Главная Случайная страница


Полезное:

Как сделать разговор полезным и приятным Как сделать объемную звезду своими руками Как сделать то, что делать не хочется? Как сделать погремушку Как сделать так чтобы женщины сами знакомились с вами Как сделать идею коммерческой Как сделать хорошую растяжку ног? Как сделать наш разум здоровым? Как сделать, чтобы люди обманывали меньше Вопрос 4. Как сделать так, чтобы вас уважали и ценили? Как сделать лучше себе и другим людям Как сделать свидание интересным?


Категории:

АрхитектураАстрономияБиологияГеографияГеологияИнформатикаИскусствоИсторияКулинарияКультураМаркетингМатематикаМедицинаМенеджментОхрана трудаПравоПроизводствоПсихологияРелигияСоциологияСпортТехникаФизикаФилософияХимияЭкологияЭкономикаЭлектроника






Уменьшение интенсивности отказов





Снижение:

1. Упрощение системы;

2. Выбор наиболее надежных элементов;

3. Облегчение режимов работы элементов;

4. Отбраковка малонадежных элементов;

5. Создание схем с ограниченными последствиями отказов;

6. Стандартизация и унификация комплектующих элементов;

7. Совершенствованием технологии производства;

8. Статистическим контролем качества;

9. Профилактические мероприятия.

Упрощение системы является пока единственным методом повышения надежности системы при одновременном уменьшение веса изделия. Однако, этот способ труднореализуем, так как при практической реализации возникает проблема минимального числа комплектующих элементов. Выбор наиболее надежных элементов требует увеличения веса, габарита и стоимости. Поэтому выбирать тип элемента необходимо на основе анализа технических требований надежности элементов и предварительного расчета надежности. Может оказаться, что предъявляемые требования таковы, что при данных условиях работы и данных числах элементов удовлетворить всей системе можно выбирая не самые надежные элементы.

Облегчение режимов работы означает, что в системе ставятся элементы, имеющие определенный запас по мощности. Однако замена одних элементов другими, рассчитанных на большую мощность не всегда приводит к повышению надежности, так как более мощные элементы могут оказаться менее надежными.

Выбирая за основной критерий качество системы работы – вероятность безотказной работы. Задачу о выборе режимов работы можно сформулировать следующим образом:

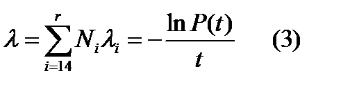
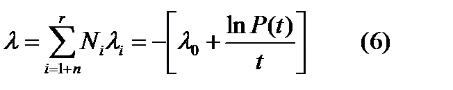
Задана P(t) и известна её принципиальная схема, тип и число элементов. Требуется выбрать режим работы элементов, чтобы надежность или вероятность безотказной работы была не ниже заданной. Полагая, что все элементы однотипны: . Надежность сложной системы определяется ограниченным числом типов элементов – это либо наиболее многочисленные элементы, либо менее надежные. Режим работы элементов подбирать не для всех элементов, а лишь для тех, которые оказывают наиболее существенное влияние на надежность в этой системе. Пусть элементы от 1 до n или не оказывают существенного влияния на надежность, либо их режим работы неизменен. Тогда (3) может быть записана в виде: , . Учитывая (3) и (5) выражение (4) можно записать в виде: .

Отбраковать ненадежные элементы можно при помощи тщательной работы в утяжеленных условиях (повышен. температуру ил нагрузку). Возникает два вопроса: Как дома испытывать? При каких нагрузках испытывать?

Выбрать режимы испытания элементов можно: , где -мощность рассевания режимная; -номинальная мощность.

. отношение мощности рассеиваемой к номинальной. Из рисунка видно, что с увеличением нагрузки или температуры кривая смещается вверх и влево участок сокращается, а начало участка смещается влево. Выжигать элементы можно при таком режиме, при котором , если интенсивность отказов на основании статистических данных сохраняет постоянную величину, а параметры элемента выходят за пределы допуска, то такой режим выжигания является вредным. Создания схем с ограниченными последствиями отказов требует учета значимости отказов по степени значимости опасности последствия. В этом случае система не должна строится по принципу равносложной, части должны быть равнонадежны каждому элементу блока должен быть приписан свой вес.

Стандартизирование и унифицирование схемы узлов всегда более надежны. Это объясняется тем что такие узлы более надежны и доведены до совершенства богатого опыта эксплуатации. Совершенствование технологии производства и его автоматизирование обеспечивает высокую однородность продукции. Это повышает её надежность и уменьшает дисперсию времени отказа.

Статистический контроль качества, который проводится непрерывно позволяет выявить причины нарушения технич., отбраковать дефектную продукцию, повлиять на технологический процесс и тем самым увеличить надежность.

Профилактические мероприятия проводимые при эксплуатации изделия и направленные на предупреждения отказов позволяют выявить слабые элементы, устранить их дефекты и тем самым предупредить полный отказ всего изделия. Это приводит к уменьшению интенсивности отказов.

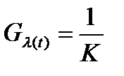
Вероятность безотказной работы системы, интенсивность которой уменьшена в К раз: , где - выигрыш надежности по вероятности безотказной работы; интенсивность отказа изделия до её понижения; К – коэффициент, показывающий во сколько раз уменьшилась интенсивность отказов.

Выигрыш по вероятности отказа: . Выигрыш по среднему времени: . Выигрыш по частоте отказов: . выигрыш по интенсивности отказа: .


Зависимость для различных значений К имеет следующий вид:

Из графика следует, что при малых выигрыш надежности по вероятности отказа примерно равен 1/К. Затем он растет и при больших значениях стремится к 1. При больших К изменение выигрыша от почти линейно. Выигрыш безотказной работы по среднему времени работы растет пропорционально уменьшению интенсивности отказов. Это выгодно повышает надежность. Недостаток этого метода по сравнению с резервированием: небольшой _?_____________________

 

 







Date: 2015-07-23; view: 725; Нарушение авторских прав



mydocx.ru - 2015-2026 year. (1.348 sec.) Все материалы представленные на сайте исключительно с целью ознакомления читателями и не преследуют коммерческих целей или нарушение авторских прав - Пожаловаться на публикацию