Главная Случайная страница


Полезное:

Как сделать разговор полезным и приятным Как сделать объемную звезду своими руками Как сделать то, что делать не хочется? Как сделать погремушку Как сделать так чтобы женщины сами знакомились с вами Как сделать идею коммерческой Как сделать хорошую растяжку ног? Как сделать наш разум здоровым? Как сделать, чтобы люди обманывали меньше Вопрос 4. Как сделать так, чтобы вас уважали и ценили? Как сделать лучше себе и другим людям Как сделать свидание интересным?


Категории:

АрхитектураАстрономияБиологияГеографияГеологияИнформатикаИскусствоИсторияКулинарияКультураМаркетингМатематикаМедицинаМенеджментОхрана трудаПравоПроизводствоПсихологияРелигияСоциологияСпортТехникаФизикаФилософияХимияЭкологияЭкономикаЭлектроника






ВВЕДЕНИЕ. Лекарства, применяемые для лечения психозов, называются по-разному: антипсихотическими, нейролептиками или больши­ми транквилизаторами





Лекарства, применяемые для лечения психозов, называются по-разному: антипсихотическими, нейролептиками или больши­ми транквилизаторами. В этой главе используется термин «ан-типсихотик» как более точно описывающий основной терапевти­ческий эффект этих препаратов. Термин «нейролептик» в большей степени относится к неврологическим или моторным эффектам этих препаратов. Термин «большие транквилизаторы» неточно определяет первичный эффект этих препаратов как просто седа-тивный и создает путаницу из-за так называемых «малых транк­вилизаторов», таких как бензодиазепины. Типичной ошибкой является применение термина «фенотиазины» как синонима тер­мина «антипсихотики», поскольку фенотиазиновые антипсихоти-ки являются только подклассом антипсихотических препаратов.

Основная область применения антипсихотиков—лечение ши­зофрении, хотя эти препараты также используются для лечения


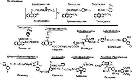
Рис. 2. Молекулярная структура типичных антипсихотических препаратов.

ажитации и психозов, вызванных другими психическими и орга­ническими заболеваниями. Антипсихотики не вызывают или поч­ти не вызывают привыкания и, таким образом, не относятся к препаратам, требующим контроля. Хотя антипсихотики не во всех случаях излечивают шизофрению, они вызывают улучшение у многих больных, чего ранее не удавалось добиться ни одним из методов. Применение антипсихотиков снизило число госпитали­зированных больных с более чем 500000 в 1950 г. до приблизитель­но 100000 в 1985 г. Это уменьшение числа госпитализирован­ных больных в значительной степени связано с применением ан­типсихотических препаратов. Тем не менее, хотя антипсихотики позволяют многим больным находиться вне больницы и суще­ствовать в обществе, эти же самые препараты также частично обу­словливают проблему бездомных психически больных. Антипси­хотики вызвали у больных улучшение состояния, достаточное для того, чтобы они могли обходиться без госпитализации, в то же время план деинститутионализации оказался недостаточно хоро­шо разработанным для того, чтобы обеспечить амбулаторное ле­чение большинству больных, которые обнаруживают значитель­ные нарушения.







Date: 2015-07-02; view: 457; Нарушение авторских прав



mydocx.ru - 2015-2026 year. (3.916 sec.) Все материалы представленные на сайте исключительно с целью ознакомления читателями и не преследуют коммерческих целей или нарушение авторских прав - Пожаловаться на публикацию