Главная Случайная страница


Полезное:

Как сделать разговор полезным и приятным Как сделать объемную звезду своими руками Как сделать то, что делать не хочется? Как сделать погремушку Как сделать так чтобы женщины сами знакомились с вами Как сделать идею коммерческой Как сделать хорошую растяжку ног? Как сделать наш разум здоровым? Как сделать, чтобы люди обманывали меньше Вопрос 4. Как сделать так, чтобы вас уважали и ценили? Как сделать лучше себе и другим людям Как сделать свидание интересным?


Категории:

АрхитектураАстрономияБиологияГеографияГеологияИнформатикаИскусствоИсторияКулинарияКультураМаркетингМатематикаМедицинаМенеджментОхрана трудаПравоПроизводствоПсихологияРелигияСоциологияСпортТехникаФизикаФилософияХимияЭкологияЭкономикаЭлектроника






Комбинаторика и бином Ньютона





 

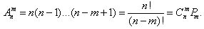
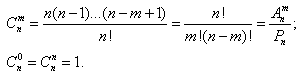
1) Число перестановок из n элементов находится по формуле: 2) Число размещений из n элементов по m находится по формуле: 3) Число сочетаний из n элементов по m находится по формуле: 4) Справедливы следующие свойства сочетаний: 5) Формула бинома Ньютона имеет вид: Сумма показателей чисел a и b равна n. 6) (k+1)-й член находится по формуле: 7) Число сочетаний также можно найти по треугольнику Паскаля. Треугольник Паскаля (до n=7): 8) Сумма биномиальных коэффициентов равна 2n. 9) Чтобы найти биномиальный коэффициент следующего члена, нужно биномиальный коэффициент предыдущего члена умножить на показатель числа a и разделить на кол-во предыдущих членов.

 

Вопрос 2 билет 24

Билет 28

Определение: Определенный интеграл от функции по отрезку – это предел интегральных сумм при .

Обсудим каждый элемент введенного определения:

a, b – пределы интегрирования.

площадь криволинейной трапеции подынтегральной функции в пределах от до

5. Теорема о вычислении определенного интеграла

Теорема: Если – непрерывная и неотрицательная на отрезке функция, а – ее первообразная на этом отрезке, то площадь соответствующей криволинейной трапеции равна приращению первообразной на отрезке , то есть:

Обсудим полученную формулу (рис. 3).

7. Формула Ньютона-Лейбница

– непрерывная на отрезке .

Вопрос 2 билет 20

 

Билет 29

 

Тангенс, котангенс

Определения обратных тригонометрических функций

Поскольку тригонометрические функции периодичны, то обратные к ним функции не однозначны. Так, уравнение y = sin x, при заданном , имеет бесконечно много корней. Действительно, в силу периодичности sin, если x такой корень, то и x + 2πn (где n целое) тоже будет корнем уравнения. Таким образом, обратные тригонометрические функции многозначны. Чтобы с ними было проще работать, вводят понятие их главных значений. Например, если для синуса y = sin x, если ограничить аргумент x интервалом , то на этом интервле функция y = sin x монотонно возрастает. Поэтому она имеет однозначную обратную функцию, которую называют арксинусом: x = arcsin y.

Если особо не оговорено, то под обратными тригонометрическими функциями имеют в виду их главные значения, которые определяются следующими определениями.

Арксинус ( y = arcsin x ) это функция, обратная к синусу (x = sin y), имеющая область определения и множество значений .

Арккосинус ( y = arccos x ) это функция, обратная к косинусу (x = cos y), имеющая область определения и множество значений .

Арктангенс ( y = arctg x ) это функция, обратная к тангенсу (x = tg y), имеющая область определения и множество значений .

Арккотангенс ( y = arcctg x ) это функция, обратная к котангенсу (x = ctg y), имеющая область определения и множество значений .

Графики обратных тригонометрических функций

Графики обратных тригонометрических функций получаются из графиков тригонометрических функций зеркальным отражением относительно прямой y = x. См. разделы Синус, косинус, Тангенс, котангенс.

y = arcsin x


y = arccos x


y = arctg x


y = arcctg x

вопрос 2 билет 23

билет 30

Логарифмическим дифференцированием называется метод дифференцирования функций, при котором сначала находится логарифм функции, а затем вычисляется производная от него. Такой прием можно использовать для нахождения производных степенных, рациональных и некоторых иррациональных функций.

Рассмотрим этот подход более детально. Пусть дана функция y = f (x). Возьмем натуральные логарифмы от обеих частей:Ln(y) =ln f (x).

Теперь продифференцируем это выражение как сложную функцию, имея ввиду, что y - это функция от x

(ln y) ′ =(ln f (x)) ′,⇒1 yy ′ (x)=(ln f (x)) ′.

Отсюда видно, что искомая производная равна

y ′= y (ln f (x)) ′= f (x)(ln f (x)) ′.

Такая производная от логарифма функции называется логарифмической производной.

Данный метод позволяет также эффективно вычислять производные показательно-степенных функций, то есть функций вида

y = u (x) v (x),

где u (x) и v (x) − дифференцируемые функции от x.

Вопрос 2

ТЕОРЕМА:

О сечении сферы плоскостью

Сечение сферы плоскостью есть окружность.

Пусть плоскость α пересекает сферу W(O,R). Из центра O опустим перпендикуляр OC на плоскость α.

Соединим произвольную точку M линии пересения плоскости α со сферой W(O,R) с точками O и C. Т.к. OC ⊥ α, то OC ⊥ CM.


В прямоугольном треугольнике ∆OCM CM2 = OM2 - OC2. Т.к. OM и OC - величины постоянные, то и CM - величина постоянная. Таким образом все точки линии пересечения плоскости α и сферы W(O,R) равноудалены от точки C, поэтому эта линия пересечения является окружностью с центром в точке C и радиусом r = CM.

СЛЕДСТВИЕ:

Сечение шара плоскостью есть круг, а основание перпендикуляра проведенного из центра шара к пересекаемой плоскости есть центр круга, полученного в сечении.

Сфера − это геометрическое место точек в пространстве, равноудаленных от некоторой заданной точки (центра сферы). Расстояние между любой точкой сферы и ее центром называется радиусом. Геометрическое тело, ограниченное сферой, называется шаром.

 

 







Date: 2015-07-24; view: 544; Нарушение авторских прав



mydocx.ru - 2015-2026 year. (0.856 sec.) Все материалы представленные на сайте исключительно с целью ознакомления читателями и не преследуют коммерческих целей или нарушение авторских прав - Пожаловаться на публикацию