Главная Случайная страница


Полезное:

Как сделать разговор полезным и приятным Как сделать объемную звезду своими руками Как сделать то, что делать не хочется? Как сделать погремушку Как сделать так чтобы женщины сами знакомились с вами Как сделать идею коммерческой Как сделать хорошую растяжку ног? Как сделать наш разум здоровым? Как сделать, чтобы люди обманывали меньше Вопрос 4. Как сделать так, чтобы вас уважали и ценили? Как сделать лучше себе и другим людям Как сделать свидание интересным?


Категории:

АрхитектураАстрономияБиологияГеографияГеологияИнформатикаИскусствоИсторияКулинарияКультураМаркетингМатематикаМедицинаМенеджментОхрана трудаПравоПроизводствоПсихологияРелигияСоциологияСпортТехникаФизикаФилософияХимияЭкологияЭкономикаЭлектроника






Порядок выполнения лабораторной работы 6





Задание 1. Решить задачу Коши: , y (0) = 1

с шагом h = 0.1 на отрезке [0, 1]:

  • методом Эйлера;
  • методом Рунге-Кутта (коэффициенты ki задать как функции от x и y);
  • методом Адамса;
  • используя функцию rkfixed.

Варианты задания 1

№ варианта f (x, y) № варианта f (x, y) № варианта f (x, y)
  x + y   2 y - cos 2 x   2 y + 3 e - x
  2 x 2 + 2 y   y - e x / 2 + 2   y / 2 - e - x
  e x - 3 y   3 y - 2 sin x   y + (cos x) /3
  y - sin x   e 2 x - y   y - 4 x + 5
  y / 3 - x 2   2 sin x + y   2 x - y / 3 - e x

Задание 2. Построить графики решений, полученных методами Эйлера, Рунге-Кутта, Адамса и с помощью функции rkfixed.

Вычислить в точке х = 1 относительную погрешность для каждого метода.

Задание 3. Найти аналитическое (точное) решение ОДУ из задания 1 с помощью преобразований Лапласа (команды Symbolic  Transforms  Laplaсе Transform и Inverse Laplace Transform).

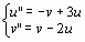
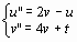
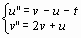
Задание 4. Решить задачу Коши для системы ОДУ при заданных начальных условиях на отрезке [0, 2] c шагом h = 0.2. Решать с помощью функции rkfixed. Построить графики функций u(t) и v(t).

Варианты задания 4

№ варианта Система ОДУ Начальные условия № варианта Система ОДУ Начальные условия
  u (0) u’ (0) v (0) v’ (0)   u (0) u’ (0) v (0) v’ (0)
  1.5 1.5           -1  
  -1   -1.5     -1   -1.5  
  1.5 1.5       1.5 1.5 -1 -1
    1.5       -1 1.5   -2
  0.5 1.5 -1     -0.5   -1  
  0.5           -2    
      -1         -1  
  1.5                  

Задание 5. На отрезке [ a, b ] с использованием функций load, score и sbval преобразовать краевую задачу:

= f (x, y, y’) при граничных условиях y (a) = А, y (b) = В

к задаче Коши и найти решение заданного ОДУ в 10 промежуточных точках с помощью функции rkfixed.

Варианты задания 5

№ варианта f (x, y, y’) Граничные условия
  a b y (a) y (b)
  e x y + cos x        
  y sin x + e - x        
  y cos x + tg x       0.45
  x 3 y + cos x        
  x + e x y /(1 - x)       0.14
  x 2 y + 1/(1 + x)       0.17
  y cos x + cos 2 x        
  (2 + x) y + arctg x       0.22
  (5 - x) y + x       -1.2
  e - x y + 2 e - x   1.5 2.4  
  e - x y / x + x -3 -2    
  (x 2 + 1/ x) y + 1/ x 2        
  (10 - x) y + x -1      
  y / x 2 + x     1.5  
  y ln x + 1 + x        
                 

 

 

БИБЛИОГРАФИЧЕСКИЙ СПИСОК

 

1.Омельченко В.П. Математика: учеб.пособие / В.П. Омельченко, Э.В. Курбатова.- Ростов н/Д: Феникс, 2008.- 380с.

2. Пантина И.В. вычислительная математика / И.В. Пантина, А.В. Синчуков.- М.: Маркет ДС, 2010.- 176с.

1. Амосов А.А., Вычислительные методы для инженеров / А.А.Амосов, Ю.А.Дубинский, Н.В. Копченова.- М.: Высш. шк.,1994.- 544 с.

2. Турчак Л.И. Основы численных методов / Л.И. Турчак. - М.: Наука, 1987. – 320 с.

3. Демидович Б.Н. Основы вычислительной математики / Б.Н. Демидович, И.А. Марон.- М.: Высш. шк., 1994. - 172 с.

4. Боглаев Ю.П. Вычислительная математика и программирование / Ю.П. Боглаев.- М.: Высш. шк., 1990. – 544с

5. Семенов М.П., Катрахова А.А. Жучкова В.В. Основы численных методов / М.П.Семенов, А.А. Катрахова, В.В. Жучкова.- Воронеж: Изд-во ВГТУ, 1997. - 62 с.


6. Ушаков Д.М. Введение в математические основы САПР / Д.М. Ушаков, В.П. Корячко, И.П. Норенков.-

7. Федорков Е.Д. Численные методы: учеб.пособие / Е. Д. Федорков, А. И. Бобров. - Воронеж: ВГТУ, 2004. - 164 с. - 33-00.

8. Федорков Е.Д. Вычислительная математика: Учеб.пособие / Е. Д. Федорков, А. И. Бобров. - Воронеж: ГОУВПО "Воронежский государственный технический университет", 2006. - 168 с. - 35-00.

 

   
СОДЕРЖАНИЕ  
Лабораторная работа № 1. Основы работы с MathCAD  
Лабораторная работа № 2. Решение уравнений  
Лабораторная работа № 3. Интерполяция и предсказание  
Лабораторная работа № 4. Математическая обработка результатов экспериментальных данных  
Лабораторная работа № 5.Численное интегрирование и дифференцирование  
Лабораторная работа № 6. Решение обыкновенных дифференциальных уравнений  
Библиографический список  

 

 
   

 

 
   

 

МЕТОДИЧЕСКИЕ УКАЗАНИЯ

 

к выполнению лабораторной работы

по дисциплине «Математическое обеспечение САПР»

для студентов направления

230100.62 «Информатика и вычислительная техника» (профиль «Системы автоматизированного проектирования в машиностроении»)

заочной формы обучения

 

Составители:

Пименов Денис Николаевич

Пак Алла Анатольевна

 

Компьютерный набор А.А. Пак

 

 

Подписано к изданию..2014.

Уч.-изд. л.. «С»

 

 

ФГБОУ ВПО «Воронежский государственный технический университет»

394026 Воронеж, Московский просп., 14

 
 







Date: 2015-07-24; view: 526; Нарушение авторских прав



mydocx.ru - 2015-2026 year. (0.877 sec.) Все материалы представленные на сайте исключительно с целью ознакомления читателями и не преследуют коммерческих целей или нарушение авторских прав - Пожаловаться на публикацию