Главная Случайная страница


Полезное:

Как сделать разговор полезным и приятным Как сделать объемную звезду своими руками Как сделать то, что делать не хочется? Как сделать погремушку Как сделать так чтобы женщины сами знакомились с вами Как сделать идею коммерческой Как сделать хорошую растяжку ног? Как сделать наш разум здоровым? Как сделать, чтобы люди обманывали меньше Вопрос 4. Как сделать так, чтобы вас уважали и ценили? Как сделать лучше себе и другим людям Как сделать свидание интересным?


Категории:

АрхитектураАстрономияБиологияГеографияГеологияИнформатикаИскусствоИсторияКулинарияКультураМаркетингМатематикаМедицинаМенеджментОхрана трудаПравоПроизводствоПсихологияРелигияСоциологияСпортТехникаФизикаФилософияХимияЭкологияЭкономикаЭлектроника






Б) Гестагенные (прогестагенные) и антигестагенные препараты 7 page





Лечение аллергических заболеваний следует начинать с выяснения природы аллергена (пыльца растений, медикамент, определенная пища и др.). Устранение контакта с аллергеном дает наилучший результат.

Если вследствие тех или иных причин не удается избежать воздействия аллер­гена и если природа его установлена, можно прибегнуть к специфической гипосенсибилизации: вводят малые дозы установленного аллергена, что снижает спе­цифическую чувствительность к нему.

При необходимости (особенно при аллергии замедленного типа) в клинике используют неспецифическую гипосенсибилизацию с помощью препаратов груп­пы иммунодепрессантов, которые подавляют иммуногенез.

Важное место в лечении аллергии занимают противоаллергические вещества, снижающие высвобождение и действие «медиаторов аллергии». Кроме того, в не­которых случаях возникает необходимость в симптоматической терапии (напри­мер, при анафилактическом шоке).

Весьма перспективно использование при аллергии блокаторов лейкотриеновых рецепторов, ингибиторов 5-липоксигеназы, регулирующей образование лейкотриенов, а также блокаторов рецепторов, с которыми взаимодействует фактор, акти­вирующий тромбоциты. Первые соединения этих групп веществ синтезированы и находятся в стадии экспериментального и клинического исследования. Они представляют интерес и в качестве противовоспалительных средств (см. главу 26).

Таковы общие принципы лечения аллергических заболеваний. Вместе с тем фармакотерапия разных типов аллергии имеет свои особенности.

При аллергии (гиперчувствительности) немедленного типа применя­ют следующие группы препаратов.

1. Средства, препятствующие высвобождению из сенсибилизированных туч­ных клеток и базофилов гистамина и других биологически активных веществ. Считают, что такой эффект является компонентом противоаллергического дей­ствия глюкокортикоидов (см. главу 20; 20.5), кромолин-натрия и кетотифена (см. главу 13; 13.4), веществ с β-адреномиметической активностью (адреналин и др.; см. главу 4; 4.1), эуфиллина (см. главу 13; 13.4).

2. Средства, препятствующие взаимодействию свободного гистамина с чув­ствительными к нему тканевыми рецепторами:

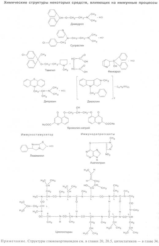
противогистаминные средства — блокаторы гистаминовых H1-рецепторов (ди­медрол, дипразин и др.).

3. Средства, устраняющие общие проявления аллергических реакций типа ана­филактического шока (имеются в виду прежде всего резкое падение артериаль­ного давления и бронхоспазм):

а) адреномиметики (адреналин и др.; см. главу 4; 4.1);

б) бронхолитики миотропного действия (эуфиллин и др.; см. главу 13; 13.4).

4. Средства, уменьшающие повреждение тканей.

С этой целью обычно используют стероидные противовоспалительные сред­ства (см. главу 20; 20.5).

При аллергии (гиперчувствительности) замедленного типа применя­ют в основном 2 группы препаратов: средства, подавляющие иммуногенез, и сред­ства, уменьшающие повреждение тканей.

1. Средства, подавляющие иммуногенез (угнетающие преимущественно клеточ­ный иммунитет). Такими препаратами, получившими название иммунодепрессантов,

являются глюкокортикоиды, циклоспорин, такролимус и цитотоксические средства (см. главу 34).

