Главная Случайная страница


Полезное:

Как сделать разговор полезным и приятным Как сделать объемную звезду своими руками Как сделать то, что делать не хочется? Как сделать погремушку Как сделать так чтобы женщины сами знакомились с вами Как сделать идею коммерческой Как сделать хорошую растяжку ног? Как сделать наш разум здоровым? Как сделать, чтобы люди обманывали меньше Вопрос 4. Как сделать так, чтобы вас уважали и ценили? Как сделать лучше себе и другим людям Как сделать свидание интересным?


Категории:

АрхитектураАстрономияБиологияГеографияГеологияИнформатикаИскусствоИсторияКулинарияКультураМаркетингМатематикаМедицинаМенеджментОхрана трудаПравоПроизводствоПсихологияРелигияСоциологияСпортТехникаФизикаФилософияХимияЭкологияЭкономикаЭлектроника






Трубопроводы с компенсаторами





Основным отличием таких схем прокладки от балочных трубопроводов без компенсации удлинений является возможность продольных перемещений труб на опорах. Рассмотрим работу участка трубопровода, включающего П-образный компенсатор, располагаемый в горизонтальной или вертикалыюй плоскости. Как видно из рис. 14.3, а, компенсатор дает возможность трубо-проводу перемещаться в продольном направлении между неподвижными опорами НО. На опорах НО труба шарнирно закреплена и перемещаться не может. Аналогично участку Ь работают и соседние участки, на которых также установлены компенсаторы. Между подвижными опорами /, 2, 3 и 4, 5, 6 трубопровод работает как многопролетная балка.

Компенсаторы Г-образного типа устанавливают обычно на балочных переходах трубопроводов через небольшие препятствия. На рис. 14.3,6 показан такой случай. Пролеты / и 1\ работают как неразрезные балки; на опорах трубопровод может свободно (если не учитывать силы трения) перемещаться в на-правлении компенсатора, имеющего высоту Ік.

Компенсатор 2-образного типа можно устраивать при прокладке трубопровода, как показано на рис. 14.3,0 (вид сверху). Пролеты / — неразрезные балки; НО — неподвижная опора, а /— 6 подвижные опоры, 2-

образные компенсаторы, деформируясь, как показано на рисунке


Рис. 14.3. Схемы балочного трубопровода с П-образным (а), Г-образным (б) и 2-образным (в) компснсаторами

пунктиром, позволяют трубо-проводу перемещаться в горизонтальном направлении.

При большой длине перехода возможны также различные комбинации компенсаторов. Рассмотрим основные этапы расчета балочных трубопроводов с компенсаторами. Компенсатор должен собирать удлинения участка ^, которые складываются из удлинений температурных и(, от внутреннего давления ир, а также от продольных сил, вызываемых иными, кроме I и р, причинами, например продольными перемещениями подземных участков, примыкающих к надземному трубопроводу и0. Таким образом, полное удлинение или, принимая во внимание окц по (14.9), получаем

 

 

Величина где а< •—коэффициент линейного расширения; Д/ = /— І0; і- расчетная температура; /0 — температура замыкания монтажных стыков. Величину ир найдем, учитывая, что кольцевые на-пряжения стіщ от давления р приведут к сокращению длины Ь на величину ц<ткц^/Е, а давление р на концы участка Ь вызовет удлинение І на 0,5пкцЬ/Е.

Учитывая это и имея в виду, что ц = 0,3, получаем


где Е — модуль упругости; 6— толщина стенки трубы.

 


Имея формулы (14.12) — (14.15), можно перейти к расчету самих

Рис. 14.4. Одноколенный компенсатор Рис. 14.5. П-образный компенса-
(Г-образный) тор

 


компенсаторов. На рис. 14.4 изображен одноколенный где [оком] — напряжение изгиба в компенсаторе. Объединяя компенсатор (Г-образный), загруженный силой Р от прямого участка трубопровода Ь. Из курса сопротивления материалов известно, что для данной схемы


Если не учитывать упругую податливость заделки, то изгибающий момент в заделке компенсатора в грунт

где /к — высота компенсатора


Учитывая, что компенсатор должен работать в упругом режиме, наибольший изгибающий момент можно определить как

(14.16), (14.17) и (14.18), получаем допустимое для компенсатора предельное перемещение


Приравиивая (14.12) и (14.19), определим либо Ь при заданных /, №, [аКом] и /к, либо при известных і, /, №, [<тком] из уравнения

В случае П-образного компенсатора (рис. 14.5) необходимо учесть гибкость всех его участков (прямых и кривых). В соответствии с рассматривающимися в курсе сопротивления мате-риалов методами перемещения кондов компенсатора

 


где &ж — коэффициент уменьшения жесткости криволинейного участка (табл. 14.1).

