Главная Случайная страница


Полезное:

Как сделать разговор полезным и приятным Как сделать объемную звезду своими руками Как сделать то, что делать не хочется? Как сделать погремушку Как сделать так чтобы женщины сами знакомились с вами Как сделать идею коммерческой Как сделать хорошую растяжку ног? Как сделать наш разум здоровым? Как сделать, чтобы люди обманывали меньше Вопрос 4. Как сделать так, чтобы вас уважали и ценили? Как сделать лучше себе и другим людям Как сделать свидание интересным?


Категории:

АрхитектураАстрономияБиологияГеографияГеологияИнформатикаИскусствоИсторияКулинарияКультураМаркетингМатематикаМедицинаМенеджментОхрана трудаПравоПроизводствоПсихологияРелигияСоциологияСпортТехникаФизикаФилософияХимияЭкологияЭкономикаЭлектроника






Расчет статистических показателей элементов САУ





Структурная схема системы автоматического регулирования в установившемся режиме имеет вид:

 


Рисунок 2 - Структурная схема САУ

 

Uзд – задающее напряжение

Uос – напряжение обратной связи по скорости

Uб– напряжение ошибки

U'у,Uу – управляющее напряжение

a – угол регулирования преобразователя

Ud– напряжение на двигателе

– чистота вращения двигателя

hс – помеха от изменения напряжения сети hc = 0,1

hп, – помехи от изменения нагрузки преобразователя

hд – помехи от изменения нагрузки двигателя

Кц – коэффициент передачи цепи управления (предварительно Кц = 1)

Ксфу– коэффициент передачи системы фазового управления

Изм.
Лист
№ докум.
Подпись
Дата
Лист
 
ДП. 220301. 359. 08. 000. ПЗ.  
Кт – коэффициент передачи тиристорного преобразователя

Кд коэффициент передачи двигателя

Ктг – коэффициент передачи тахогенератора

Суммарная помеха от изменения нагрузки преобразователя двигателя:

hн=hп+ hд=(Rп+Rд)ΔIя= RΣ ΔIя, (62)

ΔIя= Iян-0,1 Iян=55,4-0,1· 55,4=49,86 А (63)

hн=hп+ hд=(Rп+Rд)ΔIя= RΣ ΔIя=1,127 · 49,86=56,19 В. (64)

Коэффициент передачи двигателя:

(65)

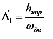
hнпр= Кдhн=1,45 · 64,02=98,83 рад/с

Относительная помеха от изменения нагрузки преобразователя и двигателя на верхнем пределе диапазона регулирования (ВПДР):

(66)

Относительная помеха от изменения нагрузки преобразователя и двигателя на нижнем пределе диапазона регулирования (НПДР):

Δ’2= Δ’1D, (67)

 

D- диапазон регулирования, равный по отношению наибольшей скорости к наименьшей.

(68)

Δ’2= Δ’1D=0,295 · 150=44,25

Относительная ошибка с учетом помехи от отклонений сетевого напряжения и расчетный коэффициент запаса (1,1…1,3)

на ВПДР Δ1=(1,1…1,3)(Δ’1+ Δс)=1,1(0,295+0,1)=0,43 (69)

на НПДР Δ2=(1,1…1,3)(Δ’2+ Δс)=1,1(44,25+0,1)=48,79 (70)

Изм.
Лист
№ докум.
Подпись
Дата
Лист
 
ДП. 220301. 359. 08. 000. ПЗ.  
Δс-относительная помеха от отклонений сетевого напряжения, Δс=0,1

Требуемый коэффициент усиления разомкнутой системы при допустимой статистической ошибке γдоп=0,1

на ВПДР (71)

на НПДР (72)

γдат=0,025 – ошибка тахогенератора, обусловленная нелинейностью его характеристики, составляет примерно 2,5%

Коэффициент передачи тахогенератора:

(74)

 

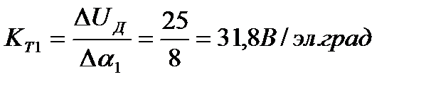
Характеристика СФУ привода считается примерно линейной, поэтому Коэффициент передачи СФУ определяется по формуле:

(75)

Δα=90эл.град – приращение угла отпирания тиристоров;

ΔUу=8В – приращение напряжения управления

Аналитическое выражение для характеристики собственно тиристорного преобразователя имеет вид:

Ud=Udocosα=261,53 cosα (76)

Изм.
Лист
№ докум.
Подпись
Дата
Лист
 
ДП. 220301. 359. 08. 000. ПЗ.  
Задаваясь значениями угла α от 0° до 90°, рассчитываем значения среднего выпрямленного напряжения Ud и строим регулировочную характеристику Ud=f(α).

