Главная Случайная страница


Полезное:

Как сделать разговор полезным и приятным Как сделать объемную звезду своими руками Как сделать то, что делать не хочется? Как сделать погремушку Как сделать так чтобы женщины сами знакомились с вами Как сделать идею коммерческой Как сделать хорошую растяжку ног? Как сделать наш разум здоровым? Как сделать, чтобы люди обманывали меньше Вопрос 4. Как сделать так, чтобы вас уважали и ценили? Как сделать лучше себе и другим людям Как сделать свидание интересным?


Категории:

АрхитектураАстрономияБиологияГеографияГеологияИнформатикаИскусствоИсторияКулинарияКультураМаркетингМатематикаМедицинаМенеджментОхрана трудаПравоПроизводствоПсихологияРелигияСоциологияСпортТехникаФизикаФилософияХимияЭкологияЭкономикаЭлектроника






Средние и эффективные токи поездов при рекуперации энергии





 

Приведенный способ определения эффективного, тока поездов основан на том, что значение коэффициента в основном зависит от соотно­шения времени потребления энергии и общего времени хода поезда. Изменение же кривой в период потребления тока оценивается коэф­фициентом . Для определения эффективного тока по­езда при применении рекуперативного торможения на линиях постоян­ного тока упрощенным способом примем, что на некотором участке (перегоне) кривая потребления тока имеет вид, представленный на рис. 7.2, а. Найдем среднее значение тока поезда и квадрат его эф­фективного значения. Условно расположим в одном интервале на оси времени суммарное время рекуперации, а в другом — суммарное вре­мя потребления энергии (рис. 7.2, б). При этом изменяющиеся токи заменим их средними значениями. Тогда, принимая во внимание реку­перативный режим, средний ток поезда за все время его хода по дан­ному участку

. (7.6)

 

При определении эффективного тока поезда ордината квадратов тока рекуперации будет иметь тот же знак, что и ордината квадратов тяговых токов. Поэтому согласно формуле (7.5) имеем:

 

, (7.7)

 

где ; .

 

Средний же ток поезда, определяемый расходом энергии, должен находиться с учетом возврата энергии при рекуперации, т. е. этот средний ток должен рассчитываться по выражению (7.6), поэтому, очевидно, при рекуперации коэффициент эффективности поездного тока

 

Рис. 7.2. К определению коэффициента эффективности поездного тока при рекуперативном торможении:

- значение тока для мгновенного расположения поездов а период потребления энергия; - то же в период рекуперации энергии; —среднее значение тока за время рекупе­рации

 

должен быть иным, чем при ее отсутствии. По аналогии с выражением (7.10) можно написать:

 

. (7.8)

 

Сравнивая равенства (7.7) и (7.8), получим:

 

.

 

Подставляя в последнее выражение значения , , и , получим:

 

. (7.9)

 

В этом выражении значение играет несколько меньшую роль, чем при отсутствии рекуперации (токи в период рекуперации мало из­меняются), но можно принять его среднее значение также равным 1,08. Тогда квадрат коэффициента эффективности поездного тока при ре­куперативном торможении

 

. (7.10)

 

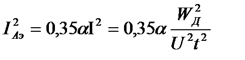
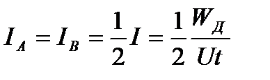
Если учесть, что и [здесь - рас­ход энергии на тягу при отсутствии рекуперации; — энергия возвращенная в сеть при рекуперации; — среднее напряжение, при ко­тором энергия потребляется или отдается локомотивом (обычно при­нимаемое равным номинальному)], то

 

. (7.11)

 

Если рекуперация отсутствует, т. е. и , то . Полученные формулы (7.9), (7.10) и (7.11) спра­ведливы как для перегонов, так и для фидерных зон. При расчетах по реактивной составляющей переменного тока в формулах (7.6) - (7.11) знак минус изменяется на плюс, так как и при рекуперации элек­тровоз потребляет реактивную мощность.

Средние и эффективные поездные токи фидеров (т. е. токи фидеров при одном поезде на участке). При схеме одностороннего питанием средний и эффективный токи поезда целиком относятся к данному фи­деру, т. е. они равны соответствующим токам поездов.

Если расчет для участков с двусторонним питанием ведут по данным кривым тока, то прежде всего следует кривую тока поезда paзложить на две, соответствующие двум подстанциям, и затем все расчеты вести, как для одностороннего питания, принимая во внимание для каждого фидера ту часть кривой поездного тока, которая относится к нему.

