Главная Случайная страница


Полезное:

Как сделать разговор полезным и приятным Как сделать объемную звезду своими руками Как сделать то, что делать не хочется? Как сделать погремушку Как сделать так чтобы женщины сами знакомились с вами Как сделать идею коммерческой Как сделать хорошую растяжку ног? Как сделать наш разум здоровым? Как сделать, чтобы люди обманывали меньше Вопрос 4. Как сделать так, чтобы вас уважали и ценили? Как сделать лучше себе и другим людям Как сделать свидание интересным?


Категории:

АрхитектураАстрономияБиологияГеографияГеологияИнформатикаИскусствоИсторияКулинарияКультураМаркетингМатематикаМедицинаМенеджментОхрана трудаПравоПроизводствоПсихологияРелигияСоциологияСпортТехникаФизикаФилософияХимияЭкологияЭкономикаЭлектроника






Коэффициенты надежности, их классификация. Коэффициент готовности





Рассмотренные выше характеристики надежности под которыми подразумеваются вероятность безотказной работы, вероятность отказа, интенсивность, мат ожидание (средняя наработка) – позволяют оценить надежность простых элементов в процессе их эксплуатации и хранении. Однако эти характеристики позволяют установить отношение между временными составляющими цикла эксплуатации, т.е. они не учитывают время. Затрачиваемое на профилактику, ремонт, не учитывают удобство эксплуатации, готовность изделия к работе. Поэтому вводятся дополнительные характеристики надежности, которые называются коэффициентами надежности. Все коэффициенты подразделяются:

1. Коэффициенты, характеризующиеся временем работы и временем простоя. К ним относятся коэф. готовности, коэф. вынужденного простоя и профилактики.

2. Коэффициенты, характеризующиеся частоту профилактических работ – частота профилактики.

3. Коэффициенты, характеризующие влияние надежного элемента установленного в данном изделии на надежность этого изделия. К ним относятся коэф. отказов, коэф. расхода элементов.

4. Прочие коэффициенты. К ним относятся коэф. значимости элемента, стоимость эксплуатации и ремонта и др.

Коэффициент готовности – это отношение времени безотказной работы к сумме времени безотказной работы и времени восстановления: .

время безотказной работы, время профилактики (ремонта).

В не входит время хранения и время которое тратится на подготовку изделия после простоя, т.к. время простоя не является характеристикой надежности. Время, затраченное на подготовку мало и слабо характеризует надежность.

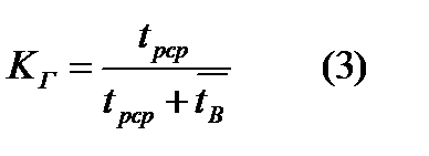
. Равенство (2) является статистическим выражением коэффициента готовности. Для перехода к определению вероятностного используют среднее значение (средними величинами).

, где - среднее время восстановления, - среднее время между соседними отказами.

Равенство (3) устанавливает зависимость между Кг и основными вероятностными количественными характеристиками. Такими характеристиками может быть частота отказа . , если , то , тогда . Выражение (5) есть вероятность того, что система исправна в любой момент времени. (5) является вероятностным выражением коэффициента готовности.

Время восстановления среднее существенно зависит от надежности, чем выше надежность тем еже производятся ремонт, тем меньше среднее время восстановления, т.к. коэффициент готовности зависит от времени восстановления, то этот коэффициент также характеризует эксплуатационные качества изделия, т.е. удобство, качество эксплуатации и т.д.

Однако равное значение коэффициента готовности изделия ещё не означает равнозначность изделия.

Кг – является характеристикой только для длительной непрерывной работы и должен решать задачи в течении короткого промежутка времени. Даже свойство коэффициента ограничивает его универсальность при оценке надежности и удобства эксплуатации.







Date: 2015-07-23; view: 1459; Нарушение авторских прав



mydocx.ru - 2015-2026 year. (1.363 sec.) Все материалы представленные на сайте исключительно с целью ознакомления читателями и не преследуют коммерческих целей или нарушение авторских прав - Пожаловаться на публикацию