Главная Случайная страница


Полезное:

Как сделать разговор полезным и приятным Как сделать объемную звезду своими руками Как сделать то, что делать не хочется? Как сделать погремушку Как сделать так чтобы женщины сами знакомились с вами Как сделать идею коммерческой Как сделать хорошую растяжку ног? Как сделать наш разум здоровым? Как сделать, чтобы люди обманывали меньше Вопрос 4. Как сделать так, чтобы вас уважали и ценили? Как сделать лучше себе и другим людям Как сделать свидание интересным?


Категории:

АрхитектураАстрономияБиологияГеографияГеологияИнформатикаИскусствоИсторияКулинарияКультураМаркетингМатематикаМедицинаМенеджментОхрана трудаПравоПроизводствоПсихологияРелигияСоциологияСпортТехникаФизикаФилософияХимияЭкологияЭкономикаЭлектроника






Б) Гестагенные (прогестагенные) и антигестагенные препараты 2 page





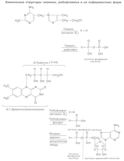
Из желудочно-кишечного тракта рибофлавин всасывается хорошо. В значи­тельных количествах депонируется в тканях. Выделяется почками.

Применяют рибофлавин при его недостаточности, а также при кератите, конъюнктивите, ирите, при ряде кожных и инфекционных заболеваний, лучевой болезни. Назначают внутрь и местно. Парентерально используют рибофлавина мононуклеотид.

Токсические эффекты при применении рибофлавина не отмечаются.

Кислоту никотиновую и никотинамид обозначают как витамин РР. Имеются дан­ные о том, что в организме кислота никотиновая превращается в амид кислоты никотиновой.

Последний участвует в образовании двух важных коферментов (см. структуры): никотинамида дениндинуклеотида НАД (кодегидраза I) и НАДФ (кодегидраза II). С дегидрогеназами они участвуют в окислительных процессах, являясь на определенном этапе дыхания акцепторами водорода (протонов) и электронов.

Никотинамид частично образуется в организме из триптофана. При отсутст­вии в пище витамина РР развивается пеллагра. Основными ее симптомами явля­ются диарея, дерматит (характерно воспаление открытых поверхностей кожи) и деменция (приобретенное слабоумие). Кроме того, отмечаются глоссит (воспа­ление языка), гастрит и другие симптомы.

 

Помимо функции витамина, кислота никотиновая обладает также выражен­ным, но непродолжительным сосудорасширяющим эффектом. Проявляется это покраснением лица, головокружением, снижением артериального давления, та­хикардией и др. Никотинамид такими свойствами не обладает. Кислота никоти­новая влияет также на липидный обмен, снижая содержание в крови холестерина и свободных жирных кислот (см. главу 22).

Из пищеварительного тракта кислота никотиновая и никотинамид всасыва­ются хорошо. Неизмененные соединения и продукты их превращения выделяют­ся почками.

Применяют кислоту никотиновую и никотинамид внутрь и парентераль­но при пеллагре, заболеваниях печени, гастрите с пониженной кислотностью, кожных заболеваниях. Кислоту никотиновую иногда назначают при сосудистых спазмах, а также в качестве гиполипидемического средства.

Оба соединения малотоксичны. Кислота никотиновая может вызывать сосу­дистые реакции, обусловленные расширением сосудов. При ее длительном при­менении в больших дозах возможно развитие жировой дистрофии печени. Для предупреждения этого осложнения следует пользоваться метионином (аминокис­лота, способствующая утилизации избытка жира из печени).

Кислота пантотеновая (витамин В5) в природе имеет очень широкое распрос­транение. Особенно большие ее количества обнаружены в дрожжах, печени, яй­цах, икре рыб, зерновых культурах, цветной капусте. Кислота пантотеновая син­тезируется микрофлорой кишечника.