Производя интегрирование для всех участков компенсатора, определим и и приравняем его к (14.12). Из полученного уравнения находим либо Ь, либо размеры компенсатора. Участки труб / между опорами рассчитываются, как обычные неразрезные балки.

Балочный зигзагообразный в плане трубопровод

Компенсация удлинений осуществляется за счет изменения в плане начального положения / трубопровода (рис. 14.6). Если участок Ь удлинится, то труба займет положение //, если укоротится — положение ///. При этом она будет перемещаться по подвижным оиорам /—7 и поворачиваться на шарнирных опо-рах НО, которые не дают трубе продвигаться в продольном направлении. Изменение длины участка Ь от М и р определя-ется по формуле


где знак «+» принимается при Д/>0 и «—» при А^<0.


Изменение стрелки прогиба находим также из рассмотренйя геометрической схемы (см. рис. 14.8)

Из геометрических зависимостей находим начальные параметры


где и и Ь определяются по (14.20) и (14.21), а знак (+) при-нимается при Л/>0 и (—) при А/<0. В вершинах компенса-ционного угла (опора 4) изгибающие моменты определяют по правилам строительной механики.


Рис. 14.6. Схема зигзагообразного трубопровода

Так, при А?>0 и р>0 изги-бающий момент

где акц=р^вн/2б; / — момент инерции сечения трубы. Так как в трубе должны возникать только упругие деформации, то должно выполняться условие Мр> «^[аком]^7, где [оКОм] — контролируемое напряжение, принимаемое равным 0,9ат.

Упругоискривленный трубопровод

Компенсация искривлений достигается за счет изменения начального положения трубопровода, уложенного в виде синусоиды на опорах. Шарнирные опоры (рис. 14.7) не дают трубам перемещаться как в продольном, так и в поперечном направлениях. На скользящих опорах труба перемещается в поперечном направлении, чем и достигается эффект компенсации. Расчетная схема упругоискривленного трубопровода изображена на рис. 14.7. После укладки секций на опоры трубопровод искривляется в горизонтальной плоскости по синусоиде (положение /), и при температуре монтажа І0 производится замыка ние стыков. Изменение длины трубопровода вследствие повы-шения или снижения его температуры по сравнению с монтаж-ной вызовет изменение стрелки прогиба /0- Наибольшую стрелку горизонтального прогиба /тах рассчитывают таким образом, чтобы обеспечивалась возможность компенсации температурных деформаций для максимального расчетного перепада температуры, а /тіп определяют с расчетом, чтобы при наибольшем укорачивании трубопровод сохранял искривленность, т. е. имел некоторый запас компенсационной способности.

Во время монтажа трубопровод укладывают по синусоиде у=[о&\п(лх/Ь). Начальное искривление трубопровода, необходимое для компенсации возможного укорачивания трубопровода при снижении его температуры Д^І = <о — ^тІп+АЛпш, где ^тт—минимально возможная расчетная температура; А^тщ — температурный перепад, определяющий запас компенсационной способности.


Учитывая, что ДІІ = а{ІД/І и одновременно АІІ = я2/2/(4І), найдем стрелку прогиба в момент замыкания стыков трубопровода:

где а.І — коэффициент линейного расширения.

Аналогично находим стрелку прогиба /тіп при температурном перепаде А^піп (положение //):

 

 

При повышении температуры трубопровода до ітй*>іо стрелка прогиба увеличивается до /тах (положение ///), что гюзволяет компенсировать температурное удлинение Д/,2 = = СХ|/.А^2, ГДѲ А^2 = ^тах — ІО, ^тах — МЭКСИМаЛЬНО ВОЗМОЖНЗЯ

расчетная температура.Имея Д/-2 = я2/[4/-(/2тах —/2о)], найдем величину /таі:

 

где А^ = А^І+А/2 — максимальный расчетный температурный перепад.

