Главная Случайная страница


Полезное:

Как сделать разговор полезным и приятным Как сделать объемную звезду своими руками Как сделать то, что делать не хочется? Как сделать погремушку Как сделать так чтобы женщины сами знакомились с вами Как сделать идею коммерческой Как сделать хорошую растяжку ног? Как сделать наш разум здоровым? Как сделать, чтобы люди обманывали меньше Вопрос 4. Как сделать так, чтобы вас уважали и ценили? Как сделать лучше себе и другим людям Как сделать свидание интересным?


Категории:

АрхитектураАстрономияБиологияГеографияГеологияИнформатикаИскусствоИсторияКулинарияКультураМаркетингМатематикаМедицинаМенеджментОхрана трудаПравоПроизводствоПсихологияРелигияСоциологияСпортТехникаФизикаФилософияХимияЭкологияЭкономикаЭлектроника






Первый закон термодинамики для потока вещества





Пусть идеальный, нетеплопроводящий газ (m = 0, l = 0, m – коэффициент динамической вязкости, l – коэффициент теплопроводности) движется в однородном поле тяжести. В каждом сечении S трубки тока (см. рис. 1) выполняется локальное термодинамическое равновесие. Имеем следующий закон сохранения вещества при стационарном течении (уравнение расхода)

Рис. 1. (отсутствует)

j = S r W = SW / v = const.

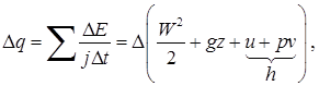
За малое время D t через любое сечение проходит M = j D t количество вещества. Далее находим изменение различных видов энергии в трубке (разность между выходящим и входящим потоком энергии на торцах трубки тока)

D E пот = g (z 2z 1) j D t,

D E внут = (u 2u 1) j D t,

–D E внеш = D W внеш = F 1D l 1F 2D l 2 = (p 1 S 1)(W 1D t) – (p 2 S 2)(W 2D t) = –(p 2 v 2p 1 v 1) j D t.

Величина D W внеш – работа внешних сил давления над газом за промежуток времени D t, заставляющих его двигаться. В идеальной жидкости (газе) через боковую поверхность трубки обмена механической энергии нет. Из баланса энергии для вещества между сечениями S 1 и S 2 находим выражение для подведенной теплоты D q ´ j D t после сокращения на величину j D t:

где учтено равенство h = u + pv. В дифференциальной форме имеем

d q = W d W + g d z + d h. (1)

Соотношение (1) показывает, почему в энергетическом балансе даже при медленных течениях (пренебрежении слагаемым W d W) и отсутствии перепада высоты d z = 0 используется энтальпия (d q = d h), а не внутренняя энергия, как это реализуется при отсутствии потоков (например, в периодических процессах).

Отметим, что при движении работа сил давления не равна p d v. Давление меняется от точки к точке и это существенно. При наличии потока вещества процесс не будет квазистатическим (обратимым) так как равновесие нарушено. Отметим также, что при выводе уравнения (1) не учтены возможные работы технических устройств и сил трения (идеальная жидкость). В ТТ уравнение (1) дополняют соответствующими слагаемыми: d l техн – технической работой и работой сил трения d l трен и используют следующее уравнение

d q = W d W + g d z + d u + d(pv) + d l техн + d l трен.

 

14. Первый закон термодинамики для адиабатного потока вещества при отсутствии технической работы. Уравнение Бернулли.

 

Первый закон термодинамики (частные случаи) для потока вещества при отсутствии технической работы.

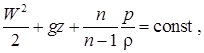
1). Принимаем, что d l техн = 0 – нет механизмов и d l трен = 0 – нет диссипации энергии (обратимый процесс). В частном случае идеального газа для политропного процесса уравнение (1) запишем после интегрирования, используя равенства h = CpT, qn = CnT:

(2)

Отметим, что размерная постоянная в (2) определяется выбранной трубкой (линией) тока. Для разных линий тока значения постоянных в соотношении (2) могут, вообще говоря, меняться. Кроме того, const в первую очередь обозначает, что постоянная не зависит от координаты вдоль трубки тока, но она может зависеть от ряда физических параметров, определяющих процесс.

После преобразований, учитывая соотношение n = (CpCn)/(CvCn), получим

уравнение Бернулли для данного варианта. В случае адиабатического процесса n = k. Также просто описывается изобарический процесс n = 0. Случай несжимаемой жидкости r = const соответствует изохорному процессу n ® ¥. Из уравнения (2) находим

С этим вариантом уравнения Бернулли вы знакомы по курсу ПАХТ.

2). Для потока не совершающего технической работы d l техн = 0, при z = const, т. е. d z = 0; и адиабатичности течения d q = dqвнеш + d q трен = 0, имеем

W d W + d h = 0 Þ Þ (3)

 

15. Истечение из суживающего канала: критические давление и скорость, максимальный расход вещества.

 







Date: 2015-05-09; view: 989; Нарушение авторских прав



mydocx.ru - 2015-2026 year. (1.613 sec.) Все материалы представленные на сайте исключительно с целью ознакомления читателями и не преследуют коммерческих целей или нарушение авторских прав - Пожаловаться на публикацию