Иммунодепрессивное действие глкжокортикоидов связывают с угнетением фазы пролиферации лимфоцитов (особенно Т-лимфоцитов). Подавляется также распознавание антигена (возможно, за счет влияния на макрофаги). Снижаются продукция и действие ряда интерлейкинов, а также γ-интерферона. Уменьшается цитотоксичность определенных популяций Т-лимфоцитов (так называемых кил­леров). Угнетается образование фактора, ингибирующего миграцию макрофагов. Вместе с тем в терапевтических дозах глюкокортикоиды не оказывают существен­ного влияния на продукцию специфических антител и образование комплекса антиген—антитело. Следует учитывать наличие у глюкокортикоидов выраженной противовоспалительной активности (см. главу 26). Сочетание иммунодепрессивного и противовоспалительного действия и определяет высокую эффективность глюкокортикоидов при многих аллергических реакциях.

Эффективным иммунодепрессантом является циклоспорин (сандиммун), ко­торый относится к пептидным антибиотикам. Продуцируется грибами Tolypocladium inflatum Gams и Cylindrocapon lucidum Booth. Угнетает индуцированную антигеном раннюю стадию дифференцировки Т-лимфоцитов, блокирует их актива­цию. Выраженное угнетающее влияние оказывает на Т-хелперы. Снижает продук­цию интерлейкинов (ИЛ-2), γ-интерферона. Из пищеварительного тракта цикло­спорин всасывается медленно и не полностью; t1/2 = 25-40 ч. Большая часть препарата метаболизируется в печени и выделяется в основном с желчью, около 10% — почками.


Важным отличием циклоспорина от цитотоксических средств (см. главу 34) является незначительное угнетение кроветворения. Однако он обладает нефротоксичностью и может нарушать функцию печени.

Применяется при пересадке органов и тканей. Возможно использование при аутоиммунных заболеваниях. Вводят препарат внутрь и внутривенно.

По вызываемому эффекту к циклоспорину близок новый препарат такроли­мус (FK-506, програф). Продуцируется Streptomyces tsukubaensis. Относится к груп­пе антибиотиков-макролидов. Такролимус угнетает активацию Т-лимфоцитов и уменьшает продукцию интерлейкина-2. Значительно активнее циклоспорина (примерно в 100 раз). Применяют при трансплантации органов. Вводят энтерально, внутривенно. Обладает нефротоксичностью, нейротоксичностью, вызывает гипертензию, диспепсические расстройства, гипергликемию и другие побочные эффекты.

К цитотоксическим веществам относятся алкилирующие средства (циклофосфан), антиметаболиты (азатиоприн, метотрексат, меркаптопурин), неко­торые антибиотики (например, актиномицин С) и др. (см. главу 34). Иммуно­депрессивное действие цитотоксических препаратов, по-видимому, связано в основном с их угнетающим влиянием на деление иммуноцитов, что приводит к подавлению пролиферативной фазы иммунного ответа.

С целью подавления иммунитета нередко используют и азатиоприн (имуран). По структуре и характеру действия он сходен с меркаптопурином, однако у азатиоприна преобладает иммунодепрессивный эффект при относительно меньшей цитотоксичности. Является пролекарством. В организме из него образуется 6-меркаптопурин, который превращается в другие метаболиты. Оказывает цитотоксическое действие на ранние стадии пролиферации Т-лимфоцитов. В меньшей сте­пени влияет на В-лимфоциты. Ингибирует синтез пуринов.

Хорошо всасывается из желудочно-кишечного тракта. Выделяется азатиоприн и его метаболиты почками.

Основные проявления токсического действия азатиоприна — угнетение функ­ции костного мозга и развитие лейкопении. Возможны анемия, тромбоцитопения, повышенная кровоточивость, тошнота, рвота, диарея, иногда дисфункция печени и желтуха. Применяют его при так называемых аутоиммунных заболева­ниях (ревматоидном полиартрите, красной волчанке и др.) и как резервный пре­парат при пересадке органов (см. главу 34).

Циклофосфан назначают по тем же показаниям, что и азатиоприн.

2. Средства, уменьшающие повреждение тканей. Эта фаза аллергического про­цесса характеризуется развитием очагов асептического воспаления, поэтому в дан­ном случае эффективны противовоспалительные средства стероидной и несте­роидной структуры (см. главу 26).

