммерческой Как сделать хорошую растяжку ног? Как сделать наш разум здоровым? Как сделать, чтобы люди обманывали меньше Вопрос 4. Как сделать так, чтобы вас уважали и ценили? Как сделать лучше себе и другим людям Как сделать свидание интересным?


Категории:

АрхитектураАстрономияБиологияГеографияГеологияИнформатикаИскусствоИсторияКулинарияКультураМаркетингМатематикаМедицинаМенеджментОхрана трудаПравоПроизводствоПсихологияРелигияСоциологияСпортТехникаФизикаФилософияХимияЭкологияЭкономикаЭлектроника






Контактная поверхность и контактное сопротивление





 

Рассмотрим механический контакт двух металлических твердых тел. При любой чистоте обработки металлических поверхностей соприкосновение тел происходит не на всей площади, а лишь в отдельных ее точках (рис. 24.).

Для обеспечения надежного прохождения электрического тока контакты сжимают с силой, которая называется силой контактного нажатия. Эта сила может создаваться при затяжке болтов, при обжатии контактного наконечника на конце провода или из-за деформации пружин контактной системы. При этом микровыступы, по которым произошел первоначальный контакт, деформируются. В соприкосновение приходят другие выступы, которые также могут деформироваться. На поверхности образуются площадки, которые и воспринимают усилие контактного нажатия. Давление в разных точках поверхности контактных площадок в общем случае не одинаково и может вызвать как упругие, так и пластические деформации.

Таким образом, механический контакт двух тел происходит не по всей видимой поверхности, а лишь в точках; при сжатии их с силой – по отдельным площадкам (рис. 25).

Общая поверхность тел, с которой производится контакт, называется кажущейся контактной поверхностью.

На этой поверхности появляются площадки, полученные в результате деформации микровыступов, которые воспринимают усилие. Эта часть контактной поверхности называется поверхностью, воспринимающей усилие.

Очевидно, что электрический ток может проходить через точки поверхности, воспринимающие усилие, т.е. там, где есть механический контакт.

Однако, условия механического контакта являются необходимыми, но недостаточными.

При большем увеличении поверхности, воспринимающей усилие, можно обнаружить ее неоднородность: одна часть покрыта пленками оксидов, другая – хемосорбирующими слоями атомов кислорода и, наконец, третья часть – чисто металлическая поверхность.

При прохождении электрического тока поверхность, покрытая оксидными пленками, обладает большим электрическим сопротивлением, так как удельное сопротивление оксидов на несколько порядков выше удельного сопротивления чистых металлов. Например, для меди при 0ºС ρ0=1,62·10-8 Ом·м, а для оксида меди (СuО)

ρ0=1–10 Ом·м, для закиси меди (Сu2О) ρ0=106 107Ом·м.

Через поверхность, покрытую хемосорбирующими слоями кислорода, электрический ток может проходить за счет туннельного эффекта. Этот участок поверхности имеет квазиметаллический характер проводимости.

И, наконец, третья часть поверхности проводит свободно электрический ток благодаря чисто металлической поверхности.

Квазиметаллические и металлические поверхности контакта называются α-пятнами (см. рис. 25). Это именно те части контактной поверхности, через которые проходит электрический ток.

Очевидно, что электрический ток, проходящий через контактную поверхность, испытывает сопротивление, называемое переходным сопротивлением контактов.

Переходное сопротивление контактов складывается из сопротивления оксидных пленок контактной поверхности и так называемого сопротивления стягивания.

Рассмотрим это явление подробно при прохождении электрического тока через электрический контакт с одним α-пятном (рис. 26). Если на некотором удалении от α-пятна линии тока параллельны друг другу, то в непосредственной близости от него они искрив-ляются и «стягиваются» к α-пятну. Область электрического контакта, где линии тока искривляются, стягиваясь к α-пятну, называется областью стягивания.

В областях стягивания поперечное сечение проводника используется не полностью для прохождения электрического тока, что вызывает дополнительное сопротивление.

В настоящее время для расчета эффекта стягивания контактов используется математическая модель Хольма, основанная на ряде допущений [1]. В основу модели положена аналогия токов в контакте и электрического поля заряженного диска.

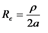
Получена формула Хольма:

, (28)

где Rc – электрическое сопротивление стягивания контактов;

ρ – удельное сопротивление стягивания контактов;

а – радиус заряженного диска, равный радиусу круглой площадки контакта.

При упругих деформациях радиус круглой площадки определяется из выражения:

, (29)

где Р – усилие сжатия тел;

Е – модуль упругости материала контактов;

r – радиус кривизны сферической поверхности контакта детали;

m = 1,11 при соприкосновении шарообразной и плоской поверхностей;

m = 0,86 при соприкосновении двух шарообразных поверхностей.

Если деформации пластические, то

, (30)

где σсм – напряжение смятия материала контактов.

Существует эмпирическая формула для определения сопротивления контактов:

,

где n =0,3 0,8; K0 коэффициент, зависящий от материала, из которого изготовлены контакты.

 

 







Date: 2015-07-27; view: 4463; Нарушение авторских прав



mydocx.ru - 2015-2026 year. (0.351 sec.) Все материалы представленные на сайте исключительно с целью ознакомления читателями и не преследуют коммерческих целей или нарушение авторских прав - Пожаловаться на публикацию