Главная Случайная страница


Полезное:

Как сделать разговор полезным и приятным Как сделать объемную звезду своими руками Как сделать то, что делать не хочется? Как сделать погремушку Как сделать так чтобы женщины сами знакомились с вами Как сделать идею коммерческой Как сделать хорошую растяжку ног? Как сделать наш разум здоровым? Как сделать, чтобы люди обманывали меньше Вопрос 4. Как сделать так, чтобы вас уважали и ценили? Как сделать лучше себе и другим людям Как сделать свидание интересным?


Категории:

АрхитектураАстрономияБиологияГеографияГеологияИнформатикаИскусствоИсторияКулинарияКультураМаркетингМатематикаМедицинаМенеджментОхрана трудаПравоПроизводствоПсихологияРелигияСоциологияСпортТехникаФизикаФилософияХимияЭкологияЭкономикаЭлектроника






Развитие представлений о природе света





Оптика.

Литература: Ландсберг

Королёв

Корсунский

Гершензон

Годжаев «Оптика»

 

 

Развитие представлений о природе света.

 

Оптика – раздел физики, посвященный изучению природы света: как возникает, как распространяется, как взаимодействует с веществом.

Ещё до установления природы света были известны основные законы оптики:

1) закон прямолинейного распространения света:

свет в оптически однородной среде распространяется прямолинейно;

2) принцип суперпозиции или закон независимого действия световых пучков: эффект, производимый отдельным пучком, не зависит от того, действуют ли одновременно остальные пучки или они устранены;

3) закон отражения:

отраженный луч лежит в одной плоскости с падающим лучом и перпендикуляром, проведенным к границе раздела двух сред в точке падения;

 


4) закон преломления:

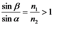
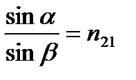
луч падающий, луч преломленный и перпендикуляр, проведенный к границе раздела в точке падения, лежат в одной плоскости; отношение синуса угла падения к синусу угла преломления есть величина постоянная для данных сред:

 

 


, где - относительный показатель преломления второй среды относительно первой.

Относительный показатель преломления двух сред равен отношению их абсолютных показателей преломления:

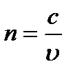
Определение: Абсолютным показателем преломления среды называется величина , равная отношению скорости электромагнитных волн в вакууме к их скорости в среде.

Если свет распространяется из среды с большим показателем преломления (оптически более плотной) в среду с меньшим показателем преломления (оптически менее плотную) , например, из стекла в воду, то , т.е. угол преломления больше угла падения .

Увеличивая , увеличивается и при

некотором угле угол преломления

окажется равным . Угол - называется

предельным углом.

 

Если угол падения сделать больше предельного

угла , то свет полностью отразится. Это

явление называется полным отражением.

Это явление используется в призмах полного отражения , поэтому предельный угол для границы стекло-воздух . Если свет падает под углом имеет место полное отражение.

 

 


поворачивай на поворачивай изображение оборачивает лучи

 

В конце XVII века на основе многовекового опыта и развития представлений о свете возникли две теории света:

1. Корпускулярная.

Согласно этой теории свет представляет собой поток частиц (корпускул) испускаемых светящимися телами и движущихся по прямолинейным траекториям. Эту теорию предложил Ньютон. Движение световых корпускул Ньютон подчинил сформулированным им законам механики. .

2. Волновая.

Эту теорию предложил Гюйгенс, согласно которой свет представляет собой волну, распространяющуюся в особой среде – эфире. Эфир – это некая субстанция, которая заполняет все пространство, пронизывает все тела. .

Волновая теория основывается на принципе Гюйгенса: каждая точка, до которой доходит волна, служит центром вторичных волн, а огибающая этих волн дает положение волнового фронта в следующий момент времени.

 

 


Обе теории объясняли прямолинейное распространение света, законы отражения и преломления.

Экспериментальное доказательство справедливости волновой теории было получено в 1851году, когда Фуко, Физо, Ремер измерили скорость распространения света . Получилось, что .

К началу XIX века корпускулярная теория была полностью отвергнута, особенно после того, как Юнг исследовал явления дифракции и интерференции и Френель объяснил эти явления. Но у этой теории был ряд недостатков. Например, она пользовалась понятием эфира.

В конце XIX века, накопленные экспериментальные данные позволили Максвеллу создать электромагнитную теорию света.

 

 

В начале ХХ века продолжали считать, что свет это электромагнитная волна в эфире. Однако опыты по обнаружению эфира ничего не дали. Дальнейшее развитие физики привело к тому, что ряд явлений волновая теория объяснить не могла (тепловое излучение).

В 1900 году М.Планк выдвинул гипотезу, согласно которой излучение и поглощение света происходит не непрерывно, а дискретно, т.е. определенными порциями (квантами), энергия которых определяется частотой .


Эйнштейн в 1905 году создал квантовую теорию света, согласно которой не только излучение света, но и его распространение происходит в виде потока световых квантов – фотонов.

Однако явления интерференции и дифракции это волновые явления.

Таким образом, был сделан вывод, что природа света двойственна, т.е. свет обладает и свойствами волн и свойствами частиц.

 

 







Date: 2015-05-18; view: 560; Нарушение авторских прав



mydocx.ru - 2015-2026 year. (2.381 sec.) Все материалы представленные на сайте исключительно с целью ознакомления читателями и не преследуют коммерческих целей или нарушение авторских прав - Пожаловаться на публикацию