Основная направленность действия приведенных веществ представлена на рис. 27.1-27.3.

С учетом того, что фармакология всех перечисленных веществ, кроме противогистаминных препаратов, рассматривается в других главах, в настоящем разде­ле основное внимание уделено антагонистам гистамина.

 

27.1.1. ПРОТИВОГИСТАМИННЫЕ СРЕДСТВА (БЛОКАТОРЫ ГИСТАМИНОВЫХ H1-РЕЦЕПТОРОВ)

Противогистаминные средства блокируют рецепторы тканей, чувствительные к гистамину. Высвобождение свободного гистамина под влиянием противогистаминных средств практически не изменяется. Не влияют они и на синтез гистамина.


Существующие гистаминовые рецепторы обладают неодинаковой чувствитель­ностью к противогистаминным веществам разного химического строения, что сви­детельствует о различиях в их морфофункциональной организации. Выделяют сле­дующие основные подтипы рецепторов, с которыми взаимодействует гистамин: Н1- и Н4-рецепторы (табл. 27.2).

Стимуляция гистамином H1-рецепторов вызывает сокращение гладких мышц кишечника, бронхов, матки. Гистаминовые Н2-рецепторы участвуют в регуляции секреторной активности желез желудка, деятельности сердца, липидного обме­на. Кроме того, Н2-рецепторы, по-видимому, играют определенную роль в разви­тии аллергических и иммунных процессов, так как они обнаружены на мембра­нах лимфоцитов, тучных клеток, нейтрофильных и базофильных лейкоцитов. В сосудах имеются оба типа рецепторов. В связи с этим в развитии гипотензии на гистамин участвуют как Н1, так и Н2-рецепторы (последние в значительно мень­шей степени). Оба типа рецепторов, чувствительных к гистамину, обнаружены и в ЦНС. Эффекты, связанные с возбуждением Н3- и Н4-гистаминовых рецепто­ров, приведены в табл. 27.2.

В этом разделе будут представлены блокаторы гистаминовых H1-рецепторов, применяемые при аллергических состояниях (табл. 27.3).

Противогистаминные средства, блокирующие H1-рецепторы, устраняют или уменьшают следующие виды действия гистамина: повышение тонуса гладкой муску­латуры бронхов, кишечника, матки; понижение артериального давления (частично); увеличение проницаемости капилляров с развитием отека; гиперемию и зуд при интрадермальном введении гистамина или при высвобождении в коже эндогенного гис­тамина. Эти вещества не влияют на стимуляцию гистамином секреции желез желудка.

Наиболее распространенные препараты этой группы по химическому строе­нию могут быть отнесены к следующим рядам соединений:

этаноламины — димедрол (дифенгидрамина гидрохлорид, бенадрил), тавегил (клемастин);

этилендиамины — супрастин (хлоропирамин);

фенотиазины — дипразин (прометазина гидрохлорид, пипольфен);

производные хинуклидина — фенкарол (квифенадин);

тетрагидрокарболины — диазолин (мебгидролина нападисилат, омерил);

производные пиперидина — лоратадин (кларитин).

Помимо специфического антагонизма с гистамином на периферических тка­нях и противоаллергической активности, блокаторы гистаминовых H1-рецепторов характеризуются и рядом других свойств. Так, для димедрола, дипразина и супрастина типично угнетающее влияние на ЦНС (что связано с блокадой центральных H1-рецепторов). Проявляется это седативным и снотворным эффектами. Дипразин усиливает действие средств для наркоза, опиоидных анальгетиков и местных анестетиков. Кроме того, он в небольшой степени снижает температуру тела. В очень высоких дозах указанные препараты вызывают двигательное и психичес­кое возбуждение, бессонницу, тремор, повышение рефлекторной возбудимости.


Тавегил, фенкарол и лоратадин обладают незначительным седативным эффектом.

Диазолин практически не влияет на ЦНС, чем существенно отличается от дру­гих препаратов (особенно от дипразина, димедрола и супрастина).

Большинство препаратов характеризуются в различной степени выраженны­ми анестезирующими свойствами. Димедрол обладает вполне отчетливой ганглиоблокирующей активностью, в связи с чем может понижать артериальное дав­ление. Дипразин, как и другие производные фенотиазинового ряда, блокирует α-адренорецепторы. Дипразин, димедрол и супрастин обладают умеренными спаз­молитическими свойствами; у ряда веществ отмечена м-холиноблокирующая активность (табл. 27.4).

