Главная Случайная страница


Полезное:

Как сделать разговор полезным и приятным Как сделать объемную звезду своими руками Как сделать то, что делать не хочется? Как сделать погремушку Как сделать так чтобы женщины сами знакомились с вами Как сделать идею коммерческой Как сделать хорошую растяжку ног? Как сделать наш разум здоровым? Как сделать, чтобы люди обманывали меньше Вопрос 4. Как сделать так, чтобы вас уважали и ценили? Как сделать лучше себе и другим людям Как сделать свидание интересным?


Категории:

АрхитектураАстрономияБиологияГеографияГеологияИнформатикаИскусствоИсторияКулинарияКультураМаркетингМатематикаМедицинаМенеджментОхрана трудаПравоПроизводствоПсихологияРелигияСоциологияСпортТехникаФизикаФилософияХимияЭкологияЭкономикаЭлектроника






Расчет потенциала смежного провода, наведенного электрическим полем влияющего провода





В качестве влияющего провода возьмем одиночный контактный провод К. Заданы: потенциал контактного провода j к, радиусы проводов, расстояния между проводами, расчетная схема, представленная на рис. 5.5.

Рис. 5.5. Расчетная схема для одного контактного провода

Требуется найти потенциал смежного провода jс. Потенциалы jк, jс и линейные заряды проводов tк и tс будут связанны в соответствии с разд. 5.2 данного пособия следующим образом

j к = t к a кк +t сa кс, (5.8)

j с = t к a ск + t сa сс,

где aкк и aск = aкс будут определяться по формулам (5.7) и (5.6) соответственно. Уравнения (5.8) называются уравнениями Максвелла.

Как правило, заряд смежной линии очень мал (линия связи или другие низковольтные провода) или совсем отсутствует (провод отключен от источника питания и изолирован), поэтому принимаем tс = 0; тогда из первого уравнения системы (5.8) получаем tк = jк /aкк, а из второго уравнения

, (5.9)

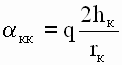
, , (5.10)

где rк – радиус контактного провода.

Подставив значения aкс и aкк в формулу (5.9), получим

(5.11)

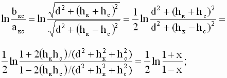
Далее, по данным рис. 5.5 вычисляем

(5.12)

значение x очевидно из формулы (5.12), в нашем случае x<1. Логарифмическую функцию можно разложить в ряд

(5.13)

Так как x <1, то в формуле (5.13) с достаточной степенью точности можно ограничиться первым членом, то есть

(5.14)

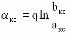
Обозначив , c учетом формулы (5.14) выражение (5.11) приведем к виду

. (5.15)

Пример. Напряжение контактной сети Uк = 25000 В, j к = Uк; hк = 6, 25 м; hc = 6 м; провод МФ-100, rк =0,056 м. По формуле (69) при d=15 м Uc = j c = 812 В.

Рис. 5.6. Расчетная схема для однопутного участка







Date: 2015-05-18; view: 1057; Нарушение авторских прав



mydocx.ru - 2015-2026 year. (0.917 sec.) Все материалы представленные на сайте исключительно с целью ознакомления читателями и не преследуют коммерческих целей или нарушение авторских прав - Пожаловаться на публикацию