Главная Случайная страница


Полезное:

Как сделать разговор полезным и приятным Как сделать объемную звезду своими руками Как сделать то, что делать не хочется? Как сделать погремушку Как сделать так чтобы женщины сами знакомились с вами Как сделать идею коммерческой Как сделать хорошую растяжку ног? Как сделать наш разум здоровым? Как сделать, чтобы люди обманывали меньше Вопрос 4. Как сделать так, чтобы вас уважали и ценили? Как сделать лучше себе и другим людям Как сделать свидание интересным?


Категории:

АрхитектураАстрономияБиологияГеографияГеологияИнформатикаИскусствоИсторияКулинарияКультураМаркетингМатематикаМедицинаМенеджментОхрана трудаПравоПроизводствоПсихологияРелигияСоциологияСпортТехникаФизикаФилософияХимияЭкологияЭкономикаЭлектроника






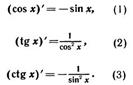
Билет 3. Производные тригонометрических функций





Производные тригонометрических функций

(sinx)’= cosx (4)

Выведение формул. 1)

2) 3)

Определение. Параллельные прямые — это две непересекающиеся прямые, лежащие в одной плоскости. Параллельные прямые записываются через знак параллельности «||».

3. Признаки параллельности прямыx

Сформулируем и докажем первый признак параллельности прямых.

Если при пересечении двух прямых секущей накрест лежащие углы равны, то прямые параллельны.

Итак, даны две прямые а и b. Прямая АВ рассекает эти прямые и (Рис. 4).

 

Докажем, что .

Доказательство:

Рис. 5

Возьмем середину отрезка АВ – точку О – и опустим перпендикуляр ОН на прямую а. Получим точку Н. Получим отрезок АН. Отложим от точки В по прямой b отрезок, равный длине отрезка АН. Получим точку , причем .

Имеем два треугольника и . Эти треугольники равны по первому признаку (то есть по двум сторонам и углу между ними): (по условию), (по построению), ОА = ОВ (по построению).

Из равенства треугольников следует, что . А значит – это продолжение ОН, то есть точки О, Н и лежат на одной прямой.

Также . Значит, прямая Н перпендикулярна к прямой b.

Итак, мы имеем, что , . А значит, , что и требовалось доказать.







Date: 2015-07-24; view: 493; Нарушение авторских прав



mydocx.ru - 2015-2026 year. (0.547 sec.) Все материалы представленные на сайте исключительно с целью ознакомления читателями и не преследуют коммерческих целей или нарушение авторских прав - Пожаловаться на публикацию