Главная Случайная страница


Полезное:

Как сделать разговор полезным и приятным Как сделать объемную звезду своими руками Как сделать то, что делать не хочется? Как сделать погремушку Как сделать так чтобы женщины сами знакомились с вами Как сделать идею коммерческой Как сделать хорошую растяжку ног? Как сделать наш разум здоровым? Как сделать, чтобы люди обманывали меньше Вопрос 4. Как сделать так, чтобы вас уважали и ценили? Как сделать лучше себе и другим людям Как сделать свидание интересным?


Категории:

АрхитектураАстрономияБиологияГеографияГеологияИнформатикаИскусствоИсторияКулинарияКультураМаркетингМатематикаМедицинаМенеджментОхрана трудаПравоПроизводствоПсихологияРелигияСоциологияСпортТехникаФизикаФилософияХимияЭкологияЭкономикаЭлектроника






Ядерные реакторы





 

При рассмотрении процесса деления тяжелых ядер в гл. 10 было показано, что этот процесс сопровождается выделением большой энергии, порядка 200 МэВ в одном акте, что лежит в основе современной ядерной энергетики.

Чтобы выяснить причины привлекательности использования ядерной энергии, подсчитаем, какое количество 235U необходимо для получения за одни сутки 1 МВт тепловой энергии. Так как при одном акте выделяется около 3 • 10-11 Вт, то всего необходимо Nf = 8,6 • 104 • 106/3 • 10-11 ~ 3 • 1021 актов деления, что соответствует ANf/NA= 1,1 грамм (NA — число Авогадро).

Для сравнения укажем, что при сгорании 1,1 г высококачественного угля получается лишь 4 • 10~7 МВт, т. е. ядерное горючее примерно в миллион раз более эффективно. Конечно, нельзя не отметить более сложную техническую сторону использования ядерной энергии.

К началу 1995 г. во всем мире эксплуатировалось 432 энергетических реактора общей электрической мощностью 340347 МВт, а в 15 странах строилось еще 48 реакторов на мощность 38876 МВт. В отдельных странах обеспеченность электроэнергией за счет АЭС достигла очень больших масштабов. Так, в Бельгии на АЭС вырабатывалось 56 % всей электроэнергии, в Швеции — 51 %, во Франции — 75 %, на Тайване — около 44 %, в Южной Корее — 56 %, в Японии — более 30 %, в США — 22 %. По мощности всех АЭС первое место принадлежит США — 98784 МВт, на втором месте Франция — 58493 МВт. В России работает 30 реакторов общей мощностью 19483 МВт, что составляет 11,4 % суммарно производимой электроэнергии.

Обычно процесс деления ядер вызывается нейтронами, и при этом в свою очередь возникают новые нейтроны. Отсюда появляется возможность осуществления самоподдерживающегося процесса из следующих друг за другом актов деления:

нейтрон —> деление —> нейтрон —> деление —>..., и поскольку число нейтронов при каждом акте деления ν>l, то данный процесс может идти даже в нарастающем темпе, т. е. с вовлечением в реакцию все большего числа ядер. Такие самоподдерживающиеся процессы принято называть цепными реакциями.

Как отмечалось при обсуждении капельной модели ядра, энергия связи нейтронов больше в ядрах с четным числом нейтронов N, чем в ядрах с нечетным N (эффект спаривания). Поэтому когда нейтрон попадает в ядро с нечетным N и, следовательно, образуется ядро с четным N, то возбуждение ядра оказывается относительно большим, и ядро может разделиться.

Попадание же нейтрона в ядро с четным N приводит к образованию ядра с нечетным N, энергия возбуждения оказывается гораздо меньше (примерно на 1 МэВ), и ее может не хватить для деления. Именно так и обстоит дело с изотопами тяжелых элементов: такие ядра, как 235U и 239Рu, делятся под действием медленных нейтронов, а ядра 232Th, 234U, 236U, 238U, 240Pu — нет.

При попадании в ядро быстрого нейтрона к энергии связи добавляется его кинетическая энергия, энергия возбуждения оказывается больше, и поэтому под действием быстрых нейтронов (с энергией в несколько МэВ) могут делиться даже тяжелые ядра, содержащие четное число нейтронов.

Естественный уран в основном состоит из изотопа 238U, и лишь 0,7 % приходится на долю 235U — именно того изотопа, который легко делится нейтронами. Попадая в ядро 238U, нейтрон захватывается этим ядром и сам выбывает из игры. А так как в естественном уране почти все нейтроны попадают в ядра 238U, то случаи деления будут происходить крайне редко.

Таким образом, цепная реакция в естественном U невозможна.

Как отмечалось в § 4.10, при делении возникают быстрые нейтроны, с энергией порядка одного миллиона электронвольт. Если такие нейтроны замедлить, то их способность вызывать деление 235U возрастает («работает» закон Бете 1/v), тогда как вероятность захвата медленных нейтронов ядрами 238U остается относительно небольшой. Поэтому если поместить небольшие блоки урана в вещество, способное эффективно замедлять нейтроны, то цепная реакция может начаться и в естественном уране. Первый в мире

ядерный реактор, запущенный в США в 1942 г. под руководством Э. Ферми,

работал именно по этой схеме — обычный уран в графите.