Таблица 27.2. Свойства разных подтипов гистаминовых рецепторов (H1-H4)
Подтип рецепторов G- белки и вторичные передатчики Локализация рецепторов Агонисты Антагонисты (блокаторы)
H1 Gq/11 Иноз(1,4,5)P3*(↑) ДАГ**(↑) Гладкие мышцы бронхов, кишечника, артерий, вен, капилляры, сердце, нейроны ЦНС Гистапродифен Димедрол Дипразин Диазолин Тавегил Фенкарол Лоратадин
H2 GS цАМФ (↑) Париетальные клетки сли­зистой оболочки желудка, сердце, гладкие мышцы арте­рий, миометрий, нейроны ЦНС, тучные клетки, базофильные и нейтрофильные лейкоциты, Т-лимфоциты, жировая ткань Амтамин Ранитидин Фамотидин Низатидин Циметидин
H3*** (H3A, H3B, H3C) Gi цАМФ (↓) Нейроны ЦНС, желудочно-кишечный тракт, сердечно­сосудистая система, верхние дыхательные пути Иммепип Иметит (R)-α-метилгистамин Ципроксифан Клобенпро­пит Тиоперамид Клозапин
H4 Gi цАМФ (↓) Кишечник, селезенка, тимус, иммуноактивные клетки (Т-клетки, нейтрофилы, эозинофилы) Клозапин Клобенпропит Иметит Иммепип Тиоперамид
* Инозитол (1,4,5)трифосфат. ** 1,2-Диацилглицерол. *** Пресинаптические рецепторы Примечание. (↑) — повышение, (↓) — снижение.

 

Таблица 27.3. Гистаминовые H1-рецепторы и их блокаторы
Локализация H1-рецепторов Эффекты, связанные с возбуждением гистаминовых Н1-рецепторов Антигистаминные препараты (H1-блокаторы)
Гладкие мышцы бронхов   Гладкие мышцы кишечника   Сердце     Гладкие мышцы артериальных сосудов   Гладкие мышцы вен   Капилляры   Нейроны ЦНС Повышение тонуса   Повышение тонуса   Угнетение атриовентрикулярной проводимости   Снижение тонуса     Повышение тонуса   Повышение проницаемости   Разные эффекты Димедрол Дипразин Диазолин Супрастин Тавегил Лоратадин

 

 

Таблица 27.4. Сравнительная характеристика ряда противогистаминных средств, блокирующих H1-рецепторы
Свойства противогистаминных средств Димерол Тавегил Супрастин Дипразин Диазолин Фенкарол Лоратадин
Противогистаминная активность + + +++ + + + + + + + + ++ + +
Продолжительность действия, ч 4-6 8-12 4-6 4-6 До 24-48 6-8  
Влияние на ЦНС Седативное, снотвор­ное Незначитель­ное седативное Выраженное седативное Выраженное седативное - Незначитель­ное седативное Незначитель­ное седативное
Угнетение вегетативных ганглиев +     - - - -
М-холиноблокирующее действие - Незначитель­ное + + _1 Незначитель­ное -
α-Адреноблокирующее действие - - - + - -  
Раздражающее действие + (п/к) + (п/к) + (п/к) + (п/к) + (внутрь) + (внутрь)  
Анестезирующее действие + + + + + +  
1 Блокирует м-холинорецепторы сердца. Примечание. Количество плюсов отражает относительную активность веществ. Во всех остальных случаях отмечено наличие (+) или отсутствие (-) эффекта без указания его выра­женности; п/к — при подкожном введении.

Всасываются рассматриваемые средства хорошо как при парентеральном, так и при энтеральном введении. Длительность действия димедрола, супрастина, дипразина, фенкарола 4-6 ч, тавегила 8-12 ч, лоратадина 24 ч. Продолжительность эффекта диазолина может достигать 2 сут и более.

Применяют препараты данной группы главным образом при различных ал­лергических поражениях кожи и слизистых оболочек: крапивнице, ангионевротическом отеке, сенной лихорадке, рините и конъюнктивите, при аллергических состояниях, связанных с приемом антибиотиков или других медикаментов. Ма­лоэффективны они при бронхиальной астме и анафилактическом шоке (в после­днем случае препаратом выбора является адреналин).

