Главная Случайная страница


Полезное:

Как сделать разговор полезным и приятным Как сделать объемную звезду своими руками Как сделать то, что делать не хочется? Как сделать погремушку Как сделать так чтобы женщины сами знакомились с вами Как сделать идею коммерческой Как сделать хорошую растяжку ног? Как сделать наш разум здоровым? Как сделать, чтобы люди обманывали меньше Вопрос 4. Как сделать так, чтобы вас уважали и ценили? Как сделать лучше себе и другим людям Как сделать свидание интересным?


Категории:

АрхитектураАстрономияБиологияГеографияГеологияИнформатикаИскусствоИсторияКулинарияКультураМаркетингМатематикаМедицинаМенеджментОхрана трудаПравоПроизводствоПсихологияРелигияСоциологияСпортТехникаФизикаФилософияХимияЭкологияЭкономикаЭлектроника






Порядок выполнения визуального и измерительного контроля сварных конструкций (узлов, элементов)





6.6.1. Визуальный контроль сварных конструкций (узлов, элементов) предусматривает проверку:

отклонений по взаимному расположению элементов сварной конструкции;

наличия маркировки сварных соединений;

наличия маркировки сварных конструкций (узлов);

отсутствия поверхностных повреждений материала, вызванных отклонениями в технологии изготовления, транспортировкой и условиями хранения;

отсутствия неудаленных приварных элементов (технологического крепления, выводных планок, гребенок, бобышек и т.п.).

6.6.2. Измерительный контроль гнутых колен труб предусматривает проверку:

отклонения от круглой формы (овальность) в любом сечении, гнутых труб (колен);

толщины стенки в растянутой части гнутого участка трубы (рекомендуется проводить толщиномерами);

радиуса гнутого участка трубы (колена);

высоты волнистости (гофры) на внутреннем обводе гнутой трубы (колена);

неровностей (плавных) на внешнем обводе (в случаях, установленных НД);

предельных отклонений габаритных размеров.

6.6.3. Измерительный контроль тройников и коллекторов с вытянутой горловиной предусматривает проверку:

эксцентриситета оси горловины относительно оси корпуса;

радиусов перехода наружной и внутренней поверхностей горловины к корпусу;

размеров местных углублений от инструмента на внутренней поверхности тройника, вызванных применяемым инструментом;

уменьшения диаметра корпуса вследствие утяжки металла при высадке (вытяжке) горловины;

угла конуса на наружной поверхности патрубка;

местного утолщения стенки горловины, овальности прямых участков корпуса тройника по наружному диаметру в месте разъема штампа;

кольцевого шва присоединения переходного кольца.

6.6.4. Измерительный контроль переходов, изготовленных методами подкатки (последовательного обжима), осадки в торец и вальцовкой листовой стали с последующей сваркой предусматривает проверку:

размеров углублений и рисок на внутренней поверхности обжатого конца, носящих характер ужимин;

утолщения стенки на конической части перехода;

формы и размеров шва, отсутствия недопустимых поверхностных дефектов.

6.6.5. Измерительный контроль сварных изделий (деталей) — тройников, фланцевых соединений, секторных отводов, коллекторов, трубных блоков и т.д. предусматривает проверку:

размеров перекосов осей цилиндрических элементов;

прямолинейности образующей изделия;

отклонения штуцера (привариваемой трубы, патрубка) от перпендикулярности относительно корпуса (трубы, листа), в который вваривается штуцер (труба, патрубок);

отклонения осей концевых участков сварных секторных отводов;

кривизны (прогиба) корпуса (трубы) сварных угловых соединений труб (вварка трубы, штуцера);

отклонения размеров, определяющих расположение штуцеров в блоках;

отклонения оси прямых блоков от проектного положения;

отклонения габаритных размеров сварных деталей и блоков.

6.6.6. Контроль геометрических размеров колен и труб гнутых, а также прямых гнутых деталей и блоков должен проводиться методом плазирования (наложением на плаз с контрольным чертежом) с последующим измерением отклонений измерительным инструментом (линейка, щуп, штангенциркуль, шаблон, оптические приборы и др.). Замеры отклонений гнутых труб (колен) проводятся относительно наружной поверхности. Схемы измерений отдельных отклонений приведены на рис. 17.

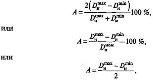
6.6.7. Овальность любого сечения колена (гнутой трубы) и прямых участков корпуса тройника по наружному диаметру в зоне разъема штампа определяется в соответствии с требованиями НД на объекты контроля по следующим формулам:

6.6.7. Величина овальности в любом сечении детали определяется по следующим формулам:

где Dнmax u.Dнmin максимальное и минимальное значения наружного диаметра. Измерения Dнmax u.Dнmin выполняются в поперечном сечении детали, имеющем наибольшие отклонения;
Dнном - номинальное значение наружного диаметра.

 

 

 

Рис. 17. Схема измерений отдельных отклонений

трубных деталей и блоков:

а — отклонение (перелом) оси тройника сварного 6);

б — отклонение штуцеров от проектного положения (4) и размеры

расположения штуцеров по длине трубы (коллектора) (А и Б);

в — отклонение (перелом) оси блока трубопровода (7)

6.6.8. Измерение толщины стенки гнутых деталей (элементов), в том числе вытянутой горловины тройников и коллекторов, а также утолщения стенки на конической части перехода, изготовленного методами прокатки и осадки в торец, рекомендуется проводить ультразвуковыми приборами (толщиномерами).


6.6.9. Перелом осей трубных деталей и прямолинейность образующей определяется в 2—3 сечениях в зоне максимального перелома (отклонения образующей от прямолинейности), выявленного при визуальном контроле. Измерение выполнять в соответствии с требованиями, приведенными в п. 6.4.12 и рис. 3. В случае когда измерения по данной методике не обеспечивают требуемой точности, измерения следует проводить по специальной методике.

 

6.6.10. Отклонение от перпендикулярности наружной поверх ности (оси) штуцера к корпусу (трубе) определяется в двух взаимно перпендикулярных сечениях (рис. 18).

6.6.11. Определение диаметра труб при измерении рулеткой проводится по формуле

где Р — длина окружности, измеренная рулеткой, мм; p = 3,1416; D t — толщина ленты рулетки, мм.

Рис. 18. Измерение отклонения (5) от перпендикулярности наружной поверхности штуцера

 

6.6.12. Измерения следует выполнять на участках, угловые и линейные размеры которых вызывают сомнение по результатам визуального контроля.







Date: 2015-06-11; view: 1108; Нарушение авторских прав



mydocx.ru - 2015-2026 year. (4.526 sec.) Все материалы представленные на сайте исключительно с целью ознакомления читателями и не преследуют коммерческих целей или нарушение авторских прав - Пожаловаться на публикацию