Главная Случайная страница


Полезное:

Как сделать разговор полезным и приятным Как сделать объемную звезду своими руками Как сделать то, что делать не хочется? Как сделать погремушку Как сделать так чтобы женщины сами знакомились с вами Как сделать идею коммерческой Как сделать хорошую растяжку ног? Как сделать наш разум здоровым? Как сделать, чтобы люди обманывали меньше Вопрос 4. Как сделать так, чтобы вас уважали и ценили? Как сделать лучше себе и другим людям Как сделать свидание интересным?


Категории:

АрхитектураАстрономияБиологияГеографияГеологияИнформатикаИскусствоИсторияКулинарияКультураМаркетингМатематикаМедицинаМенеджментОхрана трудаПравоПроизводствоПсихологияРелигияСоциологияСпортТехникаФизикаФилософияХимияЭкологияЭкономикаЭлектроника






Анализ устойчивости системы автоматического регулирования





Структурная схема САУ тиристорного электропривода в динамике имеет вид:

Рисунок 4-Структурная схема САУ тиристорного электропривода в динамике

 

Определяем динамические характеристики отдельных звеньев структурной схемы. Звенья с коэффициентами передачи Кц, Ку , Ксфу, Кт, Ктг считаем безынерционными. На входе системы импульсно – фазового управления установлено апериодическое звено с передаточной функцией:

(99)

То=0,007с

 

 

Передаточная функция двигателя по управляющему воздействию имеет

вид:

(100)

Изм.
Лист
№ докум.
Подпись
Дата
Лист
 
ДП. 220301. 359. 08. 000. ПЗ.  
Выражение для передаточной функции двигателя необходимо привести к виду передаточных функций типовых динамических звеньев.

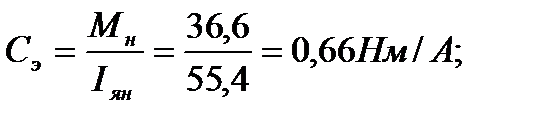
Рассчитываем момент инерции, приведенный к валу двигателя по формуле:

(101)

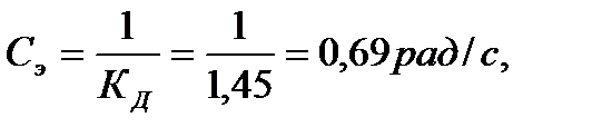
Определяем коэффициенты передачи двигателя:

(102)

(103)

Определяем постоянные переменные:

-электромеханическую:

(104)

-электромагнитную:

(105)

При этом выполняется соотношение: Тм>4Тэ, 0,7>0,0073·4=0,03

В этом случае знаменатель передаточной функции может быть представлен в виде: (Т+1)(Т+1)

Для определения постоянных времени Т1 и Т2 решаем уравнение:

ТмТэр2мр+1=0 (106)

(107)

 

Изм.
Лист
№ докум.
Подпись
Дата
Лист
 
ДП. 220301. 359. 08. 000. ПЗ.  
(108)

(109)

Передаточная функция разомкнутой системы по управляющему воздействию:

(110)

Принимаем для расчета наибольший коэффициент усиления разомкнутой системы, который имеет место при работе на НДПР, Кр=613

Проанализируем устойчивость системы с помощью логарифмического критерия. Для этого строим амплитудно-частотную характеристику (ЛАХЧ) Lнс(ω) и логарифмическую фазово – частотную характеристику (ЛФХЧ) φнс(ω) по передаточной функции Wр(р).

Построение графика ведем в следующем порядке:

1-строим оси Lнс(ω) и ω, выбираем масштабы Lнс(ω) и ω;

2-определяем величину 20lgКр, и откладываем ее на оси ординат против отметки 0 декад,

20lgКр=20lg 2017=66,6 дБ.

3- находим сопрягающие частоты и наносим их на оси частот

lgωс1=lg1= 0 дек; (111)

lgωс2=lg142,9=4,9 дек; (112)

 

lgωс3=2,16дек; (113)

Логарифмическая фазово – частотная характеристика (ЛФХЧ) φнс(ω) строится путем алгебраического суммирования логарифмических фазовых,

Изм.
Лист
№ докум.
Подпись
Дата
Лист
 
ДП. 220301. 359. 08. 000. ПЗ.  
частотных характеристик апериодических звеньев φ1(ω), φ2(ω), φ3(ω) с постоянными времени Т1,,Т20,

Фнс(ω) = φ1(ω)+ φ2(ω)+ φ3(ω) (114)

φ1(ω)=-arctgТ1ω=-arctg 0,018ω

φ2(ω)=-arctgТ2ω=-arctg 0,0008ω

φ3(ω)=-arctgТ3ω=-arctg 0,007ω

Результаты расчета заносим в таблицу.

 

Таблица 8 - Результаты расчетов

ω с-1 0,1 0,5              
Lgω дек -1 -0,3   0,7   1,7   2,7  
Т1 ω   0,1 0,5              
arctg T1(ω) эл.град -5о7' -8о5' -45о -74о1' -84о3 -89о3' -89о7' -90о -90о
Т2 ω   0,0007 0,0035 0,007 0,035 0,07 0,35 0,7 3,5  
arctg T2(ω) эл.град -0 о -0о12' -0о24' -2 о -4 о -29о -35о -74о -82о
φ(ω) эл.град -5о7' -8 о 62' -0 о 24' -76о1' -88о3' -108о3' -124о7' -164о -172о






Date: 2015-07-23; view: 525; Нарушение авторских прав



mydocx.ru - 2015-2026 year. (0.855 sec.) Все материалы представленные на сайте исключительно с целью ознакомления читателями и не преследуют коммерческих целей или нарушение авторских прав - Пожаловаться на публикацию