Блокаторы гистаминовых H1-рецепторов, угнетающие ЦНС, иногда исполь­зуют с целью снотворного и седативного действия (например, димедрол), редко — при паркинсонизме, хорее, рвоте беременных, вестибулярных расстройствах.

Вводят препараты энтерально, подкожно, внутримышечно и внутривенно. Пре­параты, обладающие раздражающими свойствами (например, дипразин, фенкарол, диазолин), при приеме внутрь целесообразно назначать после еды.

Переносятся блокаторы гистаминовых H1-рецепторов, как правило, хорошо. При применении некоторых препаратов, обладающих м-холиноблокирующей ак­тивностью, возможна сухость слизистой оболочки ротовой полости. Димедрол, дипразин и супрастин могут вызывать седативный эффект, сонливость.

Препараты с седативными свойствами не рекомендуется принимать во время работы представителям профессий, требующих особенно большого внимания и быстрых реакций (работникам транспорта и т.п.). В данном случае целесообраз­но назначение диазолина, обычно не влияющего на ЦНС. Возможно также ис­пользование тавегила, фенкарола и лоратадина. Однако важно удостовериться в отсутствии повышенной чувствительности к этим препаратам.

При заболеваниях печени и почек противогистаминные средства следует ис­пользовать с осторожностью.

При работе сотрудников фармацевтических предприятий и медперсонала с дипразином необходимо соблюдать меры предосторожности, так как могут воз­никать аллергические поражения кожных покровов и слизистых оболочек.

 

27.2. ИММУНОСТИМУЛИРУЮЩИЕ СРЕДСТВА

Средства, стимулирующие (нормализующие) иммунные реакции, используют в комплексной терапии иммунодефицитных состояний, хронических инфекций, злокачественных опухолей. В качестве иммуностимуляторов применяют биоген­ные вещества (препараты тимуса, интерферонов, интерлейкин-2, БЦЖ) и син­тетические соединения (например, левамизол).

В медицинской практике используется ряд препаратов тимуса, обладающих иммуностимулирующим эффектом (тималин, тактивин и др.). Относятся они к полипептидам или белкам.

Тактивин (Т-активин) нормализует количество и функцию Т-лимфоцитов (при иммунодефицитных состояниях), стимулирует продукцию цитокинов, вос­станавливает подавленную функцию Т-киллеров и в целом повышает напряжен­ность клеточного иммунитета. Применяют его при иммунодефицитных состоя­ниях (после лучевой терапии и химиотерапии у онкологических больных, при хронических гнойных и воспалительных процессах и т.д.), лимфогранулематозе, лимфолейкозе, рассеянном склерозе.

Интерфероны, относящиеся к группе цитокинов, оказывают противовирус­ное, иммуностимулирующее и антипролиферативное действие. Выделяют α-, β- и γ-интерфероны. Наиболее выраженным регулирующим влиянием на иммуни­тет обладает интерферон-γ. Иммунотропное действие интерферонов проявляет­ся в активации макрофагов, Т-лимфоцитов и естественных клеток-киллеров. Вы­пускают препараты естественного интерферона, получаемого из донорской крови человека (интерферон, интерлок), а также рекомбинантные интерфероны (реаферон, интрон-А, бетаферон). Применяют их при лечении ряда вирусных инфекций (например, гриппа, гепатита; см. главу 30), а также при некоторых опу­холевых заболеваниях (при миеломе, лимфоме из В-клеток).

Кроме того, в качестве иммуностимуляторов иногда используют так называе­мые интерфероногены (например, полудан, продигиозан), повышающие про­дукцию эндогенных интерферонов.

В качестве иммуностимуляторов назначают также некоторые интерлейкины, например рекомбинантный интерлейкин-2.

БЦЖ используется для вакцинации против туберкулеза. В настоящее время препарат иногда применяют в комплексной терапии ряда злокачественных опу­холей. БЦЖ стимулирует макрофаги и, очевидно, Т-лимфоциты. Некоторый положительный эффект отмечен при острой миелоидной лейкемии, некоторых ви­дах лимфом (не относящихся к лимфоме Ходжкина), при раке кишечника и грудной железы, при поверхностном раке мочевого пузыря.

