Главная Случайная страница


Полезное:

Как сделать разговор полезным и приятным Как сделать объемную звезду своими руками Как сделать то, что делать не хочется? Как сделать погремушку Как сделать так чтобы женщины сами знакомились с вами Как сделать идею коммерческой Как сделать хорошую растяжку ног? Как сделать наш разум здоровым? Как сделать, чтобы люди обманывали меньше Вопрос 4. Как сделать так, чтобы вас уважали и ценили? Как сделать лучше себе и другим людям Как сделать свидание интересным?


Категории:

АрхитектураАстрономияБиологияГеографияГеологияИнформатикаИскусствоИсторияКулинарияКультураМаркетингМатематикаМедицинаМенеджментОхрана трудаПравоПроизводствоПсихологияРелигияСоциологияСпортТехникаФизикаФилософияХимияЭкологияЭкономикаЭлектроника






Выбор и расчёт концентрационных столов





Необходимость предварительной подготовки материала является общепризнанной и подтверждается промышленной практикой обогатительных фабрик, обрабатывающих руды по гравитационным схемам. При обработке классифицированного материала представляется возможным подобрать оптимальные условия работы концентрационного стола – наклон деки, число качаний, величину хода, количество сливной воды и др., что в конечном счёте повышает эффективность процесса и производительность стола. Обработка на столах не обесшламленного материала нецелесообразна, так как шламы удаляются в хвосты, а обогащение крупнозернистого материала ухудшается.

Изм.
Лист
№ докум.
Подпись
Дата
Лист
 
КП-130405.65-061209625  
С песковых столов получают три продукта: концентрат, промпродукт и хвосты. Промпродукт подвергают раздельной обработке или доизмельчают и отправляют в начало операции.

Концентрационные столы имеют малую удельную производительность и поэтому требуют больших площадей пола для установки. Их выпускают в одно- и многоярусном исполнении. Последние требуют меньшей площади пола и потребляют меньше энергии на единицу производительности по сравнению с одноярусными столами.

Основное преимущество концентрационных столов – высокое извлечение тяжелых минералов при большой степени концентрации. Также столы являются довольно простыми в эксплуатации и ремонте аппаратами. Процесс концентрации на столах хорошо наблюдается и легко регулируется. Поэтому очевидно преимущество концентрационных столов перед отсадочными машинами, винтовыми сепараторами и шлюзами.

Определяем средний размер зерен питания, поступающий на каждый стол.

мм

мм

мм

мм

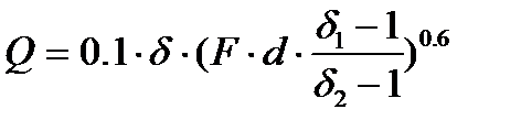
Рассчитаем производительность и количество необходимых столов в каждую операцию.

где F – площадь дек стола, м2

- плотность руды, полезного ископаемого и пустой породы соответственно, т/м3

 

Изм.
Лист
№ докум.
Подпись
Дата
Лист
 
КП-130405.65-061209625  
Таблица 6.4 – Концентрационные столы и их параметры

Параметры СКО-45 СКО-37 СКО-30 СКО-22 СКО-15
Площадь, м2 одной деки общая Число дек Габариты, мм: длина ширина высота Масса, т   7,5   6,35   7,5   5,78   7,5   5,7   7,5 22,5   2,93   7,5   2,26

III операция (пески 6)

Qп=19,95 т/ч

Концентрационный стол СКО-22:

n=Qп/Qст=19,95/4,81=4,15→5 шт.

Концентрационный стол СКО-30:

n = Qп/Qст = 19,95/5,72 = 3,48→4 шт.

Концентрационный стол СКО-45:

n = Qп/Qст = 19,95/7,3 = 2,73→3 шт.

Принимаем 3 стола СКО-45.

Изм.
Лист
№ докум.
Подпись
Дата
Лист
 
КП-130405.65-061209625  
IV операция (пески 7)

Qп = 13,3 т/ч

Концентрационный стол СКО-15:

n=Qп/Qст=13,3/2,49=5,34→6 шт.