Физиологической активностью обладает правовращающий изомер кислоты пантотеновой. В организме он участвует в образовании кофермента А. Значение последнего в обменных процессах очень велико: он принимает участие в окисле­нии и биосинтезе жирных кислот, в окислительном декарбоксилировании кетокислот (например, пировиноградной, α-кетоглутаровой), в синтезе лимонной кислоты (включаясь в цикл трикарбоновых кислот), кортикостероидов, ацетилхолина. Основная функция кофермента А заключается в том, что он является ак­цептором и переносчиком кислотных (ацильных) остатков.

Недостаточности кислоты пантотеновой у людей практически не бывает. Если ее вызвать искусственным путем, назначая добровольцам специальную диету, наблюдаются утомляемость, нарушение сна, головная боль, диспепсические рас­стройства, парестезии, мышечные боли и другие нарушения.

Из желудочно-кишечного тракта кислота пантотеновая всасывается хорошо. В больших количествах обнаруживается в ряде органов: сердце, печени, поч­ках, надпочечниках. Выделяется в неизмененном виде (2/3 — почками, 1/3 -кишечником).

В медицинской практике применяют кальция пантотенат (внутрь, местно и парентерально). Препарат назначают при неврите, невралгиях, некоторых ал­лергических реакциях, при заболеваниях органов дыхания, язвах, ожогах, при пос­леоперационной атонии кишечника, для устранения токсических эффектов пре­паратов стрептомицина, соединений мышьяка и др.

Токсичность кальция пантотената низкая. Из побочных эффектов иногда на­блюдаются диспепсические явления.

Витамином В6 принято обозначать 3 соединения: пиридоксин (пиридоксол), пиридоксаль и пиридоксамин (см. структуры). Для обозначения всей группы обычно используют название первого соединения — пиридоксин.

Вещества с В6-витаминной активностью в больших количествах содержатся в дрожжах, зернах злаков, бобовых культурах, бананах, мясе, рыбе, печени, почках.


Основной коферментной формой, в которую превращаются пиридоксин, пи­ридоксаль и пиридоксамин, является пиридоксальфосфат (кроме того, образуется пиридоксаминфосфат). Пиридоксальфосфат участвует в очень многих процессах азотистого обмена: трансаминировании, дезаминировании и декарбоксилирова­нии аминокислот, метаболизме триптофана, аминокислот, содержащих серу, оксиаминокислот и др.

У взрослых недостаточность витамина В6 наблюдается редко. Она может воз­никнуть у детей (наблюдаются судороги, дерматит).

Следует иметь в виду, что причиной недостаточности витамина В6 может быть длительное лечение противотуберкулезными препаратами из группы гидразидов изоникотиновой кислоты (изониазид и др.), которые угнетают синтез пиридоксальфосфата. Если при этом развиваются периферические невриты, их устраня­ют с помощью пиридоксина.

Искусственно вызываемая у добровольцев недостаточность витамина В6 пу­тем назначения специальной диеты сопровождается возникновением себорейного дерматита на лице, глоссита, стоматита, судорог. После введения пиридоксина эти явления проходят.

Из пищеварительного тракта пиридоксин всасывается хорошо. В организме подвергается химическим превращениям. Его метаболиты выводятся почками.

Для медицинской практики выпускают пиридоксина гидрохлорид. Его применяют при недостаточности витамина В6 на фоне приема гидразидов изони­котиновой кислоты, антибиотиков, при большой физической нагрузке, при ток­сикозе беременных. Используют препарат также при лечении паркинсонизма, не­врита, радикулита, лучевой болезни, гепатита легкой и средней тяжести, ряда кожных заболеваний.

Вводят его внутрь и парентерально. Переносится препарат хорошо. Иногда возникают аллергические реакции.

Наряду с пиридоксином по тем же показаниям используют его коферментную форму пиридоксальфосфат.