Начальная и наибольшая стрелки прогиба будут определять ширину скользящих опор.

Для обеспечения безаварийной эксплуатации трубопровода напряжения в материале труб не должны вызывать их пла-стичных деформаций. При повышении температуры искривление трубопровода происходит в результате возникновения в нем продольной сжимающей силы Р, которая может быть найдена следующим образом.


При небольших углах р сила Р незначительно отличается от эйлеровой силы. Поэтому продольную силу можно считать постоянной и равной Р = п2ЕІ/^. Расстояние между шарнирными опорами /_, найдем из условия нрочности. Максимальные напряжения от изгиба и сжатия материала трубы посередине полуволны синусоиды определяют как

 

 

 


Рис. 14.8. Расчетная схема упругоискривленного трубопро-вода



Подставив в (14.24) значения Р и М, с учетом /тах по формуле (14.23) получим

Расстояние между скользящими опорами / рассчитывают Ію несущей сіюсобности материала труб, принимая соответствующую схему загружения пролета. Определив Ь и /, выбираем число скользящих опор так, чтобы расстояние между смежными шарнирными опорами было кратным расстоянию между скользящими опорами, но не меньше определенного по формуле (14.2). Рассмотрим далее расчет упругоискривленного трубопровода с учетом трения на опорах и внутреннего давления. Пусть участок трубопровода между двумя смежными шар нирными опорами сжат силами Р (рис. 14.8).

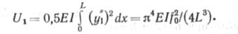
Потенциальная энергия упругого изгиба в положении /

С увеличением температуры потенциальная энергия упругой деформации возрастает и при значении стрелки прогиба /тах (положение //) становится

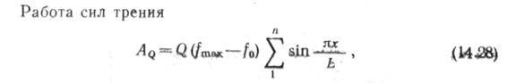
а работа внешних сил


Приращение потенцальной энергии упругого изгиба при перемещении трубопровода из положения / в положение // будет


где А — фиктивное сближение шарнирных опор.



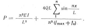
Для практических расчетов интерес представляет сила

 


(/тах — /о)2зіпя*//- — сумма горизонтальных перемещений при изменении положения трубопровода из / в положение //. Учитывая (14.26) — (14.28), найдем значение продольной сжимающей силы

где п — число скользящих опор между двумя смежными шарнирными опорами; (? — суммарная сила трения, (2 = <7/лр, здесь <7 — расчетный вес 1 м длины трубопровода; ф — коэффициент скольжения на опорах.

Максимальные растягивающие или сжимающие напряжения возникнут по серединам образовавшихся полуволн синусоиды и будут равны при отсутствии внутреннего давления


где М — изгибающий момент, равный Р/тах— Ф/-/4 при л=1 и

Р /таі — П<ЗЬ/6 ПрИ П = 2 И Л = 3.

Из анализа формулы (14.29) видно, что минимальная стрелка упругого изгиба (положение ///) должна быть выбрана из ус-ловия при п=\ /тш^<3^/(4Р); при п = 2 и л = 3 /тш^ ^пС}і/(6Р), так как в этом случае трубопровод сможет перемещаться на скользящих опорах.

Тогда формула (14.23) с учетом /тщ примет вид

где аі — коэффициент линейного расширения; Д/_ расчетный температурный перепад.

Рассмотрим далее влияние внутреннего давления р на напряженное состояние упругоискривленного трубопровода. При надземной прокладке внутреннее давление обусловливает деформацию трубопровода не только в радиальном направлении, но и в продольном. Выполнив необходимые вычисления, найдем увелнчение стрелки прогиба Д/Р от действия внутреннего давления по сравнению с /'та*:


и соответственно максимальную стрелку: /тах-°Гтах+Д/р.







Date: 2015-06-07; view: 1717; Нарушение авторских прав



mydocx.ru - 2015-2026 year. (0.415 sec.) Все материалы представленные на сайте исключительно с целью ознакомления читателями и не преследуют коммерческих целей или нарушение авторских прав - Пожаловаться на публикацию