Главная Случайная страница


Полезное:

Как сделать разговор полезным и приятным Как сделать объемную звезду своими руками Как сделать то, что делать не хочется? Как сделать погремушку Как сделать так чтобы женщины сами знакомились с вами Как сделать идею коммерческой Как сделать хорошую растяжку ног? Как сделать наш разум здоровым? Как сделать, чтобы люди обманывали меньше Вопрос 4. Как сделать так, чтобы вас уважали и ценили? Как сделать лучше себе и другим людям Как сделать свидание интересным?


Категории:

АрхитектураАстрономияБиологияГеографияГеологияИнформатикаИскусствоИсторияКулинарияКультураМаркетингМатематикаМедицинаМенеджментОхрана трудаПравоПроизводствоПсихологияРелигияСоциологияСпортТехникаФизикаФилософияХимияЭкологияЭкономикаЭлектроника






Средства, понижающие резистентность тканей к инсулину





Тиазолидиндионы (розиглитазон, пиоглитазон)

 

5. Средства, угнетающие всасывание глюкозы в тонкой кишке (ингибиторы α-глюкозидазы)

Акарбоза

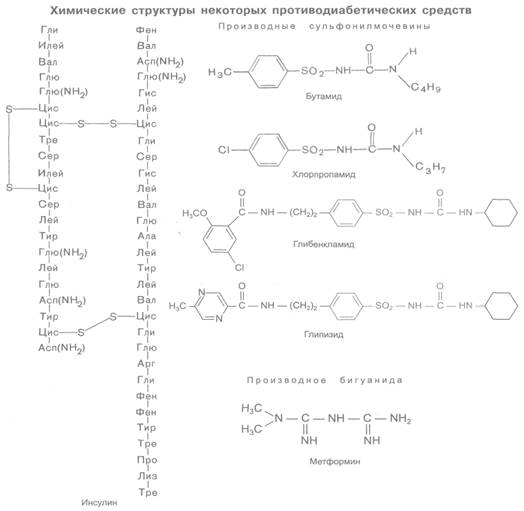
Универсальным и наиболее эффективным противодиабетическим средством является инсулин. Он представляет собой полипептид, включающий 2 полипеп­тидные цепочки (одна состоит из 21 аминокислоты, другая — из 30 аминокислот), соединенные дисульфидными мостиками (см. структуру). Осуществлен синтез инсулина человека и ряда животных. В настоящее время инсулин человека полу­чают методом генной инженерии.

В качестве лекарственных средств применяют препараты инсулина человека и инсулин, получаемый из поджелудочных желез убойного скота (свиной и бычий инсулины). Дозируют их в единицах действия (ЕД).

Имеются данные, что секреция инсулина зависит от ионов кальция. Запуска­ет этот механизм глюкоза. Проникая в В-клетки, глюкоза метаболизируется и способствует повышению внутриклеточного содержания АТФ. Последний, бло­кируя АТФ-зависимые калиевые каналы, вызывает деполяризацию клеточной мембраны. Это способствует вхождению в В-клетки ионов кальция (через откры­вающиеся потенциалзависимые кальциевые каналы) и высвобождению инсули­на путем экзоцитоза. Продукцию инсулина стимулируют также аминокислоты. В печени инсулин инактивируется ферментом инсулиназой.

Механизм гипогликемического действия инсулина окончательно не выяснен. Считают, что он взаимодействует со специфическими рецепторами на поверх­ности клеток, состоящими из двух α- и β-субъединиц, связанных дисульфид­ными мостиками. Образующийся ком­плекс «инсулин + рецептор» посредством эндоцитоза поступает внутрь клетки, где высвобождающийся инсулин и оказы­вает свое действие. Кроме того, при вза­имодействии с поверхностным рецеп­тором активируются β-субъединицы, ко­торые обладают тирозинкиназной актив­ностью.

Инсулин активирует транспорт глюко­зы через клеточные мембраны и ее утили­зацию периферическими тканями (мыш­цами, жировой тканью; рис. 20.5). Под влиянием инсулина возрастает гликогеногенез (он активирует фермент гликогенсинтетазу). В печени и скелетных мышцах инсулин снижает гликогенолиз. Угнета­ет превращение аминокислот в глюкозу. Стимулирует синтез белков. Способству­ет депонированию триглицеридов в жи­ровой ткани.

Применение инсулина при сахарном диабете приводит к снижению уровня са­хара в крови и накоплению в тканях гли­когена. Уменьшение содержания глюкозы в крови устраняет глюкозурию и связанные

 

с ней повышенный диурез (полиурия) и жажду (полидипсия). Следствием нор­мализации углеводного обмена является нормализация белкового обмена (умень­шается концентрация в моче азотистых соединений) и жирового обмена (в крови и моче перестают определяться кетоновые тела — ацетон, ацетоуксусная кислота, β-оксимасляная кислота). Прекращаются исхудание и чрезмерно выраженное ощущение голода (булимия), связанные с распадом жиров и интенсивным пре­вращением белков в глюкозу. Инсулин эффективен при сахарном диабете любой степени тяжести.