Кислота фолиевая (кислота птероилглутаминовая) состоит из 3 структурных элементов: птеридинового производного, парааминобензойной кислоты и L-глутаминовой кислоты. Наибольшие количества кислоты фолиевой находятся в све­жих овощах (салат, шпинат, помидоры, морковь), печени, почках, яйцах, сыре и других продуктах. Синтезируется микрофлорой кишечника.

В печени кислота фолиевая превращается в активную коферментную форму — 5,6,7,8-тетрагидрофолиевую кислоту (см. структуры). Основная функция после­дней заключается в присоединении и переносе одноуглеродных групп (формильной, метильной, оксиметильной и метиленовой).

Тетрагидрофолиевая кислота участвует в синтезе пуринов, опосредовано — в синтезе пиримидинов, превращениях ряда аминокислот, обмене гистидина, син­тезе метионина, т.е. в метаболизме нуклеиновых кислот и белков.

При недостаточности кислоты фолиевой развивается макроцитарная анемия. Могут быть лейкопения, агранулоцитоз, тромбоцитопения. Поражается пищева­рительный тракт (возникают глоссит, стоматит, язвенный гастрит, энтерит).

Кислота фолиевая всасывается из тонкой кишки. В плазме основная ее часть находится в связанном состоянии. В больших количествах она депонируется в печени. В значительных концентрациях обнаруживается в ликворе. Продукты пре­вращения кислоты фолиевой выделяются почками.


Применяют кислоту фолиевую при макроцитарной анемии (см. главу 18), мегалобластических анемиях у детей и беременных, при спру и т.д. Вводят препа­рат внутрь.

Говоря о витамине В12, обычно имеют в виду цианокобаламин (см. химическую структуру). Однако активностью витамина В12 обладает и ряд других аналогов и производных цианокобаламина (в том числе природного происхождения). Таким образом, понятие «витамин В12» приобрело собирательный характер. В особенно больших количествах В12 содержится в говяжьей печени и почках. В природе син­тезируется только микроорганизмами. Этот путь используется и при промышлен­ном получении витамина В12. Синтез витамина В12 микроорганизмами в толстой кишке человека для баланса витамина В12 не имеет значения, так как его всасыва­ние происходит главным образом в тонкой кишке.

Основная функция активных коферментных форм витамина В12 (кофермента В12 и метилкобаламина) — перенос подвижных метальных групп (процесс транс­метилирования) и водорода. Благодаря этим процессам осуществляется влияние на обмен белков и нуклеиновых кислот (посредством участия в синтезе метионина, ацетата, дезоксирибонуклеотидов и др.). Витамин B12 необходим для процесса кро­ветворения, образования эпителиальных клеток, функционирования нервной системы (участвует в образовании миелина), роста и процессов регенерации.

При недостаточности цианокобаламина (связанной обычно с патологией же­лудка и тонкой кишки, нарушающей всасывание цианокобаламина) развивается

мегалобластическая анемия (пернициозная, или злокачественная, анемия, ане­мия Аддисона-Бирмера). Поражаются также пищеварительный тракт (язык ста­новится ярко-красным, гладким, высокочувствительным к химическим раздра­жителям, отмечаются атрофия слизистой оболочки желудка, ахилия) и нервная система (парестезии, болевые ощущения, нарушение походки).

Всасывается цианокобаламин («внешний фактор Касла») в тонкой кишке. Это происходит после его взаимодействия в желудке с «внутренним фактором Кас­ла». Последний представляет собой гликопротеин, обеспечивающий абсорбцию цианокобаламина. Если внутренний фактор по каким-либо причинам отсутству­ет (например, в результате резекции желудка), цианокобаламин следует вводит парентерально. В плазме крови цианокобаламин в основном находится в связан­ном с белками состоянии. В больших количествах он депонируется в печени. Выделяется преимущественно железами пищеварительного тракта (особенно с желчью), а также почками.

Переносится препарат хорошо. Иногда вызывает повышение свертываемости крови. При превышении обычного числа эритроцитов и лейкоцитов дозу циано­кобаламина снижают.

