Главная Случайная страница


Полезное:

Как сделать разговор полезным и приятным Как сделать объемную звезду своими руками Как сделать то, что делать не хочется? Как сделать погремушку Как сделать так чтобы женщины сами знакомились с вами Как сделать идею коммерческой Как сделать хорошую растяжку ног? Как сделать наш разум здоровым? Как сделать, чтобы люди обманывали меньше Вопрос 4. Как сделать так, чтобы вас уважали и ценили? Как сделать лучше себе и другим людям Как сделать свидание интересным?


Категории:

АрхитектураАстрономияБиологияГеографияГеологияИнформатикаИскусствоИсторияКулинарияКультураМаркетингМатематикаМедицинаМенеджментОхрана трудаПравоПроизводствоПсихологияРелигияСоциологияСпортТехникаФизикаФилософияХимияЭкологияЭкономикаЭлектроника






Спектральные закономерности





Изучение спектров излучения невзаимодействующих друг с другом атомов показало, что:

1) эти спектры линейчатые (состоят из отдельных узких спектральных линий);

2) большое число спектральных линий указывает на сложную структуру атома;

3) линии расположены упорядоченно и образуют серии;

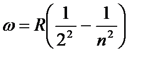
4) в 1885 г. Бальмер установил закономерность видимой серии спектра атома водорода:

, где n = 3, 4, 5, …; – циклическая частота определенной

(для каждого значения n) линии серии, R = 2,07· 1016с-1постоянная Ридберга;

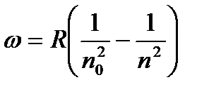
5) исследования привели к обнаружению других серий и к обобщению формулы Бальмера: , при этом:

n0 = 1 – серияЛаймана (ультрафиолетовая область)

n0 = 2 – серия Бальмера (видимая область)

n0 = 3 – серия Пашена (инфракрасная область)

n0 = 4 – серия Бреккета ()

n0 = 5 – серия Пфунда()

· При заданном значении n0 n принимает все целочисленные значения, начиная с n0+1.

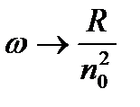
· При , называемое границей серии.

· При n0 = 1 и n = 2 для этой серии и . Эту спектральную линию называют резонансной линией водорода.







Date: 2015-05-19; view: 739; Нарушение авторских прав



mydocx.ru - 2015-2026 year. (2.084 sec.) Все материалы представленные на сайте исключительно с целью ознакомления читателями и не преследуют коммерческих целей или нарушение авторских прав - Пожаловаться на публикацию