Главная Случайная страница


Полезное:

Как сделать разговор полезным и приятным Как сделать объемную звезду своими руками Как сделать то, что делать не хочется? Как сделать погремушку Как сделать так чтобы женщины сами знакомились с вами Как сделать идею коммерческой Как сделать хорошую растяжку ног? Как сделать наш разум здоровым? Как сделать, чтобы люди обманывали меньше Вопрос 4. Как сделать так, чтобы вас уважали и ценили? Как сделать лучше себе и другим людям Как сделать свидание интересным?


Категории:

АрхитектураАстрономияБиологияГеографияГеологияИнформатикаИскусствоИсторияКулинарияКультураМаркетингМатематикаМедицинаМенеджментОхрана трудаПравоПроизводствоПсихологияРелигияСоциологияСпортТехникаФизикаФилософияХимияЭкологияЭкономикаЭлектроника






Выбор и расчет оборудования для измельчения





В проекте осуществлено измельчение мелкозернистой руды крупностью 8 мм до крупности измельченного продукта 2 мм, поэтому применили одну стадию измельчения в стержневой мельнице, работающей в открытом цикле. Эти мельницы наиболее подходят для руды проектируемой крупности питания и широко используемых на обогатительных фабриках. Они позволяют уменьшить ошламование.

 

Измельчение

 

Рисунок 6.1 – Одностадиальная схема измельчения

 

Для измельчения материала выбрали мельницу типа МСЦ, для расчета производительности которой использовали методику расчета по эффективности измельчения.

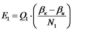
Эффективность измельчения определяем по формуле:

Е =Е1× Ки × Кк,

где Е1 – эффективность измельчения действующих мельниц по вновь образованному классу, т/(кВт×ч);

Ки, Кк – коэффициенты измельчаемости и крупности;

Ки = Кк =1 – т. к. тот же тип руды и та же крупность.

,

где Q1 – производительность действующей мельницы;

Q1 =30 т/ч (МСЦ 2100´ 3000), [3].

N1 – потребляемая мощность действующей мельницы;

N1 =200кВт [5];

bк и bи – содержание расчетного класса в конечном и исходном продукте;

Изм.
Лист
№ докум.
Подпись
Дата
Лист
 
КП-130405.65-061209625  
Исходные данные: ; приняли согласно таблице IV.34 [3]

т/кВт×ч

Е =0,0162×1×1=0,0162 т/кВт×ч

Производительность мельниц определяем по формуле:

,

где N –мощность, кВт

Nу – Установочная мощность, кВт;

h - отношение потребляемой мощности к установочной (h=0,85-0,9)

Приняли в рассмотрение несколько типоразмеров мельниц [5]:

Таблица 6.1– Каталог мельниц отечественного производства

  Модель Внутренние размеры барабана без футеровки   Мощность двигателя, кВт Масса, т
диаметр длина Рабочий объем, м3 Шаровой загрузки, т мельница без двигателя и шаров
МСЦ-2100х3000     8,5      
МСЦ-2700х3600     17,5      
МСЦ-3200х4500            
МСЦ-3600х4500            
МСЦ-3600х5500            

 

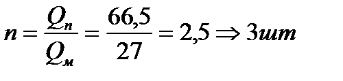
МСЦ 2100х3000

т/ч

;

 

Изм.
Лист
№ докум.
Подпись
Дата
Лист
 
КП-130405.65-061209625  
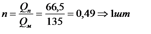
МСЦ 2700х3600

т/ч

;

МСЦ 3200х4500

т/ч

;

МСЦ 3600х4500

т/ч

;

МСЦ 3600х5500

т/ч

;

Для выбора наиболее оптимального варианта мельницы технико-экономические показатели свели в таблицу 6.2.

 

Таблица 6.2 – Технико-экономические показатели сравниваемых мельниц

Размеры барабана МСЦ, мм Коли-чество, шт. Масса мельницы без двигателя и шаров, т Установочная мощность, кВт Коэффициент загрузки
одной всех одной всех
2100х3000 2700х3600 3200х4500 3600х4500 3600х5500           0,83 0,62 0,55 0,49 0,49

Изм.
Лист
№ докум.
Подпись
Дата
Лист
 
КП-130405.65-061209625  
Окончательный выбор мельниц производим по минимуму общей массы и установленной мощности. Во внимание также принимаем общее количество мельниц.

По результатам таблицы 6.2 выбираем вариант установки мельницы типа МСЦ 2100x3000, так как данный тип мельниц имеет минимальную установочную мощность и оптимальный коэффициент загрузки.

 







Date: 2015-05-18; view: 1117; Нарушение авторских прав



mydocx.ru - 2015-2026 year. (0.833 sec.) Все материалы представленные на сайте исключительно с целью ознакомления читателями и не преследуют коммерческих целей или нарушение авторских прав - Пожаловаться на публикацию