Главная Случайная страница


Полезное:

Как сделать разговор полезным и приятным Как сделать объемную звезду своими руками Как сделать то, что делать не хочется? Как сделать погремушку Как сделать так чтобы женщины сами знакомились с вами Как сделать идею коммерческой Как сделать хорошую растяжку ног? Как сделать наш разум здоровым? Как сделать, чтобы люди обманывали меньше Вопрос 4. Как сделать так, чтобы вас уважали и ценили? Как сделать лучше себе и другим людям Как сделать свидание интересным?


Категории:

АрхитектураАстрономияБиологияГеографияГеологияИнформатикаИскусствоИсторияКулинарияКультураМаркетингМатематикаМедицинаМенеджментОхрана трудаПравоПроизводствоПсихологияРелигияСоциологияСпортТехникаФизикаФилософияХимияЭкологияЭкономикаЭлектроника






Модель атома Бора





Для объяснения опытных фактов Бор предположил, что электрон в атоме движет-ся только по тем круговым орбитам, для которых его момент импульса

- правило квантования, где n = 1, 2, 3, … - квантовые числа.

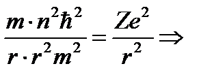
Пусть заряд водородоподобной системы (H, He+, Li++ и др.) равен Ze. Масса ядра велика (в сравнении с массой электрона) и его считаем неподвижным. При движении электрона по окружности радиуса r по второму закону Ньютона

· Здесь и далее отсутствие некоторых коэффициентов связано с тем, что изложение идет в системе СГС.

Из . Тогда - радиус n-ой стационарной орбиты.

· Для первой n = 1стационарной орбиты электрона в атоме водорода (Z=1) см. Из кинетическая энергия электрона . Полная энергия электрона в кулоновском поле ядра или для n-ой стационарной орбиты (r = rn): или .

· Для n = 1 и Z=1 Е1 = -13,53 эВ, при

· Чтобы удалить электрон из атома водорода надо сообщить ему энергию ионизации, равную энергии связи электрона с ядром:







Date: 2015-05-19; view: 499; Нарушение авторских прав



mydocx.ru - 2015-2026 year. (0.548 sec.) Все материалы представленные на сайте исключительно с целью ознакомления читателями и не преследуют коммерческих целей или нарушение авторских прав - Пожаловаться на публикацию