Главная Случайная страница


Полезное:

Как сделать разговор полезным и приятным Как сделать объемную звезду своими руками Как сделать то, что делать не хочется? Как сделать погремушку Как сделать так чтобы женщины сами знакомились с вами Как сделать идею коммерческой Как сделать хорошую растяжку ног? Как сделать наш разум здоровым? Как сделать, чтобы люди обманывали меньше Вопрос 4. Как сделать так, чтобы вас уважали и ценили? Как сделать лучше себе и другим людям Как сделать свидание интересным?


Категории:

АрхитектураАстрономияБиологияГеографияГеологияИнформатикаИскусствоИсторияКулинарияКультураМаркетингМатематикаМедицинаМенеджментОхрана трудаПравоПроизводствоПсихологияРелигияСоциологияСпортТехникаФизикаФилософияХимияЭкологияЭкономикаЭлектроника






Эффект Комптона. В 1923 г Комптон открыл явление, подтверждающее, что фотон обладает энергией и импульсом





В 1923 г Комптон открыл явление, подтверждающее, что фотон обладает энергией и импульсом. Он облучал узким пучком рентгеновского излучения λ образцы, состоящие из лёгких атомов(графит, парафин, и т.д.) и обнаружил, что после рассеяния в спектре помимо излучения λ появляется излучение .Это явление получило название эффект Комптона.

Опыт показал, что смещение зависит только от угла между исход-ным лучом и направлением на спектрограф (не зависит от λ и материала образца 0), причём с увеличением амплитуда компоненты λ уменьшается, а растёт.

Комптон предположил, что рассеивание рентге-новского кванта с изменением длины волны надо рассматривать как результат столкновения его с электроном. Смещение не зависит от материала рассеивающего образца потому, что в образцах с легкими атомами энергия связи электрона с ядром пренебрежимо мала по сравнению с энергией фотона, т.е. фотон взаимодействует с практически свободным электроном.

1) Пусть свободный покоящийся электрон взаимодействует с фотоном, поглощая всю

его энергию. Тогда по законам сохранения энергии и импульса и ,

где m–масса электрона, υ-его скорость после взаимодействия. Тогда или

υ=2с, что невозможно. Значит, всю энергию фотона свободный электрон получить

не может и в результате взаимодействия появляется новый фотон и электрон

“отдачи”.

2) Пусть фотон с и взаимодействует с покоящимся свободным

электроном с энергией покоя и импульсом .
В результате взаимодействия получается новый фотон с , и и

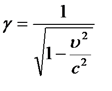
электрон с E=γ· и , где –скорость электрона,

 

 

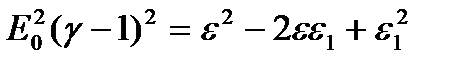
3) По закону сохранения энергии: или = .

Возведём в квадрат: (1)

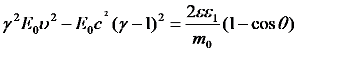
По закону сохранения импульса и теореме косинусов:
или, с учётом и , или (2).

Вычтем (1) из (2):
. Поделим на и с учётом

получим или

Откуда или и с учётом или, с учётом ,
. или
или
, где - комптоновская длина волны для частицы массы

· Для электрона см.







Date: 2015-05-19; view: 611; Нарушение авторских прав



mydocx.ru - 2015-2026 year. (0.318 sec.) Все материалы представленные на сайте исключительно с целью ознакомления читателями и не преследуют коммерческих целей или нарушение авторских прав - Пожаловаться на публикацию