Главная Случайная страница


Полезное:

Как сделать разговор полезным и приятным Как сделать объемную звезду своими руками Как сделать то, что делать не хочется? Как сделать погремушку Как сделать так чтобы женщины сами знакомились с вами Как сделать идею коммерческой Как сделать хорошую растяжку ног? Как сделать наш разум здоровым? Как сделать, чтобы люди обманывали меньше Вопрос 4. Как сделать так, чтобы вас уважали и ценили? Как сделать лучше себе и другим людям Как сделать свидание интересным?


Категории:

АрхитектураАстрономияБиологияГеографияГеологияИнформатикаИскусствоИсторияКулинарияКультураМаркетингМатематикаМедицинаМенеджментОхрана трудаПравоПроизводствоПсихологияРелигияСоциологияСпортТехникаФизикаФилософияХимияЭкологияЭкономикаЭлектроника






Определение коэффициентов уравнения регрессии





Некоторые свойства матрицы планирования:

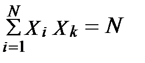
1. Сумма всех безразмерных значений параметров.

 

 

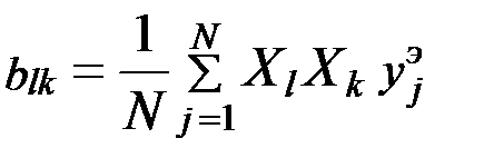
Эти свойства положены в основу расчета коэффициентов уравнения регрессии. При определении выражений для коэффициентов используется метод наименьших квадратов. К данному случаю метод наименьших квадратов запишется:

 

Для свободного члена:

 

 

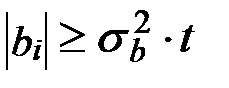
После определения значения коэффициентов в уравнении регрессии производится проверка значимости коэффициентов по условию: , где

– оценка дисперсии, с которой определяются коэффициенты.

 

, где

 

t – критерий Стьюдента.

Критерий Стьюдента находят из таблиц – по количеству степеней свободы и некоторой доверительной вероятности. Если коэффициент оказался незначимым, то его считают равным нулю, т.е. он исчезает из уравнения регрессии.

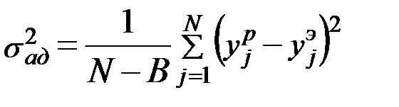
Далее проводится проверка адекватности модели (соответствие модели). Условие проверки: критерий Фишера – расчетный должен быть меньше или равен табличному.

 

(1)

 

Если нет проверки на воспроизводимость, то используют вместо формулы (1) используют формулу (2):

 

(2)

 

Дисперсия адекватности: ,

 

где B – число значимых коэффициентов в уравнении регрессии, включая свободный член. Если коэффициент оказался незначимым (равен 0), то данный фактор не является влияющим).







Date: 2015-07-17; view: 568; Нарушение авторских прав



mydocx.ru - 2015-2026 year. (1.345 sec.) Все материалы представленные на сайте исключительно с целью ознакомления читателями и не преследуют коммерческих целей или нарушение авторских прав - Пожаловаться на публикацию