Главная Случайная страница


Полезное:

Как сделать разговор полезным и приятным Как сделать объемную звезду своими руками Как сделать то, что делать не хочется? Как сделать погремушку Как сделать так чтобы женщины сами знакомились с вами Как сделать идею коммерческой Как сделать хорошую растяжку ног? Как сделать наш разум здоровым? Как сделать, чтобы люди обманывали меньше Вопрос 4. Как сделать так, чтобы вас уважали и ценили? Как сделать лучше себе и другим людям Как сделать свидание интересным?


Категории:

АрхитектураАстрономияБиологияГеографияГеологияИнформатикаИскусствоИсторияКулинарияКультураМаркетингМатематикаМедицинаМенеджментОхрана трудаПравоПроизводствоПсихологияРелигияСоциологияСпортТехникаФизикаФилософияХимияЭкологияЭкономикаЭлектроника






Общая надежность изделия





Полной характеристикой надежности восстанавливаемых изделий называется вероятность нормального функционирования или общая надежность. Вероятность того, что система выполнит поставленные задачи зависит: от начального состояния системы; от безотказности и восстанавливаемости и определяется по формуле полной вероятности для сложного события (поток отказа является простейшим).

, где вероятность работоспособного состояния системы в начальный момент времени, числено равный коэффициенту готовности; вероятность того, что система окажется не работоспособной к моменту времени её применения; это вероятность восстановления (т.е. обнаружения) устранения отказа и проверки работоспособности системы а время ; вероятность безотказной работы системы за оставшиеся время , которая считается достаточной для выполнения.

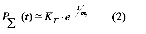
На практике потому Ро близка к 1 и на практике вторым слагаемым в равенстве 1 пренебрегают.

. Равенство (2) определяет вероятность нормального функционирования системы как сложного изделия, она определяется как произведение коэффициента готовности на вероятность безотказной работы изделия.







Date: 2015-07-23; view: 542; Нарушение авторских прав



mydocx.ru - 2015-2026 year. (1.128 sec.) Все материалы представленные на сайте исключительно с целью ознакомления читателями и не преследуют коммерческих целей или нарушение авторских прав - Пожаловаться на публикацию