В качестве замедлителя нейтронов обычно используют воду либо графит — вещества с малым атомным весом, поскольку чем легче ядро, с которым сталкивается нейтрон, тем эффективнее происходит замедление.

Действительно, рассмотрим процесс упругого лобового столкновения частицы массы m, летящей со скоростью v0, с неподвижной частицей массы М (при этом происходит максимальная передача энергии). Пусть скорость покоившейся частицы после соударения V, а налетающая частица движется в обратном направлении со скоростью v1. По законам сохранения энергии и импульса


 

mv0 = MV – mv1

mv02 = MV2 + mv12

 

Откуда следует

 

v0 + v1 = (M/m)V;

v02 - v12 = (M/m)V2,

 

или

 

v0 + v1 = (M/m)V; 2vl = (M/m - 1)V;

 

v0 - v1 = V; 2v0 = (1+ M/m)V.

 

Окончательно получаем, что

 

 

 

Отсюда сразу видно, что максимальная передача энергии нейтроном будет при его столкновении с протоном, т. е. наиболее эффективными являются водородсодержащие замедлители; в них, как показывают расчеты, для замедления нейтрона с начальной энергией 2 МэВ до тепловой скорости, соответствующей энергии 0,025 эВ, требуется всего 18 столкновений.

Хотя водород является наиболее эффективным замедлителем, однако протоны не только замедляют нейтроны, но и поглощают их, превращаясь в дейтроны. Таким образом водород не всегда пригоден в качестве замедляющей среды в ядерном реакторе. Хорошо замедляют и почти не поглощают нейтроны ядра дейтерия. Ядра кислорода также плохо поглощают нейтроны, и в этом смысле наличие их в воде не мешает процессу размножения.

Поэтому отличным замедлителем является тяжелая вода D2O, состоящая из двух атомов дейтерия и одного атома кислорода. Тяжелая вода в свободном виде не встречается, а входит в состав обычной воды и составляет 0,016 % всей воды мирового океана. Выделение тяжелой воды из обычной требует значительных энергетических затрат.

Хорошим замедлителем является очень чистый графит. Его легче очистить от примесей, поглощающих нейтроны, чем выделить тяжелую воду из обычной. Как указывалось выше, именно графит использовался в первом ядерном реакторе, построенном под руководством Э. Ферми.

Более эффективно использовать в реакторе не естественный уран, а обогащенный изотопом 235U, что и делается в современных реакторах, хотя технически это достаточно трудоемкая задача. При большом обогащении предъявляется меньше требований к количеству и качеству замедлителя, поэтому в данном случае как замедлитель может быть использована дистиллированная, хорошо очищенная от примесей вода.

Для поддержания цепной реакции не обязательно каждый нейтрон, получающийся при делении, должен вызывать вторичное деление. Необходимо лишь, чтобы в среднем при делении ядра производился по крайней мере один нейтрон, вызывающий деление следующего ядра. Среднее время между двумя последовательными актами деления называют временем жизни одного поколения нейтронов. Минимальное условие возникновения цепной реакции удобно выразить, введя в рассмотрение коэффициент размножения k или коэффициент воспроизводства системы, определяемый как отношение числа нейтронов какого-либо одного поколения к числу тепловых нейтронов в предшествующем поколении. Если в конкретной установке k = 1, то реактор работает в стационарном режиме, при k < 1 режим работы подкритический, при k > 1 — надкритический. Как мы увидим дальше, даже при небольшой надкритичности время размножения нейтронов столь мало, что практически выделяемая мощность растет мгновенно. Это может привести к сильному перегреву и даже плавлению реактора. Поэтому с первого взгляда кажется, что удержание реактора в стационарном режиме нереально.


Однако реально управление реактором становится возможным благодаря наличию при делении небольшого числа запаздывающих нейтронов (на время от десятых долей секунды до десятков секунд, среднее время запаздывания составляет примерно 12 с). Откуда же появляются запаздывающие нейтроны? В качестве примера рассмотрим радиоактивный бром, образующийся в одном из возможных вариантов деления. На рис. 11.7 показана схема его распада, в конце которой находятся стабильные изотопы 8738Sr и 8636Kr.

Интересна особенность этой цепочки: криптон может освобождаться от лишнего нейтрона либо за счет β~ -распада, либо (если он образовался в возбужденном состоянии) за счет прямого

 

 

Рис 11 7

 

испускания нейтрона. Такие нейтроны появляются через 56 с после деления (это время жизни Вr относительно β~-перехода в возбужденное состояние Кг*), хотя сам Кг*

испускает нейтроны практически мгновенно. Они и называются запаздывающими.

Рассмотрим роль запаздывающих нейтронов в кинетике цепной реакции.