В настоящее время основным препаратом является рекомбинантный инсулин человека. Однако достаточно широко применяются и препараты, получаемые из тканей животных, главным образом свиной инсулин. Последний выпускается в виде очищенных (монопиковых — МП; имеется в виду хроматографическая очи­стка сырья) и высокоочищенных (монокомпонентных — МК) препаратов. Создан также аналог инсулина человека хумалог (инсулин лиспро). Он обладает более быстрым и менее продолжительным эффектом, чем обычные препараты челове­ческого инсулина короткого действия.

Для практической медицины было создано много препаратов инсулина, раз­личающихся по скорости развития эффекта и его продолжительности, а также по степени аллергенности.

Современные препараты инсулина могут быть представлены следующими группами.

1. Препараты с быстрым развитием максимального эффекта (через 1-4 ч) и крат­ковременным действием (4-8 ч).

2. Препараты со средней скоростью развития максимального эффекта (через 6-12 ч) и средней продолжительностью действия (18-24 ч).

3. Препараты с медленным развитием максимального эффекта (через 72-18ч) и длительным действием (24-40ч).

Некоторые препараты инсулина приведены в табл. 20.5. Многие препараты выпускают в специальных шприц-ручках.

Таблица 20.5Некоторые препараты инсулина1
Препараты инсулина человека Препараты свиного инсулина
Короткого действия
Актрапид НМ Инсулин Рапид Инутрал ЧМ Хоморап 40 Хумулин Регуляр Актрапид МС Илетин II Регуляр Инсулин бетасинт нейтральный Е-40С Инсулин Максирапид ВО-С Инсулин С Инсулрап СПП Инутрал СПП
Средней продолжительности действия 2
Изофан Инсулин ЧМ Инсулин Базал Монотард НМ Протафан НМ Хомолонг 40 Хумулин Л Хумулин Н Илетин II Л Илетин II НПХ Инсулин бетасинт ленте Е 40С Инсулин бетасинт ленте НПХ Е 40С Инсулин ленте СПП Инсулин СПП Инсуман Базал Монотард МС Протафан МС Хумулин НПХ
Длительного действия
Ультратард НМ Хумулин У-Л  
1 Таблица составлены по данным Государственного реестра лекарственных средств, МЗ РФ, 2000 г. 2 Кроме того, выпускаются смеси препаратов быстрого и короткого действия с препаратами средней продолжительности действия. Примечание. С — свиной; М — монокомпонентный; Ч (Н, НМ) — человеческий (Human); Л — ленте; У-Л — ультраленте.

Вводят препараты инсулина парентерально: обычно — подкожно и внутримы­шечно, реже — внутривенно (при приеме внутрь инсулин разрушается пищевари­тельными ферментами). Препараты инсулина короткого действия начинают действовать быстро, особенно при внутривенной инъекции. Последний путь введения наиболее показан при лечении прекоматозного и коматозного состояний. В этих случаях и при инсулинзависимом сахарном диабете инсулин является незамени­мым препаратом.


Препараты инсулина пролонгированного действия медленно всасываются из места введения. Их однократная инъекция обеспечивает длительный эффект, что является несомненным достоинством таких препаратов. Однако при развитии под влиянием пролонгированных препаратов выраженной гипогликемии вывести из нее больного труднее, чем при аналогичной по степени, но вызванной препара­тами инсулина короткого действия.

Действие пролонгированных инсулинов развивается медленно, поэтому для купирования диабетической комы они непригодны. Наличие в ряде препаратов белка протамина объясняет довольно частое возникновение аллергических реакций.

Вводят препараты инсулина пролонгированного действия подкожно или внут­римышечно. Назначают такие препараты при средней и тяжелой формах сахар­ного диабета.

Препараты инсулина не лишены ряда недостатков. Так, инъекции инсулина болезненны. Даже при соблюдении правил асептики на месте введения препара­та могут возникать воспалительные реакции (инфильтраты и др.). Кроме того, следует учитывать, что чувствительность к инсулину варьирует в довольно широ­ких пределах. У одних больных отмечается очень низкая чувствительность к не­му, у других, наоборот, — чрезмерно высокая. Резистентность предположительно связана с уменьшением числа рецепторов, снижением их аффинитета и другими причинами. Выработка к инсулину антител может быть причиной снижения и утраты его эффективности. Препараты инсулина могут вызывать аллергические реакции Последние менее выражены у препаратов инсулина человека.

Большой интерес представляют гипогликемические средства, эффектив­ные при приеме внутрь. Получены они синтетическим путем и относятся к 2 группам химических соединений.







Date: 2015-07-01; view: 873; Нарушение авторских прав



mydocx.ru - 2015-2026 year. (0.565 sec.) Все материалы представленные на сайте исключительно с целью ознакомления читателями и не преследуют коммерческих целей или нарушение авторских прав - Пожаловаться на публикацию