Одним из синтетических препаратов является левамизол (декарис). Приме­няется в виде гидрохлорида. Он обладает выраженной противоглистной актив­ностью (см. главу 33), а также иммуностимулирующим эффектом. Механизм пос­леднего недостаточно ясен. Имеются данные о том, что левамизол оказывает стимулирующее влияние на макрофаги и Т-лимфоциты. Продукцию антител он не изменяет. Следовательно, основной эффект левамизола проявляется в нормализации клеточного иммунитета. Применяют его при иммунодефицитных состояниях, некоторых хронических инфекциях, ревматоидном артрите, ряде опухолей.

Назначают левамизол в комбинации со специфически действующими пре­паратами. Вводят внутрь. При однократном приеме побочных эффектов прак­тически не наблюдается. Вместе с тем при повторных введениях левамизола, особенно если дозы велики, возникают различные побочные проявления, в том числе достаточно серьезные. Так, возможны выраженные аллергические реак­ции (сыпь, лихорадка, стоматит), угнетение кроветворения (нейтропения, агранулоцитоз). Кроме того, отмечаются неврологические нарушения (возбужде­ние, бессонница, головная боль, головокружение) и диспепсические явления (тошнота, рвота, диарея). В связи с возможным угнетением кроветворения при многократном введении левамизола необходим контроль картины перифери­ческой крови.

Иммуностимулирующим свойством обладают также полиоксидоний и имунофан.

Препараты
Название Средняя терапевтическая доза для взрослых; путь введения Форма выпуска
Димедрол — Dimedrolum Внутрь 0,025-0,05 г; внутримышечно 0,01- 0,04 г; внутривенно (капельно) 0,02-0,04 г; наружно 3-10% мазь, в конъюнктивальный мешок 1-2 капли 0,2—0,5% раствора; в нос 1 палочку по 0,05 г Порошок; таблетки по 0,05 г; палочки по 0,05 г; ампулы и шприц-тюбики по 1 мл 1% раствора
Супрастин — Suprastin Внутрь 0,025 г; внутримышечно и внутривенно 0,02-0,04 г Таблетки по 0,025 г; ампулы по 1 мл 2% раствора
Диазолин — Diazolinum Внутрь 0,05-0,2 г Порошок; драже по 0,05 и 0,1 г
Фенкарол — Phencarolum Внутрь 0,025-0,05 г Порошок; таблетки по 0,025 г

 

ПРОТИВОМИКРОБНЫЕ, ПРОТИВОВИРУСНЫЕ И ПРОТИВОПАРАЗИТАРНЫЕ СРЕДСТВА (главы 28-33)

 

ПРОТИВОМИКРОБНЫЕ СРЕДСТВА

Лекарственные средства, обладающие противомикробными свойствами, под­разделяют на две группы.

Первая группа включает препараты, не обладающие избирательностью противомикробного эффекта. Они губительно влияют на большинство микроорганиз­мов. К ним относятся антисептики и дезинфицирующие вещества.

Антисептики обычно наносят наружно на покровные ткани (кожу, слизис­тые оболочки). Отдельные антисептики используют для воздействия на микро­организмы, локализующиеся в желудочно-кишечном тракте и мочевыводящих путях. В зависимости от концентрации они оказывают бактериостатическое или бактерицидное действие.

Дезинфицирующие средства служат для обеззараживания медицинских ин­струментов, аппаратуры, помещений, посуды, выделений больных. Эффект их раз­вивается быстро. Применяются они, как правило, в бактерицидных концентра­циях и используются для предупреждения распространения инфекций.

Провести резкую границу между антисептиками и дезинфицирующими сред­ствами не всегда возможно, так как многие вещества в определенных концентра­циях используют как антисептики, а в более высоких — с целью дезинфекции.

Вторая группа веществ включает противомикробные средства избирательного действия, которые относят к так называемым химиотерапевтическим сред­ствам. Типичным для препаратов этой группы является влияние на определен­ные виды микроорганизмов. К важным их характеристикам относится также боль­шая широта терапевтического действия. О последней судят по диапазону между бактериостатическими (бактерицидными) концентрациями и концентрациями, токсичными для макроорганизма. Применяют химиотерапевтические препараты для лечения и профилактики инфекций, а также для санации носителей инфекции.