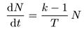
Если среднее время жизни одного поколения нейтронов равно Т, то за единицу времени число нейтронов N изменится в (к -1)/Т раз, т. е.

ИЛИ

 

N = N0exp(t/τ0), (11.43)

 

где N0 — начальное число нейтронов, а характерное время

τ0 = T/(k-1) (11.44)

называется периодом реактора.

Для мгновенных нейтронов время жизни одного поколения T0 ~ 10-5 с. Если предположить, что к -1 = 10~4, то число нейтронов возрастает в 100 раз за 0,46 с, а значит и энерговыделение возрастет за это время во столько же раз. Посмотрим, как изменит эти числа учет запаздывающих нейтронов, доля которых составляет β~ 5-10~3, (т. е. количество мгновенных нейтронов на одно деление составляет (l-β)ν, остальные βν являются запаздывающими).

После распада осколков запаздывающие нейтроны ведут себя точно так же, как и мгновенные, поэтому их эффективное время жизни Т3 складывается из времени запаздывания (времени β-распада) Тβ и времени жизни мгновенных нейтронов T0:

Т3 = Тβ + Т0. (11.45)

Среднее время жизни поколения всех нейтронов T равно среднеарифметическому от жизни (1- β)ν мгновенных и βν запаздывающих:

 

(11.46)

 

 

 

Рис. 11.8

 

Практически всегда βТ3 >> Т0, и поэтому сразу видно, что период реактора определяется средним временем запаздывания нейтронов. При том же значении к за время 0,46 с энерговыделение увеличится лишь на 0,1 %. Следовательно, наличие запаздывающих нейтронов решающим образом упрощает проблему регулирования скорости протекания цепной реакции.

Рассмотрим устройство наиболее распространенных реакторов на тепловых нейтронах


(рис. 11.8).

В центральной части расположена размножающая система 1, называемая активной зоной. Она собрана из замедлителя (вода или графит) с каналами, в часть из которых вставлены тепловыделяющие элементы (твэлы) из урана, урансодержащих веществ или других веществ с делящимися изотопами, а в другие — управляющие стержни, сделанные

из хороших поглотителей нейтронов (борсодержащих веществ, кадмия). Для уменьшения утечки нейтронов активная зона окружена бетонной защитой 2, отражателем 3. Он возвращает большинство вылетающих нейтронов обратно в активную зону и тем самым увеличивает число нейтронов, участвующих в цепной реакции.

Количество нейтронов, поглощаемых в управляющем стержне 4, зависит от глубины его погружения в реактор. Изменяя глубину погружения, можно оказывать влияние на ход цепной реакции в активной зоне. В реакторе всегда имеются специальные аварийные стержни, которые во время пуска и работы в рабочем режиме находятся вне реактора. Для прекращения цепного процесса в реактор сбрасываются все управляющие и аварийные

стержни. Отвод тепла от реактора осуществляется специальной системой охлаждения, обычно теплоносителем является вода. Для вывода нейтронов используется канал 5.

У действующего реактора коэффициент размножения всегда больше 1. Избыток (к -1) необходим для того, чтобы в процессе работы компенсировать выгорание ядерного топлива, в том числе и убыль делящихся изотопов за счет поглощения нейтронов, непроизводительный захват нейтронов в образовавшихся осколках деления, а также для вывода реактора на номинальную мощность.

Существуют и реакторы на быстрых нейтронах, в которых не производится замедление нейтронов. Поэтому в качестве охлаждающего вещества (теплоносителя) здесь используется жидкий натрий. Основное преимущество такого реактора состоит в том, что в нем может одновременно не только сжигаться, но и производиться ядерное топливо. Рассмотрим, например, активную зону реактора, у которого изотоп 239Рu является топливом, а кроме того в зоне имеется изотоп урана 238U. При делении 239Рu возникает в среднем 2,9 нейтронов. Один из этих быстрых нейтронов может вызвать деление другого ядра 239Ри, а один — захватиться ядром 238U и привести к реакции

 

n+ 238U -> 239U + γ.

Образующийся изотоп урана — 239U — нестабилен и путем β-распада превращается в нептуний, а тот в свою очередь, в плутоний:

 

. (11.47)

 

Таким образом, расход 238U сопровождается образованием нового ядерного горючего, причем для дальнейшего использования плутоний может быть отделен от урана чисто химическим способом, что немаловажно. Такие реакторы называются реакторами-размножителями или бридерами. Вырабатывая энергию, реактор-размножитель может производить даже больше ядерного горючего, чем потребляет. Оценки показывают, что количество ядерного топлива в бридерах может удваиваться за 7-10 лет. Реально в настоящее время только проводятся исследовательские работы в этом направлении.







Date: 2015-05-19; view: 726; Нарушение авторских прав



mydocx.ru - 2015-2026 year. (1.819 sec.) Все материалы представленные на сайте исключительно с целью ознакомления читателями и не преследуют коммерческих целей или нарушение авторских прав - Пожаловаться на публикацию