Главная Случайная страница


Полезное:

Как сделать разговор полезным и приятным Как сделать объемную звезду своими руками Как сделать то, что делать не хочется? Как сделать погремушку Как сделать так чтобы женщины сами знакомились с вами Как сделать идею коммерческой Как сделать хорошую растяжку ног? Как сделать наш разум здоровым? Как сделать, чтобы люди обманывали меньше Вопрос 4. Как сделать так, чтобы вас уважали и ценили? Как сделать лучше себе и другим людям Как сделать свидание интересным?


Категории:

АрхитектураАстрономияБиологияГеографияГеологияИнформатикаИскусствоИсторияКулинарияКультураМаркетингМатематикаМедицинаМенеджментОхрана трудаПравоПроизводствоПсихологияРелигияСоциологияСпортТехникаФизикаФилософияХимияЭкологияЭкономикаЭлектроника






Одношаговые методы





Одношаговые методы - это методы, в которых для нахождения следующей точки на кривой y = f (x) требуется информация лишь об одном предыдущем шаге. Простейшим из одношаговых методов является метод Эйлера:

, i = 0, 1, ..., n - 1. (2)

Метод Эйлера имеет невысокую точность (порядка h).

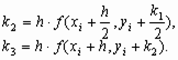
Для достижения более высокой точности (порядка h 4) используют метод Рунге-Кутта четвертого порядка:

, где   (3)
   
       

Многошаговые методы

В многошаговых методах для отыскивания следующей точки кривой у = f(x) требуется информация более чем об одной из предыдущих точек.

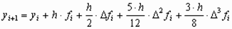
, i = 3, 4,..., n - 1. (4)

Пусть найдены значения в четырех последовательных точках. При этом имеются также вычисленные ранее значения правой части уравнения (1) . Тогда схему метода Адамса можно представить в виде:

где конечные разности в точке имеют вид:

(5)






Date: 2015-07-24; view: 534; Нарушение авторских прав



mydocx.ru - 2015-2026 year. (0.465 sec.) Все материалы представленные на сайте исключительно с целью ознакомления читателями и не преследуют коммерческих целей или нарушение авторских прав - Пожаловаться на публикацию