Главная Случайная страница


Полезное:

Как сделать разговор полезным и приятным Как сделать объемную звезду своими руками Как сделать то, что делать не хочется? Как сделать погремушку Как сделать так чтобы женщины сами знакомились с вами Как сделать идею коммерческой Как сделать хорошую растяжку ног? Как сделать наш разум здоровым? Как сделать, чтобы люди обманывали меньше Вопрос 4. Как сделать так, чтобы вас уважали и ценили? Как сделать лучше себе и другим людям Как сделать свидание интересным?


Категории:

АрхитектураАстрономияБиологияГеографияГеологияИнформатикаИскусствоИсторияКулинарияКультураМаркетингМатематикаМедицинаМенеджментОхрана трудаПравоПроизводствоПсихологияРелигияСоциологияСпортТехникаФизикаФилософияХимияЭкологияЭкономикаЭлектроника






Выбор вентилей





Вентили выбираются по среднему значению выпрямляемого тока с учетом возможной перегрузки и по максимальному значению обратного напряжения.

Максимальное значение выпрямляемого тока:

Im=2,5Iян=2,5 · 55,4= 138,5 А

Среднее значение тока через вентиль:

А (45)

m-параметр схемы

Расчетная максимальная величина обратного напряжения, прикладываемого к вентилю определяется:

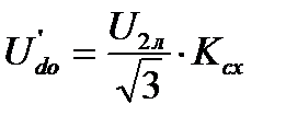
U’обмвmUdo= 2,09· 261 = 546,6 В, (46)

Квm- расчетный коэффициент схемы;

Udo- действительная величина среднего значения выпрямляемого напряжения при α=0 и питании выпрямителя от выбранного трансформатора:

(47)

принимаем равным 270.

Uобм=1,4·U’обм= 1,4 · 546,6 = 765,24 В (48)

По параметрам Iср и Uобм выбираем вентили типа ТСЗ 151.

Параметры вентилей:

Изм.
Лист
№ докум.
Подпись
Дата
Лист
 
ДП. 220301. 359. 08. 000. ПЗ.  
Номинальный ток Iвн=22,4 А, номинальное обратное напряжение

Uобм=800В.

Для охлаждения применяются типовые семиреберные охладители из алюминиевых сплавов, которые при естественном воздушном охлаждении позволяют нагружать тиристор током до 40% от номинального, т. е.

Iвдоп=0,4Iвн=0,4 · 22,4=9 А, что превышает среднее значение тока через вентиль Iср=46,17 А.

2.2.5 Определение расчетных параметров якорной цепи: требуемой индуктивности, суммарной индуктивности, суммарного активного сопротивления

Требуемая суммарная величина индуктивности якорной цепи, обеспечивающая непрерывность тока двигателя, определяется по выражению:

(49)

m=3 – параметр для трехфазной мостовой схемы (число фаз преобразователя, соответствующее числу перекрытий за один период анодного напряжения);

ω=2πf=2 · 3,14 · 50=314 рад/с – угловая частота переменного тока;

Iмин=0,1· Iян=0,1 · 55,4=5,6 А -минимальное значение тока двигателя;

U’п=0,246·Udo=0,246·261,53=64,34 В – действующее значение переменной составляющей выпрямленного напряжения для трехфазной мостовой схемы

Изм.
Лист
№ докум.
Подпись
Дата
Лист
 
ДП. 220301. 359. 08. 000. ПЗ.  
.

(50)

Суммарная индуктивность якорной цепи определяется по формуле:

LΣ=Lдв+KLт, (51)

Lдв- индуктивность обмотки якоря двигателя;

, (52)

β=0,6 – для машин без компенсационной обмотки;

ωдн=0,105nн=0,105 · 1600=168 рад/с- угловая скорость вращения двигателя;

Uн и Iн – номинальные значения напряжения и силы тока двигателя.

(53)

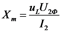
Индуктивность фазы трансформатора, приведенная к цепи выпрямленного тока:

, (54)

(55)

 

uL=0,095 – относительная величина индуктивной составляющей напряжения короткого замыкания силового трансформатора

K=2 -для трехфазной мостовой схемы.

Изм.
Лист
№ докум.
Подпись
Дата
Лист
 
ДП. 220301. 359. 08. 000. ПЗ.  

Суммарная индуктивность якорной цепи:

LΣ=Lдв+KLт=0,004+2·0,0021=0,0082 Гн (56)

Так как величина LΣ=0,0082 Гн не превышает требуемую индуктивность

Lтр =0,0012 Гн, то установка сглаживающего дросселя не требуется.

Активное сопротивление якорной цепи двигателя:

Rд= α(Rя+Rдп)+Rщ (57)

Rя = 0,04 Ом - активное сопротивление обмотки якоря;

Rдп= 0,0254 Ом - активное сопротивление обмотки дополнительных полюсов;

Rщ = 0,036 Ом - сопротивление щеточных контактов

Rд= α(Rя+Rдп)+Rщ=1,2(0,04+0,0254)+0,036=0,101 Ом (58)

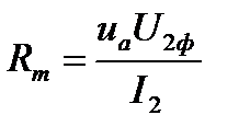
Активное сопротивление обмотки трансформатора:

(59)

uа = 0,03- относительная величина активной составляющей напряжения активной составляющей напряжения короткого замыкания силового трансформатора

Коммутативное сопротивление6

Полное сопротивление преобразователя:

Изм.
Лист
№ докум.
Подпись
Дата
Лист
 
ДП. 220301. 359. 08. 000. ПЗ.  
Rп=2 (Rт+Rк) =2(0,204+0,309)=1,26 Ом (60)

Суммарное сопротивление якорной цепи:

RΣ=Rп+Rд =1,026+0,101 =21,127 Ом (61)







Date: 2015-07-23; view: 405; Нарушение авторских прав



mydocx.ru - 2015-2026 year. (0.598 sec.) Все материалы представленные на сайте исключительно с целью ознакомления читателями и не преследуют коммерческих целей или нарушение авторских прав - Пожаловаться на публикацию