Главная
Случайная страница
Полезное:
Как сделать разговор полезным и приятным
Как сделать объемную звезду своими руками
Как сделать то, что делать не хочется?
Как сделать погремушку
Как сделать так чтобы женщины сами знакомились с вами
Как сделать идею коммерческой
Как сделать хорошую растяжку ног?
Как сделать наш разум здоровым?
Как сделать, чтобы люди обманывали меньше
Вопрос 4. Как сделать так, чтобы вас уважали и ценили?
Как сделать лучше себе и другим людям
Как сделать свидание интересным?
Категории:
АрхитектураАстрономияБиологияГеографияГеологияИнформатикаИскусствоИсторияКулинарияКультураМаркетингМатематикаМедицинаМенеджментОхрана трудаПравоПроизводствоПсихологияРелигияСоциологияСпортТехникаФизикаФилософияХимияЭкологияЭкономикаЭлектроника
|
Расчет качественно-количественной схемы дробления. 2 page

Предварительный выбор грохотов из каталога производим по допускаемой крупности исходного материала, числу ярусов сит и размеру отверстий сит. Так как у нас насыпная плотность руды 1,6 т/м3, то выбираем грохот среднего типа для материала с насыпным весом до 1,8 т/м3. Результаты сводим в таблицу (таблица 3.7).
Окончательный выбор грохотов производим из условий компоновки оборудования, установочной мощности и массы грохотов.
Таблица 3.7 – Результаты выбора грохотов
| Модель
| Площадь одного сита, м2
| Мощность электродвигателя кВт
| Масса грохота кг
| Размеры просеивающей поверхности,
мм:
| Размеры отверстий сит (решеток),
мм
| Допускаемая крупность исходного материала
мм
| Количество грохотов
| Установленная мощностькВт
| Масса, т
| Коэффициент загрузки
| | ширина
| длина
| расчет
| принято
| | Стадия мелкого дробления
| | ГИС 42
| 5,625
|
|
|
|
| 5–20
|
| 0,96
|
|
|
| 0,92
| | ГИС 52
| 7,875
|
|
|
|
| 5–20
|
| 0,68
|
|
|
| 0,68
| | ГИС 62
|
|
|
|
|
| -
|
| 0,54
|
|
|
| 0,54
| | Окончательный выбор
| | Стадия мелкого дробления
| | ГИС 42
| 5,625
|
|
|
|
| 5–20
|
| 0,82
|
|
|
| 0,92
| | | | | | | | | | | | | | | | |
4. Расчет шкалы гидравлической классификации
Расчет производим по методике, предложенной профессором Лященко[8]:
1. Находим первый параметр Лященко
,
где d1 – максимальная крупность легкого минерального зерна (принята крупность максимального зерна после доизмельчения 2 мм), см;
d1 = 2,65 г/см3– плотность легкого минерала;
D= 1 г/см3- плотность среды (воды);
m = 0,01 - коэффициент вязкости среды;
y - коэффициент сопротивления зерна в неорганической среде;
Re – параметр Рейнольдса;
g = 981 см/с2– ускорение свободного падения.

Примем в проекте, что частица после доизмельчения округлой формы.
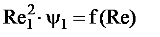
2. По диаграмме зависимости между параметром Лященко и параметром Рейнольдса [8] определим Re1:
Re1=350
3. Для параметра Re1 по диаграмме y=f(Re) [8] определим значение y1:
y1=0,33
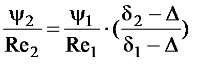
4. Определим второй параметр Лященко для диаметров равнопадаемых зерен:
.

5. По диаграмме определим значение параметра Рейнольдса Re2, а по диаграмме y=f(Re) соответствующее ему значение y2.
Re2=132
y2=0,45
6. Определим коэффициент равнопадаемости e1:


7. Рассчитаем крупность равнопадаемого зерна тяжелого минерала d2 по известному коэффициенту равнопадаемости e1:

мм
8. Определим по формуле:


9. По диаграмме определим значение параметра Рейнольдса Re3, а по диаграмме y=f(Re) соответствующее ему значение y3.
Re3=64
y3=0,6
10. Определим коэффициент равнопадаемости e2


11. Рассчитаем крупность равнопадаемого зерна тяжелого минерала d3 по известному коэффициенту равнопадаемости e2:

мм
12. Определим по формуле:


13. По диаграмме определим значение параметра Рейнольдса Re4, а по диаграмме y=f(Re) соответствующее ему значение y4.
Re4=28
y4=0,71
14. Определим коэффициент равнопадаемости e3:


15. Рассчитаем крупность равнопадаемого зерна тяжелого минерала d4 по известному коэффициенту равнопадаемости e3:

мм
16. Определим по формуле:


17. По диаграмме определим значение параметра Рейнольдса Re5, а по диаграмме y=f(Re) соответствующее ему значение y5.
Re5=17
y5=1,2
18. Определим коэффициент равнопадаемости e4:


19. Рассчитаем крупность равнопадаемого зерна тяжелого минерала d5 по известному коэффициенту равнопадаемости e4:

мм
20. Определим классы крупности, мм:
I класс -2+0,758
II класс -0,758+0,281
III класс -0,281+0,094
IV класс -0,094+0,044
V класс -0,044+0
Принимаем классы, мм:
I класс -2+1
II класс -1+0,5
III класс -0,5+0,2
IV класс -0,2+0,074
V класс -0,074+0
21. Скорости падения тяжелых и легких частиц определяем по формуле:

Скорость падения легких минералов:
см/с
см/с
см/с
см/с
см/с
5. Расчет принципиальной схемы
Расчет развернутой схемы начинаем с расчета принципиальной схемы, представленной на рисунке 5.1.
Рисунок 5.1 Принципиальная схема
Определяем необходимое и достаточное для расчета схемы число исходных показателей по формуле:
N = с ∙ (1 + nр - ар) - 1,
где с – число расчетных компонентов (для монометаллической руды с=2),
nр = 19 – число продуктов разделения в схеме,
ар = 7 - число операций разделения в схеме.
N = 2 ∙ (1 + 19 - 7) – 1 = 25
Определяем необходимое и достаточное число исходных показателей, относящихся к продуктам обработки по формуле:
Nп = с ∙ (nр - ар),
Nп = 2 ∙ (19 - 7) = 24.
Определяем максимальное число показателей извлечения по формуле:
Nизв.max = nр - ар,
Nизв.max = 19 – 7 = 12
Рассчитываем принципиальную схему, принимая необходимые для расчёта показатели.
α1=0,4% - по заданию;
β2=5%; ε2=25%; β3=0,32%; ε3=66,16%; β5=0,38%; ε5=6,64%; β6=15%; ε6=24,2%; β8=4%; ε8=26%; β9=0,29%; ε9=32,49%; β11=0,16%; ε11=3,07%; β13=0,06%; ε13=4,8%; β16=8%; ε16=40,5%; β17=0,19%; ε17=1,5%; β22=8%; ε22=7%; β24=0,1%; ε24=20% - по данным работы действующей фабрики.
Расчёт принципиальной схемы осуществляем по следующим формулам:

, ,
где εi – извлечение ценного компонента в i продукт,
βi – содержание ценного компонента в i продукт,
γi – выход i-го продукта,
α1 – содержание ценного компонента в исходной руде.
Проверка осуществляется по балансу металлов:

Таблица 5.1 – Баланс металла
| № продукта
| Продукт
| Выход γ, %
| Содержание b, %
| γ∙b
| Извлечение ε, %
| |
| Концентрат
зернистый
|
0,65
|
15,0
|
9,68
|
24,2
| |
| Концентрат
| 2,03
|
| 16,2
| 40,5
| |
| Концентрат
шламовый
|
0,35
|
8,0
|
2,8
|
7,0
| |
| Сульфиды
| 16,97
| 0,2
| 3,32
| 8,3
| |
| Хвосты
|
| 0,1
|
| 20,0
| |
| Исходная руда
| 100,0
| 0,4
|
| 100,0
|
| α1 = 0,4 %
ε1 = 100%
γ1=100 %
| Основной цикл.











| β3 = 0,32 %
ε3 = 66,16%
γ3= 82,69 %
| Промпродуктовый цикл.


















| β9 = 0,29 %
ε9 = 32,49%
γ9= 44,83 %
|
Хвостовой цикл:











| β2 = 5 %
ε2 = 25%
γ2= 2 %
|







Date: 2015-05-18; view: 1126; Нарушение авторских прав | Понравилась страница? Лайкни для друзей: |
|
|