Главная Случайная страница


Полезное:

Как сделать разговор полезным и приятным Как сделать объемную звезду своими руками Как сделать то, что делать не хочется? Как сделать погремушку Как сделать так чтобы женщины сами знакомились с вами Как сделать идею коммерческой Как сделать хорошую растяжку ног? Как сделать наш разум здоровым? Как сделать, чтобы люди обманывали меньше Вопрос 4. Как сделать так, чтобы вас уважали и ценили? Как сделать лучше себе и другим людям Как сделать свидание интересным?


Категории:

АрхитектураАстрономияБиологияГеографияГеологияИнформатикаИскусствоИсторияКулинарияКультураМаркетингМатематикаМедицинаМенеджментОхрана трудаПравоПроизводствоПсихологияРелигияСоциологияСпортТехникаФизикаФилософияХимияЭкологияЭкономикаЭлектроника






Двойное лучепреломление





 

Все кристаллы обладают способностью двойного лучепреломления, т.е. раздваивание каждого падающего на них светового пучка.

 
- исландский шпат.

Если на этот кристалл направить

узкий пучок света, то из кристалла

выйдут два пространственно

разделенных луча параллельных друг

другу и падающему лучу. Даже если

луч падает нормально, то будут 2 луча,

причем один является продолжением

падающего, а второй – отклоняется.

Первый луч называется

обыкновенным, а второй

необыкновенным.

 

В кристалле имеется единственное направление, вдоль которого двойное лучепреломление не наблюдается. Это направление называется оптической осью кристалла.

Опыт показывает, что вышедшие из кристалла лучи плоскополяризованы во взаимно перпендикулярных плоскостях.

Неодинаковое преломление и лучей указывает на различие для них показателей преломления. Обыкновенный луч распространяется по всем направлениям с одинаковой скоростью и .

Необыкновенный луч по разным направлениям распространяется с разными скоростями , зависящий от направления луча.

Таким образом, луч подчиняется закону

преломления, а луч – нет.

В т. - точечный источник света. Волновой

поверхностью луча является сфера .

луча – эллипсоид вращения ()

 

Явление двойного лучепреломления используют для получения поляризованного света. Наиболее часто для этого применяются призмы и поляроиды.

Призма Николя.

 

 

Представляет собой двойную призму из исландского шпата, склеенная канадским бальзамом с .

Естественный луч раздваивается на и лучи. Обыкновенный луч испытывает полное отражение, а затем поглощается зачерненной поверхностью.

Существуют двоякопреломляющие призмы, в которых используют различие в показателях преломления и лучей, чтобы развести их возможно дальше друг от друга. Примером может служить призма из исландского шпата и стекла.

 

 


луч преломляется в шпате и стекле и следовательно сильнее отклоняется.

луч при подборе стекла проходит призму почти без отклонения.

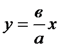
1) если поставить такую пластинку, что , тогда и уравнение примет вид:

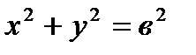
- эллипс, ориентированный относительно главных осей кристалла.

по . луч с ; амплитуда колебаний

по . луч с ; амплитуда луча.

- амплитуда колебаний, падающих на

пластинку.

Если , , получаем уравнение

- уравнение окружности, т.е.

получаем свет поляризованный по кругу.

2) пусть толщина пластинки такая, что , тогда или - уравнение прямой. Плоскополяризованный свет на выходе, будет в другой плоскости с падающим.

3) пусть толщина пластинки такая, что , или - выйдет плоскополяризованный свет в той же плоскости, что и падающий.

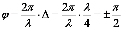
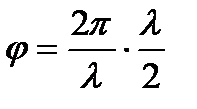
Пластинка, для которой , где называется пластинкой в четверть волны (знак «+» - отрицательные кристаллы, знак «-«- положительные). Пластинка, для которой называется пластинкой в полволны и т.д.

 







Date: 2015-05-18; view: 670; Нарушение авторских прав



mydocx.ru - 2015-2026 year. (1.022 sec.) Все материалы представленные на сайте исключительно с целью ознакомления читателями и не преследуют коммерческих целей или нарушение авторских прав - Пожаловаться на публикацию