К витаминам группы В ряд авторов относят также кислоту пангамовую и холина хлорид. Однако правильнее расценивать их как витаминоподобные вещества или физиологически активные биогенные соединения. При недостаточности этих веществ в пище гипо- или авитаминоз у людей не возникает. Неизвестны коферментные формы кислоты пангамовой и холина хлорида. Их участие в биохими­ческих процессах связано с тем, что они являются донаторами метальных групп. Применяют их при заболеваниях печени (циррозе, гепатитах), атеросклерозе, ле­чении алкоголизма. Кислоту пангамовую назначают также при дистрофических поражениях миокарда, при стенокардии. В качестве препарата кислота пангамовая выпускается в виде кальциевой соли (кальция пангамат), назначаемой внутрь.


Важную биологическую роль играет кислота аскорбиновая (витамин С). Она содержится в значительных количествах в овощах, фруктах, ягодах, хвое, шипов­нике, в листьях и ягодах черной смородины. Под влиянием высоких температур, кислорода, аскорбатоксидазы (фермента, содержащегося в растениях), тяжелых металлов (особенно меди) кислота аскорбиновая разрушается. В организме чело­века она не синтезируется.

Основные эффекты кислоты аскорбиновой связаны с ее участием в окисли­тельно-восстановительных процессах. Последнее осуществляется в результате окисления кислоты аскорбиновой в дегидроаскорбиновую. Процесс этот обра­тимый и сопровождается переносом атомов водорода.

Кислота аскорбиновая участвует в образовании основного вещества соедини­тельной ткани (включающего мукополисахариды — гиалуроновую и хондроитин-серную кислоты) и синтезе коллагена, при недостатке которых отмечаются порозность и ломкость сосудов, замедление процесса регенерации. Установлено участие кислоты аскорбиновой в образовании кортикостероидов, в обмене тиро­зина, превращении кислоты фолиевой в ее активную форму — тетрагидрофолиевую кислоту, активации ряда ферментов.

Недостаточность кислоты аскорбиновой приводит к развитию гиповитаминоза, а в тяжелых случаях авитаминоза (цинга, или скорбут). При цинге наблюдаются утомляемость, сухость кожи, геморрагические высыпания на коже (обычно перифолликулярные), гингивит с кровотечением из десен, расшатывание и выпа­дение зубов, кровоизлияния в мышцы, боли в конечностях, нарушения со сторо­ны внутренних органов (геморрагический энтероколит, плеврит, гипотония, поражения сердца, печени и др.). Снижается сопротивляемость инфекциям, так как, очевидно, страдает иммунитет.

Всасывается кислота аскорбиновая в тонкой кишке. Частично депонируется в тканях (особенно много вещества обнаруживается в надпочечниках). Выделяется с мочой частично в неизмененном виде, но главным образом в виде продуктов превращения (оксалатов).

Применяют кислоту аскорбиновую для профилактики и лечения ее недостаточности, при кровотечениях, инфекциях, интоксикациях химичес­кими веществами, атеросклерозе, лучевой болезни, вялотекущих регенера­тивных процессах, повышенных нагрузках. Вводят препарат внутрь и паренте­рально.

В терапевтических дозах кислота аскорбиновая переносится хорошо и побочных эффектов не вызывает. При введении в больших дозах и в течение длительного времени может повреждать островковый аппарат поджелудочной железы и опос­редованно (вследствие избыточного образования кортикостероидов) почки. Пос­леднее приводит к повышению артериального давления.

Витамин Р объединяет ряд веществ, относящихся к группе биофлавоноидов (химически являются производными флавона). Содержатся они в цитрусах, пло­дах шиповника, ягодах черноплодной рябины, зеленых листьях чая и др.

Основной эффект витамина Р заключается в уменьшении проницаемости и ломкости капилляров. Наряду с кислотой аскорбиновой он участвует в окисли­тельно-восстановительных процессах.

