Главная Случайная страница


Полезное:

Как сделать разговор полезным и приятным Как сделать объемную звезду своими руками Как сделать то, что делать не хочется? Как сделать погремушку Как сделать так чтобы женщины сами знакомились с вами Как сделать идею коммерческой Как сделать хорошую растяжку ног? Как сделать наш разум здоровым? Как сделать, чтобы люди обманывали меньше Вопрос 4. Как сделать так, чтобы вас уважали и ценили? Как сделать лучше себе и другим людям Как сделать свидание интересным?


Категории:

АрхитектураАстрономияБиологияГеографияГеологияИнформатикаИскусствоИсторияКулинарияКультураМаркетингМатематикаМедицинаМенеджментОхрана трудаПравоПроизводствоПсихологияРелигияСоциологияСпортТехникаФизикаФилософияХимияЭкологияЭкономикаЭлектроника






Расчет потенциалов точек электрического поля, создаваемого трехфазной линией переменного тока





Потенциал произвольной точки 4 (рис. 5.8) будет равен сумме потенциалов, создаваемых каждым проводом и его зеркальным изображением. Примем высоту подвески всех проводов одинаковой и равной H, радиус проводов – r. Потенциал в указанной точке от провода 1 можно найти по формуле (5.4) аналогично от провода 2 от провода 3 Составляющая потенциала в точке 4 от собственного заряда отсутствует, так как заряд точки 4 t4 = 0.

Следовательно

, (5.23)

где t1, t2, t3 – заряды проводов, зависящие от их потенциалов относительно земли.

Рис. 5.8. Схема для расчета потенциала в точке 4

Рис. 5.9. Векторная диаграмма фазовых напряжений

Поместим точку 4 на поверхность провода 1. С учетом условий, изображенных на рис. 5.4 и 5.8, получим

(5.24)

Поместим точку 4 на поверхность провода 2, после чего по аналогии с формулой (5.24), т.е. имея в виду, что и так далее, найдем

(5.25)

Поместив точку 4 на поверхность провода 3, запишем

(5.26)

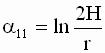
Обозначив , , имея ввиду, что a кm = a , сведем в одну систему уравнения (5.23), (5.24), (5.25), (5.26)

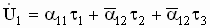
j 1 = a 11 t 1 +a 12 t 2 +a 13 t 3;

j 2 = a 12 t 1 +a 22 t 2 +a 23 t 3; (5.27)

j 3 = a 13 t 1 +a 23 t 2 +a 33 t 3;

j 4 = a 14 t 1 +a 24 t 2 +a 34 t 3 .

Неизвестны величины t1, t2, t3, j4, их значения можно рассчитать решением системы (5.27). Для упрощения решения задачи примем, что провода влияющей линии 1, 2, 3 располагаются так, что расстояния между ними одинаковы или почти одинаковы, поэтому вместо a12, a23, a13 примем их среднее значение, то есть [1]

. (5.28)

Так как высота подвески проводов принимается одинаковой, то
a11 = a22 = a33. Потенциал проводов j – это напряжение этих проводов относительно земли, значит , , , здесь – фазовое напряжение каждого провода. С учетом вышеизложенного перепишем систему (5.27)

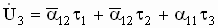
;

; (5.29)

;

.

Коэффициенты a в последнем уравнении системы не могут быть одинаковыми, так как точка 4 может находиться в любом месте.

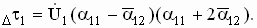
Для определения U4 необходимо решить систему первых трех уравнений из системы (5.29)

;

; (5.30)

и получить величины t1, t2, t3, затем значения этих величин подставить в четвертое уравнение системы (5.29). Систему уравнений (5.30) решим методом Крамера [8]. Согласно этому методу

t 1 = , t 2 = , t 3 = , (5.31)

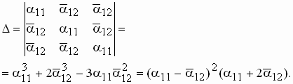
в формулах (5.31) – определитель системы (5.30), который равен

(5.32)

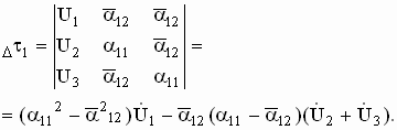
Чтобы найти определитель t 1, надо в определителе, представленном в (5.32), заменить первый столбец коэффициентов значениями , , , т.е.

(5.33)

Для упрощения решения задачи примем, что фазовые напряжения симметричны, т.е. ; поэтому

(5.34)

Для нахождения определителя необходимо второй столбец коэффициентов в определителе (5.32) заменить величинами после чего докажем, что

, (5.35)

аналогично

Подставляя значения t1, t2, t3 из формул (5.31) в последнее уравнение системы (5.29), получим с учетом формул (5.32), (5.33), (5.34), (5.35)

Окончательно определим

(5.36)

Рассмотрим применение полученной формулы для конкретной схемы расположения проводов трехфазной ЛЭП. В дальнейшем нас будут интересовать проблемы экологического влияния линий высокого и сверхвысокого напряжения на окружающую среду, поэтому в качестве расчетной схемы примем такую, в которой провода располагаются, как в подобного рода ЛЭП, то есть в одной горизонтальной плоскости (рис. 5.8).

Расположим систему координат так, чтобы отсчет начинался на поверхности земли под проводом 2. Расстояние между фазами – Д; высота подвески проводов – H; x, y – текущие координаты произвольной точки 4. Систему фазовых симметричных напряжений расположим на комплексной плоскости, как показано на рис. 5.9.

; ;

Согласно расчетной схеме на рис. 5.8,


Величину q опускаем, так как она входит во все коэффициенты a формулы (5.36) и сокращается. Аналогично получаем

С учетом вышеизложенного, формула (5.36) получит вид

(5.37)

где ; определяется по формуле (5.28), а ее составляющие

, . (5.38)

Формула (5.37) позволяет найти потенциал изолированного провода, находящегося в заданной точке с координатами x, y.







Date: 2015-05-18; view: 997; Нарушение авторских прав



mydocx.ru - 2015-2026 year. (1.231 sec.) Все материалы представленные на сайте исключительно с целью ознакомления читателями и не преследуют коммерческих целей или нарушение авторских прав - Пожаловаться на публикацию