 

Таблица 7 - Регулировочная характеристика Ud=f(α).

α,эл.град                    
Cosα   0,9848 0,9397 0,87 0,766 0,643 0,5 0,342 0,174  
Ud                    


Рис. 2 - Характеристика холостого хода тиристорного преобразователя.

Напряжение преобразователя при холостом ходе двигателя:

на ВПДР (77)

на НПДР (78)

Изм.
Лист
№ докум.
Подпись
Дата
Лист
 
ДП. 220301. 359. 08. 000. ПЗ.  

Приняв приращение напряжения Δ Ud~hн=40 В, находим по характеристике Ud=f(α) соответствующие приращения тиристоров Δα1=8° и Δα2=5° и пересчитываем коэффициенты передачи собственно тиристорного преобразователя:

на ВПДР (79)

на НПДР (80)

Действительная величина коэффициента усиления разомкнутой системы:

на ВПДР Кр1= КпКсфуКт1КдКтг=1·11,25·3,1·1,53·0,73=38,95 (81)

на НПДР Кр2пКсфуКт2КдКтг=1·11,25·5·1,53·0,73=62,83 (82)

Коэффициент передачи цепи на предварительной стадии расчетов принимаем равным единице. Действительное значение коэффициента усиления разомкнутой системы на НПДР Кр2 =62,83 получили значительно меньше требуемого Кр2 =589, поэтому для обеспечения заданной статической точности в систему необходимо ввести промежуточный усилитель.


Требуемая величина коэффициента усиления промежуточного усилителя:

(83)

В качестве усилителя ошибки применим транзисторный усилитель со следующими параметрами: коэффициент усиления Ку=150, входное сопротивление Rах=1000 Ом, дрейф нуля hдр=10…20 мВ.

Составляем структурную схема САУ с усилителем в статическом режиме.

 

Изм.
Лист
№ докум.
Подпись
Дата
Лист
 
ДП. 220301. 359. 08. 000. ПЗ.  

Рисунок 3 -Структурная схема САУ с усилителем в установившемся режим.

 

Помеха дрейфа нуля усилителя, приведенная к выходу системы:

на ВПДР hдр1= КуКсфуКт1Кд=15·10-3·150·11,25·3,1·1,53=116,9 рад/с (84)

на НПДР hдр2= КуКсфуКт2Кд=15·10-3·150·11,25·5·1,53=194,6 рад/с (85)

Относительная помеха дрейфа нуля усилителя:

на ВПДР (86)

на НПДР (87)

Суммарная относительная ошибка системы с учетом дрейфа нуля:

на ВПДР ΔΣ1= Δ1+ Δдр1=0,43+0,371=0,8 (88)

на НПДР ΔΣ2= Δ1+ Δдр2=48,79+92,2=151 (89)

Требуемая величина усиления разомкнутой системы:

на ВПДР (90)

на НПДР (91)

(92)

 

Коэффициент усиления разомкнутой системы (при Кц=1):

на ВПДР К’р1= Кц КуКсфуКт1КдКтг=1·15·10-3·11,25·3,1·1,53·0,73=5843

Изм.
Лист
№ докум.
Подпись
Дата
Лист
 
ДП. 220301. 359. 08. 000. ПЗ.  
на НПДР К’р2 = Кц КуКсфуКт2КдКтг=1·15·10-3·11,25·5·1,53·0,73=9424

Таким образом, после введения усилителя выполняется соотношение

К’ртр.

Избыточный коэффициент можно скомпенсировать за счет уменьшения коэффициента передачи цепи, величина которого должна быть не менее:

на ВПДР (93)

на НПДР (94)

Окончательно получаем коэффициент усиления разомкнутой системы:

на ВПДР Кр1= Кц1К’р1=0,002·5843=11,7 (95)

на НПДР Кр2= Кц2К’р2=0,214·9424=2017 (96)

Действительная величина ошибки в замкнутой схеме:

на ВПДР (97)

на НПДР (98)

Таким образом, в рассчитываемой системе будет обеспечено поддержание скорости в статистическом режиме с ошибкой, не превышающей допустимую (γдоп =10%), как на верхнем, так и на нижнем пределах регулирования.

Статическая ошибка замкнутой САР, обусловленная только изменением нагрузки двигателя (статизм системы)

Изм.
Лист
№ докум.
Подпись
Дата
Лист
 
ДП. 220301. 359. 08. 000. ПЗ.  
на ВПДР 0,295/(1+11,7)=0,023=2,3 %







Date: 2015-07-23; view: 522; Нарушение авторских прав



mydocx.ru - 2015-2026 year. (0.463 sec.) Все материалы представленные на сайте исключительно с целью ознакомления читателями и не преследуют коммерческих целей или нарушение авторских прав - Пожаловаться на публикацию