Концентрационный стол СКО-22:

n=Qп/Qст=13,3/3,17=4,2→5 шт.

Концентрационный стол СКО – 45:

n=Qп/Qст=13,3/4,81=2,76→3 шт.

Принимаем к установке СКО-45, в количестве 3 шт.

V операция (пески 8)

Qп= 16,62 т/ч

Концентрационный стол СКО-15:

n=Qп/Qст=16,62/1,58=10,52→11 шт.

Концентрационный стол СКО-22:

n=Qп/Qст=16,62/1,98=8,4→9 шт.

Концентрационный стол СКО-30:

Изм.
Лист
№ докум.
Подпись
Дата
Лист
 
КП-130405.65-061209625  
n=Qп/Qст=16,62/2,39=6,95→7 шт.

Концентрационный стол СКО-45:

n=Qп/Qст=16,62/3,05=5,4→6 шт

Принимаем к установке СКО-45, в количестве 6 шт.

VI операция (пески 9)

Qп = 11,97 т/ч

Для СКО-15

n=Qп/Qст=11,97/0,91=13,15→4 шт

Для СКО-30

n=Qп/Qст=11,97/1,38=8,67→9 шт.

Для СКО-45

n=Qп/Qст=11,97/1,76=6,8→7 шт.

Принимаем к установке СКО-30, в количестве 9 шт.

При обработке промпродуктов производительность столов снижается на 20-40 %.

VII операция

Qп= 18,49 т/ч

Для СКО-45

n=Qп/Qст=18,49/5,84=3,2→4шт.

Изм.
Лист
№ докум.
Подпись
Дата
Лист
 
КП-130405.65-061209625  
Принимаем к установке СКО-45, в количестве 4 шт.

VIII операция

Qп= 11,87 т/ч

Концентрационный стол СКО – 45:

n=Qп/Qст=11,87/3,37=3,52→4 шт.


Принимаем к установке СКО-45, в количестве 4 шт.

IX операция

Qп= 15,1 т/ч

Концентрационный стол СКО-45:

n=Qп/Qст=15,1/2,14=7,1→8 шт

Принимаем к установке СКО-45, в количестве 8 шт.

X операция

Qп= 10,4 т/ч

Для СКО-45

n=Qп/Qст=10,4/1,23=8,45→9 шт.

Принимаем к установке СКО-45, в количестве 9 шт.

 

 

Изм.
Лист
№ докум.
Подпись
Дата
Лист
 
КП-130405.65-061209625  

 

 


Изм.
Лист
№ докум.
Подпись
Дата
Лист
 
КП-130405.65-061209625  
Список литературы

 

1. Полькин С. И., Лаптев С. Ф “Обогащение оловянных руд и россыпей”, М: Недра, 1974 г.

2. Полькин С. И., Адамов Э.В «Обогащение руд цветных металлов»,М: Недра,1983г.

3. Богданов О.С. Справочник по обогащению руд. 1-3 том, - М: Недра, 1974г

4. Методические указания к курсовой работе «Дробление, грохочение, измельчение». Верхотуров М.В. Кр-ск: ГАЦМиЗ - 1989г, 39 с.

5. Разумов К.А. Проектирование обогатительных фабрик, - М: Недра, 1970г,592 с.

6. Справочник по проектированию руд обогатительных фабрик, кн.1, под ред. Тихонова О.Н., М: Недра, 1988г.

7. Разумов К. А., Перов В. А. Проектирование обогатительных фабрик, - М: Недра, 1982 г.

8. Гравитационные методы обогащения, методические указания по расчету шкалыгидравлической классификации, 1997 г.

 

 







Date: 2015-05-18; view: 3747; Нарушение авторских прав



mydocx.ru - 2015-2026 year. (1.478 sec.) Все материалы представленные на сайте исключительно с целью ознакомления читателями и не преследуют коммерческих целей или нарушение авторских прав - Пожаловаться на публикацию