Главная Случайная страница


Полезное:

Как сделать разговор полезным и приятным Как сделать объемную звезду своими руками Как сделать то, что делать не хочется? Как сделать погремушку Как сделать так чтобы женщины сами знакомились с вами Как сделать идею коммерческой Как сделать хорошую растяжку ног? Как сделать наш разум здоровым? Как сделать, чтобы люди обманывали меньше Вопрос 4. Как сделать так, чтобы вас уважали и ценили? Как сделать лучше себе и другим людям Как сделать свидание интересным?


Категории:

АрхитектураАстрономияБиологияГеографияГеологияИнформатикаИскусствоИсторияКулинарияКультураМаркетингМатематикаМедицинаМенеджментОхрана трудаПравоПроизводствоПсихологияРелигияСоциологияСпортТехникаФизикаФилософияХимияЭкологияЭкономикаЭлектроника






Интерференция света в тонких пленках и пластинах





Пусть на плоскопараллельную пластину с

показателем преломления и толщиной под

углом падает плоская монохроматическая

волна. Лучи 1 и 2 будут когерентны.

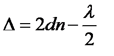
Найдём разность хода ,

где обусловлен потерей полуволны при

отражении света от границы раздела.

Если , то потеря будет в т.О и

Если , то потеря будет в т.С и

Из найдем

найдем из

Из закона преломления

У нас

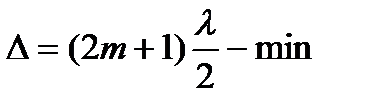
В точке сложения будет максимум, если:

И минимум, если:

.

Разность хода зависит от . Если все величины, кроме одной, считать , то возникают частные случаи.

1. Полосы равного наклона.

(интерференция от плоскопараллельной пластины)

 

 


от

от

2. Полосы равной толщины.

(интерференция от пластинки переменной толщины)


 

 

На оптическая разность хода будет удовлетворять условию максимума – свет. На условию минимума – темнота.

3. Цвета тонких пленок.

Среди длин волн может оказаться такая, что

- удовлетворит условию максимума, т.е. усилится только эта длина волны, и пленка окрасится в этот цвет.

Кольца Ньютона, являются классическим примером полос равной

толщины. Наблюдаются при отражении

света от воздушного зазора, образованного

плоскопараллельной пластиной и

соприкасающейся с ней плосковыпуклой

линзой с большим радиусом кривизны.

 

Параллельный пучок света падает нормально на плоскую поверхность линзы и частично отражается от верхней и нижней поверхности воздушного зазора между линзой и пластиной.

При наложении отраженных лучей возникают полосы равной толщины, имеющие вид окружностей.

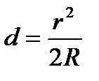
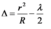
, т.к. (воздух)

, где - радиус кривизны линзы.

- радиус окружности, всем точкам которой соответствует одинаковый зазор .

, т.к. мало

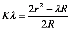
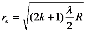
Если (условие максимума)

, где

Если (условие минимума)

, где

 

 







Date: 2015-05-18; view: 689; Нарушение авторских прав



mydocx.ru - 2015-2026 year. (2.058 sec.) Все материалы представленные на сайте исключительно с целью ознакомления читателями и не преследуют коммерческих целей или нарушение авторских прав - Пожаловаться на публикацию