При недостаточности витамина Р наблюдается снижение резистентности ка­пилляров, которое устраняют назначением препаратов, обладающих Р-витаминной активностью. В качестве последних используют рутин (3-рутинозид кверцетина, получаемый из зеленой массы гречихи), кверцетин, витамин Р из листьев чайного растения (содержит катехины), витамин Р из цитру­совых и других растений.

Применяют препараты с Р-витаминной активностью (целесообразно в соче­тании с кислотой аскорбиновой) при патологических состояниях, сопровождаю­щихся повышением проницаемости сосудов (геморрагическом диатезе, капилляротоксикозе). Назначают внутрь.

К витаминоподобным веществам, растворимым в воде, может быть отнесен также витамин U. Химически он представляет собой метилметионинсульфония хлорид. В значительных количествах содержится в спарже, свежих томатах, капу­сте, сельдерее.

Витамин U оказывает противоязвенное действие. Можно полагать, это связа­но с тем, что он является донатором метальных групп. Применяют витамин U внутрь при язвенной болезни желудка и двенадцатиперстной кишки, гастрите, язвенных колитах.

 

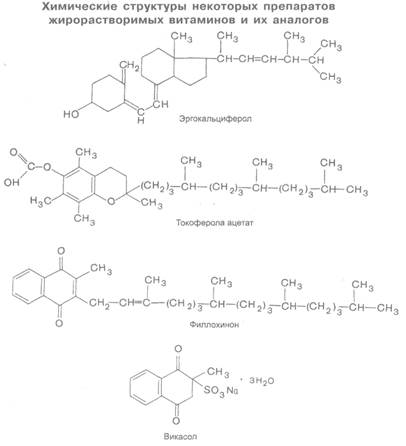
21.2. ПРЕПАРАТЫ ЖИРОРАСТВОРИМЫХ ВИТАМИНОВ

Эта группа витаминов объединяет витамины A, D, Е, К (см. табл. 21.2).

Витамин А включает ряд близких по структуре соединений: ретинол (витамин А-спирт, витамин А1, аксерофтол), дегидроретинол (витамин А2), ретиналь (ре­тинен, витамин А-альдегид), ретиноевую кислоту (витамин А-кислота) и их эфиры и пространственные изомеры. Содержится витамин А (в виде эфира-пальмитата) в животных продуктах: рыбьем жире (трески, палтуса, морского окуня), печени, коровьем масле и других молочных продуктах.

В различных растениях и частично в животных продуктах содержатся А-провитамины — каротины (α-, β- и γ-изомеры). В организме они превращаются в витамин А. Наиболее распространенным и наиболее активным изомером являет­ся β-каротин. Ферментативное расщепление (гидролиз) 1 молекулы β-каротина приводит к образованию 2 молекул витамина А. Значительные количества каро­тинов содержатся в моркови, петрушке, щавеле, шпинате, облепихе, красноплод­ной рябине, шиповнике, абрикосах.

Основная направленность действия витамина А на обмен веществ не выясне­на. По-видимому, он играет важную роль в окислительно-восстановительных про­цессах (за счет большого количества ненасыщенных связей). Имеются данные о том, что витамин А участвует в синтезе мукополисахаридов, белков, липидов.

Большое значение имеет витамин А для фоторецепции. Об этом свидетель­ствует то, что при недостаточности витамина А наступает расстройство темновой адаптации, или так называемого сумеречного зрения (подобное состояние назы­вают гемералопией, или «куриной слепотой»). Причина последнего заключается в следующем. В сетчатке имеются специальные клетки (палочки), чувствитель­ные к свету слабой интенсивности. Они содержат фоточувствительный пигмент родопсин, состоящий из ретиналя (альдегидная форма витамина А), связанного с белком опсином. Под влиянием света этот комплекс распадается, что вызывает генерацию нервных импульсов. Сначала образуется ряд промежуточных соеди­нений. Заканчивается процесс распада высвобождением ретиналя и опсина. За­тем под влиянием фермента дегидрогеназы ретиналь восстанавливается в вита­мин А. В темноте из витамина А происходит интенсивный ресинтез зрительного пурпура, что повышает остроту зрения при низ­кой освещенности. Упрощенно основные эта­пы превращения зрительного пурпура пред­ставлены на схеме 21.1.