 

Глава 28

АНТИСЕПТИЧЕСКИЕ И ДЕЗИНФИЦИРУЮЩИЕ СРЕДСТВА

Значение антисептиков и дезинфицирующих средств очень велико. Их исполь­зуют при лечении инфицированных ран, поражений микроорганизмами кожных покровов и слизистых оболочек, для обработки воды и пищи, для обеззаражива­ния медицинских инструментов, белья и т.д.

Антисептики и дезинфицирующие средства должны обладать широким спек­тром действия в отношении микроорганизмов, простейших и грибов, характери­зоваться малым латентным периодом действия, высокой активностью, в том чис­ле в присутствии биологических субстратов. Важно, чтобы препараты были химически стойкими и доступными с точки зрения их производства и стоимости.

Важными требованиями к антисептикам являются отсутствие местного отрицательно­го (например, раздражающего) действия на ткани, минимальная всасываемость с места их нанесения, отсутствие аллергизирующего влияния и низкая токсичность.

Дезинфицирующие вещества не должны повреждать обрабатываемые предметы (изме­нять окраску, вызывать коррозию металлов и др.). Желательно отсутствие у них неприят­ного запаха.

Распространенным критерием оценки ак­тивности антисептиков является так называ­емый феноловый коэффициент (соотношение концентраций фенола и испытуемого анти­септика, в которых вещества оказывают оди­наковый противомикробный эффект).

Механизм действия разных антисептиков и дезинфицирующих веществ неодинаков и может быть связан с денатурацией белка, на­рушением проницаемости плазматической мембраны, торможением важных для жизне­деятельности микроорганизмов ферментов.

По химическому строению рассматриваемые препараты относятся к следующим группам.

Детергенты

Церигель

Производные нитрофурана

Фурацилин

Группа фенола и его производных

Фенол чистый

Резорцин

Деготь березовый

Красители

Бриллиантовый зеленый

Метиленовый синий

Этакридина лактат

Галогеносодержащие соединения

Хлоргексидин

Хлорамин Б

Раствор йода спиртовой

Соединения металлов

Ртути дихлорид

Ртути окись желтая

Серебра нитрат

Меди сульфат

Цинка окись

Цинка сульфат

Окислители

Раствор перекиси водорода

Калия перманганат

Альдегиды и спирты

Раствор формальдегида

Спирт этиловый

Кислоты и щелочи

Кислота борная

Раствор аммиака

Детергенты, или катионные мыла, обладают моющими и антисептически­ми свойствами. Они влияют на многие бактерии и грибы. Одним из таких препа­ратов является церигель. Он содержит катионный детергент — моночетвертичную аммониевую соль цетилпиридиний-хлорид, а также поливинилбутираль и спирт этиловый. К этой группе относится и роккал, обладающий выраженной поверхностной активностью. Он является моночетвертичной аммониевой солью. Применяют детергенты для обработки рук хирурга, стерилизации инструментов, аппаратуры. В обычных концентрациях раздражения тканей они не вызывают.

Детергенты нельзя сочетать с анионными мылами, так как при этом их противомикробная активность падает. Действие детергентов снижается также в при­сутствии органических веществ.

Важной группой антисептиков являются производные нитрофурана. К ним относится фурацилин (нитрофурал, нитрофуразон). Нитрофураны обладают широким спектром действия. Они губительно влияют на грамположительные и грамотрицательные бактерии, простейшие.

Фурацилин применяют главным образом наружно для обработки ран, кожи, слизистых оболочек, для промывания серозных и суставных полотей. Перено­сится фурацилин, как правило, хорошо. Иногда он вызывает сенсибилизацию, дерматит.

Группа фенола и его производных включает многие хорошо известные анти­септики ароматического ряда. К ним относятся оксибензолы (фенол чистый) и диоксибензолы (резорцин и др.). Фенол действует в основном на вегетативные формы бактерий и грибы. Растворы фенола используют для дезинфекции инст­рументов, предметов обихода.







Date: 2015-07-01; view: 802; Нарушение авторских прав



mydocx.ru - 2015-2026 year. (0.402 sec.) Все материалы представленные на сайте исключительно с целью ознакомления читателями и не преследуют коммерческих целей или нарушение авторских прав - Пожаловаться на публикацию