Главная Случайная страница


Полезное:

Как сделать разговор полезным и приятным Как сделать объемную звезду своими руками Как сделать то, что делать не хочется? Как сделать погремушку Как сделать так чтобы женщины сами знакомились с вами Как сделать идею коммерческой Как сделать хорошую растяжку ног? Как сделать наш разум здоровым? Как сделать, чтобы люди обманывали меньше Вопрос 4. Как сделать так, чтобы вас уважали и ценили? Как сделать лучше себе и другим людям Как сделать свидание интересным?


Категории:

АрхитектураАстрономияБиологияГеографияГеологияИнформатикаИскусствоИсторияКулинарияКультураМаркетингМатематикаМедицинаМенеджментОхрана трудаПравоПроизводствоПсихологияРелигияСоциологияСпортТехникаФизикаФилософияХимияЭкологияЭкономикаЭлектроника






Выбор электродвигателя





Мощности на валу двигателя для каждого перехода рассчитывают по формуле:

(29)

 

Nzi, - мощность резания,

ηстi - КПД станка на i-м переходе

КПД станка зависит от нагрузки. Для фрезерных станков КПД при полной загрузке составляет 0,7...0,8.

Примем за номинальный КПД станка среднее значение ηстi=0,75.

За номинальную мощность резания NHZ принимаем максимальную мощность резания, полученных при расчете Nziмакс.

Для каждого перехода определяют коэффициенты загрузки станка:

(30)

при полной загрузке k=1.

Потери мощности в механизмах станка состоят из постоянных потерь, не зависящих от нагрузки (потерь холостого хода), и переменных потерь, зависящих от нагрузки:

(31)

a и b- коэффициенты соответственно постоянных и переменных потерь.

С учётом этого К.П.Д станка при разных нагрузках определяется по формуле:

(32)

 

Изм.
Лист
№ докум.
Подпись
Дата
Лист
 
ДП. 220301. 359. 08. 000. ПЗ.  
Таблица 6- Расчётные данные для построения нагрузочной диаграммы.

№ перехода k1 Nzi Ni tмi
  1,7 0,8 3,1 16,5 5,06

 

Определяется суммарное вспомогательное время tв, которое распределяется равномерно между паузами:

 

 

Время паузы:

toi = (33)

Если в периоды пауз в обработке двигатель не отключается, то его нагрузка в периоды обусловлена мощностью холостого хода, которая равна постоянным потерям.

(34)


На основании полученных данных строится нагрузочная диаграмма в зависимости.

Рисунок 1 - Нагрузочная диаграмма привода главного движения.

 

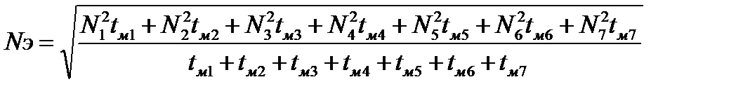
Эквивалентная мощность электродвигателя определяется по формуле:

Изм.
Лист
№ докум.
Подпись
Дата
Лист
 
ДП. 220301. 359. 08. 000. ПЗ.  
(35)

По каталогу или справочной литературе выбирается двигатель с необходимой частотой вращения таким образом, чтобы его номинальная мощность была больше или равна эквивалентной мощности, найденной из нагрузочной диаграммы.

Если в результате расчета мощности, необходимой для обработки данной детали, она оказалась меньше паспортной мощности двигателя главного движения станка, то номинальную мощность двигателя следует принять по условию, чтобы обеспечить возможность обработки и других деталей с максимальным использованием возможностей станка.

Исходя из заданных момента и частоты вращения, по каталогу выбираем двигатель типа ПБСТ-63 со следующими данными: Uн =220В,

nн =1600об/мин, Mн=36,6 Нм, Iн=56 А, GD2=1,030 кгсм2, Рн=11,3 кВт

Допустимая кратность пускового тока In/Iн - 4

Число полюсов 2р = 4

Обмоточные данные:

Число витков - 117

Сопротивление при 15оС Rя - 0,04 Ом

Число параллельных ветвей 2а =2

Обмотки добавочных полюсов:

Сопротивление при 15оС Rд - 0,02 Ом

Параллельные обмотки:

Сопротивление при 15оС Rв - 0,0254 Ом

Номинальный ток возбуждения двигателя:

Iвн = (36)

αн=1,2 – коэффициент повышения сопротивления при нагреве

Iвн = =0,56 А

Номинальный ток якоря:

Iян=Iн-Iвн=56-0,6=55,4 А (37)

Проверка двигателя по перегрузочной способности производится по условию:

Изм.
Лист
№ докум.
Подпись
Дата
Лист
 
ДП. 220301. 359. 08. 000. ПЗ.  


(38)

,

Условие выполняется, следовательно, двигатель выбран правильно.

Установленный на станке электродвигатель рассчитан с возможностью обработки других деталей в течение года. По этой причине принимаю электродвигатель, мощность которого указана в паспорте станка.

 







Date: 2015-07-23; view: 507; Нарушение авторских прав



mydocx.ru - 2015-2026 year. (0.933 sec.) Все материалы представленные на сайте исключительно с целью ознакомления читателями и не преследуют коммерческих целей или нарушение авторских прав - Пожаловаться на публикацию