Для недостаточности витамина А, помимо развития гемералопии, типично поражение эпителия слизистых оболочек и кожи. При этом происходит превращение разных видов эпи­телия в многослойный плоский. Усиливаются процессы ороговения. Кожа становится сухой, наблюдаются папулезная сыпь, шелушение. Поражается слизистая оболочка глаз. Секреция слюнных желез уменьшается. Развивается су­хость роговицы (ксерофтальмия), которая при авитаминозе А может привести к ее размягчению и некрозу (кератомаляции). В тяжелых случаях это может быть причиной полной слепоты. Кроме того, иногда наблюдается поражение верхних дыхательных путей, желудочно-кишечного трак­та, мочеполовой системы.

Нарушение кожных и слизистых барьеров при недостаточности витамина А облегчает инфицирование организма, развитие воспалительных процессов. За­живление ран, их грануляция и эпителизация замедляются. Авитаминоз А может приводить к развитию гипохромной анемии.

Повышение резистентности организма к инфекциям, очевидно, связано со стимулирующим влиянием витамина А на иммунитет. Не исключено, что после­днее может иметь благоприятное значение в профилактике возникновения опу­холевых процессов.

Всасывается витамин А главным образом в тонкой кишке. Для его дисперги­рования и абсорбции необходимы желчные кислоты. В связи с этим при недоста­точности желчеобразования может развиться гиповитаминоз А. В этих случаях необходимо парентеральное введение препаратов витамина А. После всасывания витамин А по лимфатическим путям попадает в печень, где в значительных коли­чествах депонируется в виде ретинола пальмитата. Выделяющийся в кровь рети­нол в плазме связывается с белками, обеспечивающими его транспорт к тканям. В организме витамин А полностью подвергается химическим превращени­ям. Образующиеся при этом метаболиты и конъюгаты выделяются почками и ки­шечником.

Каротины, вводимые с продуктами питания, превращаются в витамин А в сли­зистой оболочке кишечника. С этого момента они приобретают биологическую активность.

Применяют препараты витамина А и каротины для лечения и профилактики А-витаминной недостаточности, при некоторых кожных заболеваниях (при на­рушении процесса ороговения), ряде патологических состояний роговицы и сет­чатки, для лечения ожогов, обморожений, при инфекционных заболеваниях, не­которых патологических состояниях желудочно-кишечного тракта. Назначают препараты витамина А внутрь, внутримышечно и местно. Дозируют в миллиграммах и в международных единицах (ME). 1 мг витамина А составляет 3300 ME (I ME = 0,3 мкг). В качестве препаратов с А-витаминной активностью выпускают разные лекарственные формы: ретинола ацетат и ретинола пальмитат, концент­рат витамина А, препараты рыбьего жира, масло облепиховое (содер­жит каротин, каротиноиды и другие соединения).

Длительное применение витамина А в больших дозах может приводить к раз­витию острого или хронического гипервитаминоза. В острых случаях отмечают­ся головная боль, сонливость, тошнота, рвота, светобоязнь, судороги. При хро­ническом гипервитаминозе А появляются кожные поражения (сухость кожи, пигментация), наблюдаются выпадение волос, ломкость ногтей, боли в области костей и суставов, возможны гиперостоз (особенно у детей), увеличение печени и селезенки, диспепсические явления, головная боль. Лечение гипервитаминоза заключается в отмене витамина А.