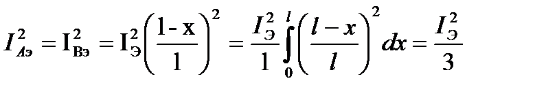
Средний поездной ток фидера подстанции А (первый момент) за время хода поезда по перегону длиной (рис. 7.3) определяется из выражения

 

.

 

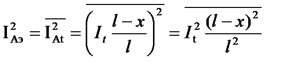
Соответственно квадрат эффективного поездного тока фидера (вто­рой момент) за время хода поезда по перегону (длиной )

 

.

 

Если ток поезда в фидерной зоне принят постоянным и равным сред­нему значению, а скорость неизменной, то средний ток поезда делится между фидерами подстанций А и В пополам и определяет средний поездной ток фидера:

 

. (7.12)

 

При этом условии квадраты эффективных поездных токов фидеров могут быть найдены из следующих соображений

 

.

 

Здесь и ниже черта над величиной обозначает ее среднее значение (математическое ожидание). Не располагая зависимостью , примем допущение, что величины и независимы. При этом можно заменить среднее значение произведения величин произведением их средних значений. Тогда о учетом того, что , получим:


 

. (7.12а)

 

 

Рис. 7.3. Схема двустороннего питания одной нагрузки

 

 

Рис. 7.4. К расчету средних токов поездов за время их хода по перегонам

 

В этом случае при двустороннем питании можно определять квад­рат эффективного поездного фидера (при отсутствии рекуперации) исходя из следующего. Подставив вместо его значение из формулы (7.5) и заменив значением 1,0 - 1,1, получим: . Взяв среднее значение коэффициента, будем иметь:

 

. (7.13)

 

Выразив через средний поездной ток фидера согласно формуле (7.12), получим:

 

. (7.14)

 

Если в фидерной зоне поезда потребляют значительно изменяющий­ся ток или это потребление имеет частые перерывы (метрополитены, при­городные участки, горные профили), то расчеты по средним токам поездов за время хода по фидерной зоне могут дать существенные по­грешности. В этих случаях расчеты следует вести по средним токам поездов за время хода их по отдельным перегонам (блок-участкам). При этом среднее значение поездного тока фидера за время хода поезда по перегону определится из следующих соображений (рис. 7.3). Если на некотором перегоне (блок-участке) найдено среднее злачен не тока поезда , то для определения поездного тока фидера можно считать, что сосредоточенная нагрузка, равная , приложена в середине данного перегона. Тогда

 

. (7.15)

 

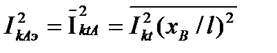
Квадрат эффективного поездного тока фидера за время хода по­езда по перегону :

 

.

 

Здесь — расстояние точки приложения нагрузки тока от подстанции В.

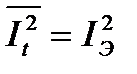
Считая, как и выше, величины и независимыми, получим) . Очевидно, что

 

.

 

Так как ; и , то, отнеся выражение (7.5) к перегону получим:

 

. (7.16)

 

При числе перегонов в фидерной зоне более одного в последующих расчетах вторым членом в скобке вследствие его относительной мало­сти можно пренебречь.

Контрольные вопросы

1. Приведите схему двустороннего питания одной нагрузки.

2. Средние и эффективные токи поездов при рекуперации энергии.

3. Средние и эффективные токи поездов при отсутствии рекуперации энергии.

4. Как определяется средний поездной ток фидера подстанции?

5. Какие различные режимы движения потребляется при движении поезда по участку?

 

Литература

 

1. Электроснабжение электрифицированных железных дорог. Марквард К.Г. М.Транспорт.1986 г.

2. Электроснабжение электрифицированных дорог. Мамошин Р.Р., Зимакова А.Н. М.Транспорт.1989 г.

3. Автоматизированные системы управления устройствами электроснабжения железных дорог. Почаевец В.С. М.Маршрут, 2006 г.

4. Методические указания к курсовому проекту по дисциплине «Электроснабжение электрифицированных дорог». Жармагамбетова М.С. Алматы, 2012.

5. Методические указания к практическим занятиям по дисциплине «Электроснабжение электрифицированных дорог». Жармагамбетова М.С. Алматы, 2013.

 







Date: 2015-07-24; view: 756; Нарушение авторских прав



mydocx.ru - 2015-2026 year. (0.332 sec.) Все материалы представленные на сайте исключительно с целью ознакомления читателями и не преследуют коммерческих целей или нарушение авторских прав - Пожаловаться на публикацию