Главная Случайная страница


Полезное:

Как сделать разговор полезным и приятным Как сделать объемную звезду своими руками Как сделать то, что делать не хочется? Как сделать погремушку Как сделать так чтобы женщины сами знакомились с вами Как сделать идею коммерческой Как сделать хорошую растяжку ног? Как сделать наш разум здоровым? Как сделать, чтобы люди обманывали меньше Вопрос 4. Как сделать так, чтобы вас уважали и ценили? Как сделать лучше себе и другим людям Как сделать свидание интересным?


Категории:

АрхитектураАстрономияБиологияГеографияГеологияИнформатикаИскусствоИсторияКулинарияКультураМаркетингМатематикаМедицинаМенеджментОхрана трудаПравоПроизводствоПсихологияРелигияСоциологияСпортТехникаФизикаФилософияХимияЭкологияЭкономикаЭлектроника






Искусственное двойное лучепреломление





Двойным лучепреломлением обладают оптически анизотропные кристаллы (анизотропия – зависимость свойств от направления)

Любое твердое изотропное тело можно сделать анизотропным, т.е. способным к двойному лучепреломлению.

Оптически изотропные вещества становятся оптически анизотропными под действием:

2) одностороннего сжатия или растяжения (кристаллы кубической системы, стекла и др)

3) электрического поля (эффект Керра, жидкости, аморфные тела, газы)

4) магнитные поля (жидкости, стекла)

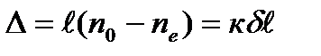
1.

фотоэластический эффект

 

 

Если поставить так, чтобы свет не проходил и сжать образец, то свет начнет проходить.

, - механическое напряжение; - коэффициент пропорции.

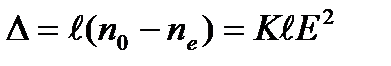
2.

 


Кювета с жидкостью, в которую введены пластины конденсатора, помещается между и . При отсутствии электромагнитного поля света нет. При положении электромагнитного поля жидкость становится двоякопреломляющей; при изменении разности потенциалов между электродами меняется степень анизотропии вещества, следовательно, интенсивность света, прошедшего через .

Это явление безынерционно, т.е. время перехода вещества из изотропного состояния в анизотропное при включении поля (и обратно) составляет . Ячейка Керра применяется в быстропротекающих процессах (звукозапись, воспроизводство звука, скоростная фото – и киносъёмка).

 







Date: 2015-05-18; view: 568; Нарушение авторских прав



mydocx.ru - 2015-2026 year. (0.316 sec.) Все материалы представленные на сайте исключительно с целью ознакомления читателями и не преследуют коммерческих целей или нарушение авторских прав - Пожаловаться на публикацию