Главная Случайная страница


Полезное:

Как сделать разговор полезным и приятным Как сделать объемную звезду своими руками Как сделать то, что делать не хочется? Как сделать погремушку Как сделать так чтобы женщины сами знакомились с вами Как сделать идею коммерческой Как сделать хорошую растяжку ног? Как сделать наш разум здоровым? Как сделать, чтобы люди обманывали меньше Вопрос 4. Как сделать так, чтобы вас уважали и ценили? Как сделать лучше себе и другим людям Как сделать свидание интересным?


Категории:

АрхитектураАстрономияБиологияГеографияГеологияИнформатикаИскусствоИсторияКулинарияКультураМаркетингМатематикаМедицинаМенеджментОхрана трудаПравоПроизводствоПсихологияРелигияСоциологияСпортТехникаФизикаФилософияХимияЭкологияЭкономикаЭлектроника






Интерференция света. Определение: Интерференция любых волн (механических, световых) заключается в том, что при взаимном наложении двух волн одинаковой длины в некоторой точке





 

Определение: Интерференция любых волн (механических, световых) заключается в том, что при взаимном наложении двух волн одинаковой длины в некоторой точке могут наблюдаться усиление или ослабление колебаний.

Определение: Геометрическая разность хода – разность путей, пройденных волнами.

 

Оптическая разность хода – это , где - показатель преломления среды, в которой распространяются волны.

Пусть есть две монохроматические световые волны

.

Под понимают или .

При сложении этих волн в т.М получается результирующая волна, амплитуда которой в данной точке равна:

Необходимым условием интерференции волн является их когерентность, т.е. согласованное протекание во времени и пространстве нескольких волновых процессов. Этому условию удовлетворяют монохроматические волны – волны определенной и строго постоянной частоты. Ни один реальный источник не дает монохроматического света следовательно, волны, излучаемые независимыми источниками некогерентны. Поэтому на опыте не наблюдается интерференция света от независимых источников, например от двух электрических лампочек.

Это объясняется исходя из механизма испускания света атомами вещества:

в двух независимых источниках света атомы излучают независимо друг от друга. Процесс излучения атомом света конечен и длится . Спустя это время возбужденный атом возвращается в нормальное состояние и излучение им света прекращается. Возбудившись вновь атом снова начинает испускать световые волны, но уже с новой начальной фазой. Т.к. разность фаз между излучением двух таких независимых атомов, изменяется при каждом новом акте испускания, то волны, спонтанно излучаемые атомами любого источника света, некогерентны.

Излучение атомом света происходит волновыми цугами.

Средняя продолжительность одного цуга называется временем когерентности.

За время волна распространяется в вакууме на расстояние называемое длиной когерентности.


 

Когерентность существует только в пределах одного цуга.

Условия временной когерентности, т.е. когерентность определяемая степенью монохроматичности волн.

Наряду с временной когерентностью вводится понятие пространственной когерентности.

Определение: Два источника, размеры и взаимное расположение которых позволяют (при необходимой степени монохроматичности света) наблюдать интерференцию называются пространственно-когерентными.

Определение: Радиусом когерентности (или длиной пространственной когерентности) называется максимальное расстояние, на котором возможно появление интерференции.

, где - угловой размер источника.

- амплитуда результирующей волны.

- интенсивность результирующей волны.

Т.к. волны когерентны, то .

В точках пространства, где

где

При наложении двух (или нескольких) когерентных световых волн происходит пространственное перераспределение светового потока, в результате в одних точках получаются максимумы интенсивности, в других – минимумы.

Условие максимума: , где целое число

Условие минимума: , где

Для некогерентных волн разность фаз непрерывно изменяется, поэтому среднее во времени значение и во всех точках пространства одинакова.

 

Методы наблюдения интерференции.

 

До появления лазеров для наблюдения интерференции света когерентные световые пучки получали разделением и последующим сведением лучей, исходящих из одного и того же источника. Практически это можно осуществить с помощью экранов, щелей и зеркал.

1. Метод Юнга.


 

 

2. Зеркала Френеля


угол мал.

 

3. Бипризма Френеля.

Состоит из двух одинаковых сложенных основаниями призм с малыми преломляющими углами.

 

 

 


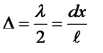
Расчет интерференционной картины от двух источников.

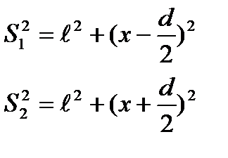
Будем использовать две узкие параллельные щели, расположенные близко друг к другу. Щели и находятся на расстоянии друг от друга и являются когерентными источниками света. Интерференция наблюдаются в произвольной точке А экрана, расположенным на расстоянии от щелей, причём .

 

 

 

 

Найдём разность хода

-

Если , то в точке наблюдения будет минимум. Если , то в точке наблюдения – максимум.

 







Date: 2015-05-18; view: 768; Нарушение авторских прав



mydocx.ru - 2015-2026 year. (1.169 sec.) Все материалы представленные на сайте исключительно с целью ознакомления читателями и не преследуют коммерческих целей или нарушение авторских прав - Пожаловаться на публикацию