В последние два десятилетия большое внимание привлекли метаболиты рети­нола и его синтетические производные. Эту группу веществ называют ретиноидами. Действуют они на специальные рецепторы, чувствительные к ретиноевой кислоте и расположенные в ядре клетки. Показано, что ретиноиды эффективны при ряде кожных заболеваний — акне (угрях), псориазе, при нарушении процесса кератизации (например, при ихтиозе) и др. Ряд препаратов применяются местно в виде мазей, кремов, лосьонов, гелей, растворов. Одним из них является третиноин (кислота ретиноевая, весаноид). Его лечебный эффект связан с подавле­нием секреции сальных желез, нормализацией кератинизации, уменьшением вос­паления. Через эпидермис проникает менее 10% препарата, поэтому резорбтивное (токсическое) действие не развивается.

Применяется преимущественно для лечения акне. Учитывая, что в развитии акне принимают участие Propionibacterium acnes, ретиноиды нередко комбиниру­ют с антибиотиками (тетрациклином, эритромицином). Из побочных эффектов при местной аппликации третиноина наблюдаются раздражающее действие (по­краснение), сухость кожи и шелушение.

Для системного действия имеется препарат третиноина весаноид.

При тяжелом течении акне назначают ретиноиды для резорбтивного действия, особенно изотретиноин (роаккутан). Он подавляет функцию сальных желез и уменьшает их размер. Препарат хорошо всасывается из желудочно-кишечного тракта. Биодоступность ~ 20%. В значительной степени связывается с белками плазмы крови. t1/2 = 10-20 ч. В печени образуются метаболиты и конъюгаты. Изот­ретиноин и продукты его превращения выделяются печенью и почками. Вводят изотретиноин внутрь. При местном нанесении он неэффективен.

Вызывает целый ряд побочных эффектов: сухость слизистых оболочек (в том числе и глаз) и кожи, зуд, алопецию, миалгию, артралгию и др.

В эксперименте изотретионин и многие другие ретиноиды оказывают терато­генный эффект. Поэтому, рекомендуя использование препарата женщинам в де­тородном возрасте, необходимо быть уверенным в отсутствии беременности. Кро­ме того, за 1 мес до начала лечения, в течение всего курса и спустя 2 мес после его завершения следует обеспечить 100% контрацепцию. К синтетическим аромати­ческим производным ретинола относится этретинат (тигазон). Он хорошо всасывается из пищеварительного тракта. Биодоступность ~ 50%. По основным свой­ствам препарат сходен с изотретиноином. Обладает высокой липофильностью. Очень длительно задерживается в организме (до 2-3 лет), t1/2 ~ 100 дней. В орга­низме из этретината образуется активный метаболит ацитретин (t1/2 ~ 2 дня). Однако он эстерифицируется и вновь превращается в этретинат. Чаще, чем изот­ретионин, вызывает алопецию, шелушение кожи, нарушение функции печени, гиперлипидемию; наиболее угрожающий побочный эффект — тератогенность.

Интерес к ретиноидам связан не только с их успешным применением в дерма­тологической практике. Показано, что эта группа соединений перспективна и в качестве лечебных и профилактических средств при различных опухолевых забо­леваниях. Это касается рака кожи и ее предраковых состояний, ряда гемобластозов, а также некоторых солидных опухолей. Однако противобластомная актив­ность ретиноидов требует более тщательного исследования.

Поиск новых более эффективных и безопасных ретиноидов продолжается.

К группе витамина D относят эргокальциферол (витамин D2) и холекальциферол (витамин D3).

Большие количества витамина D содержатся в жире печени тунца, трески, пал­туса. Умеренной D-витаминной активностью обладают коровье молоко и желтки яиц. Витамин D2 и D3 имеют природные провитамины. Для витамина D2 это эргостерин, относящийся к стеринам растительного происхождения, а для витами­на D3 — 7-дегидрохолестерин, содержащийся в ряде животных тканей, в том чис­ле в коже. При фотоизомеризации провитамины превращаются в соответствующие витамины. В частности, под влиянием ультрафиолетовых лучей в коже из 7-дегидрохолестерина образуется витамин D3

Витамины группы D являются прогормонами, из которых образуются актив­ные метаболиты, относящиеся к гормонам.

Метаболизм холекальциферола в организме человека включает следующие этапы:

 

Наиболее активным метаболитом холекальциферола является кальцитриол (рокальтрол), который по своим свойствам является гормоном. Он взаимодействует со специфическими внутриклеточными рецепторами и регулирует обмен кальция во многих тканях. Кальцифедиол — основной циркулирующий мета­болит холекальциферола.

Синтетический аналог кальцитриола — препарат кальципотриол (псоркутан).

Эргокальциферол, образующийся в растениях из эргостерола, попадая в ор­ганизм, проходит аналогичные этапы метаболизма, отмеченные для холекаль­циферола.

Синтетическим аналогом эргокальциферола является альфа-кальцидол. В печени он превращается в кальцитриол.

Влияние веществ группы витамина D на обмен веществ однотипно и проявля­ется в основном в отношении метаболизма кальция (Са2+) и фосфата (НРО42–). Один из важных эффектов витамина D (имеются в виду все активные соединения этой группы) заключается в том, что он повышает проницаемость эпителия кишечника для кальция и фосфатов. При этом обеспечиваются необходимые их концентра­ции в крови. Кроме того, витамин D регулирует минерализацию костной ткани. При его недостаточности развиваются рахит, остеомаляция и остеопороз. Вместе с тем под контролем витамина D находится и процесс мобилизации кальция из кос­тной ткани, что также необходимо для создания оптимальных условий ее роста.

Определенное значение в поддержании необходимых концентраций фосфа­тов в организме имеет способность витамина D повышать их реабсорбцию в ка­нальцах почек. Обмен кальция и фосфатов регулируется не только витамином D, но также паратгормоном и тирокальцитонином (см. главу 20; 20.2, рис. 20.4).

Показано, что, помимо влияния на обмен кальция, холекальциферол и его метаболиты тормозят пролиферацию кератиноцитов кожи и активируют их дифференцировку.

Недостаточность витамина D у детей приводит к развитию рахита (нарушает­ся обызвествление костей, могут деформироваться позвоночник и грудная клет­ка, часто искривляются нижние конечности, задерживается появление зубов, воз­никает гипотония мышц, отстает общее развитие ребенка). У взрослых при гиповитаминозе могут развиться остеомаляция и остеопороз.

Всасывается витамин D в тонкой кишке. С лимфой попадает в печень и об­щий кровоток. В плазме крови связывается с α-глобулином, который осуществ­ляет его транспорт к различным органам. Депонируется витамин D в костях, жи­ровой ткани, печени, в слизистой оболочке тонкой кишки и в других тканях. Выделяются витамин D и продукты его обмена в основном кишечником, в мень­шей степени почками.

Следует иметь в виду, что при передозировке витамин D может вызывать ост­рое и хроническое отравления (D-гипервитаминозы). Заключаются они в па­тологической деминерализации костей и отложении кальция в почках, сосудах, сердце, легких, кишечнике. Это сопровождается нарушением функций соответ­ствующих органов и может приводить к смертельному исходу (например, в ре­зультате почечной недостаточности и связанной с ней уремии). Заметно страдает и ЦНС. Симптоматика довольно разнообразна — от вялости и сонливости до рез­кого беспокойства и судорог. Лечение D-гипервитаминоза заключается в отмене витамина D и назначении кортикостероидов, витамина Е, препаратов магния и калия, кислоты аскорбиновой, ретинола, тиамина.







Date: 2015-07-01; view: 872; Нарушение авторских прав



mydocx.ru - 2015-2026 year. (6.648 sec.) Все материалы представленные на сайте исключительно с целью ознакомления читателями и не преследуют коммерческих целей или нарушение авторских прав - Пожаловаться на публикацию