Главная Случайная страница


Полезное:

Как сделать разговор полезным и приятным Как сделать объемную звезду своими руками Как сделать то, что делать не хочется? Как сделать погремушку Как сделать так чтобы женщины сами знакомились с вами Как сделать идею коммерческой Как сделать хорошую растяжку ног? Как сделать наш разум здоровым? Как сделать, чтобы люди обманывали меньше Вопрос 4. Как сделать так, чтобы вас уважали и ценили? Как сделать лучше себе и другим людям Как сделать свидание интересным?


Категории:

АрхитектураАстрономияБиологияГеографияГеологияИнформатикаИскусствоИсторияКулинарияКультураМаркетингМатематикаМедицинаМенеджментОхрана трудаПравоПроизводствоПсихологияРелигияСоциологияСпортТехникаФизикаФилософияХимияЭкологияЭкономикаЭлектроника






Розрахунки за факторинговими операціями





Факторинг - це переуступка факторинговій компанії несплачених боргових вимог, векселів, що виникають між контрагентами в процесі реалізації товарів чи послуг на умовах комерційного кредиту.

Структура плати за послуги факторингу:

1) плата за управління - комісійна винагорода за власне факторингове обслуговування: ведення обліку, страхування на випадок виникнення сумнівних боргів. Розмір цієї плати визначають у відсотках від річного обороту постачальника;

2) плата за кредитні ресурси - нараховується у встановленому договором відсотку на суму коштів, наданих постачальникові достроково у формі попередньої оплати переуступлених боргових вимог, її ставка звичайно перевищує на 2-4% поточну банківську ставку, яку застосовують у разі короткострокового кредитування клієнтів з таким самим оборотом і кредитоспроможністю, що обумовлено необхідністю компенсувати додаткові витрати й ризик факторингової компанії чи банку, який відіграє роль фактора.

Різновидом факторингу є форфейтинг - міжнародний відкритий факторинг з умовою кредитування у вигляді обліку векселів або попередньої оплати боргових вимог до покупця без права регресу.

Приклад 10.

Підприємство здійснює поставки товарів у сумі 16 000 000 грн., оборотність цієї дебіторської заборгованості складає 20 рази на рік. Для прискорення погашення цієї заборгованості вона була передана факторинговому відділу банку на наступних умовах:

- розмір резервування - 15%

- комісійна винагорода банку - 0,5 %

- процентна ставка за факторинговий кредит - 25%. Визначити, яку суму отримає підприємство за даною операцією і який розмір доходу банку.

Розв'язок:

1. Визначаємо середню дебіторську заборгованість підприємства за рік:

16 000 000 / 20 = 800 000 грн.

2. Визначаємо розмір резервних відрахувань:

Сума резерву: 800 000 х 0,15 = 120 000 грн.

3. Визначаємо суму нарахованих комісійних за інкасацією рахунків:

800 000 х 0,005 = 4000 грн.

4. Для визначення суми нарахованих процентів за факторинговим кредитом за формулою (1.2). При цьому, якщо оборотність дебіторської заборгованості складає 20 разів на рік, то термін факторингового кредиту складе:

ї = 360 / 20 = 18 днів,

Відповідно, сума нарахованих процентів за кредит, визначена за формулою (1.2):

(800000 - 120000) х 0,25 х 18/360 = 8500 грн.

5. Визначаємо суму, яка перераховується на рахунок позичальника: (800000 - 120000) - 8500 - 4000 = 667 500 грн. Сума резерву буде повернута підприємству після погашення заборгованості дебіторам.

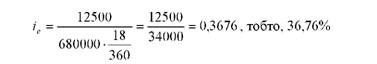
6. Загальний доход банку за надану факторингову послугу складає: 8500 + 4000 = 12 500 грн.

Тим самим, дохідність операції для банку, визначена за формулою (1.15) складе:

Приклад 11.

Визначити вартість послуг факторингового відділу банку, що були надані підприємству, якщо відомо, що він виставив рахунок за відвантажену продукцію на суму 100 тис. грн. Строк нормального документообігу складає 10 днів, процентна ставка за кредит підвищена на 3 пункти при середній банківській кредитній ставці 17% річних. Комісійні банку за обслуговування дебіторської заборгованості складають 0,25%.

Розв'язок:

1) Визначаємо розмір нарахованих процентів за факторинговий кредит за формулою (1.2):

2) Визначаємо розмір комісійних, сплачених банку:

100 000 х 0,002 = 200,00 грн.

3) Таким чином, вартість послуг факторингового відділу банку складе: 547,95 + 200 = 747,95 грн.

Приклад 12.

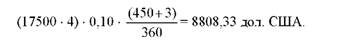
Форфейтер придбав у клієнта партію з 4 векселів терміном 2 роки, кожний з яких має номінал 17500 дол. США. Платежі за цими векселями здійснюються 2 рази на рік, тобто через кожні 180 днів. При цьому форфейтер надає клієнту 3 пільгових дня для розрахунків. Облікова ставка за векселями складає 10% річних.

Розрахувати величину дисконту і суму платежів форфєйтора клієнту за векселі, що придбані у нього, враховуючи середній термін форфейтування.

Розв'язок:

Середній термін форфейтування складе:

Середня величина дисконту, розрахована за формулою (1.2) складе:

Сума платежів форфейтера клієнту, відповідно, складе: (17500 х 4) - 8808,33 = 61191,67 дол. США.







Date: 2015-06-07; view: 525; Нарушение авторских прав



mydocx.ru - 2015-2026 year. (0.488 sec.) Все материалы представленные на сайте исключительно с целью ознакомления читателями и не преследуют коммерческих целей или нарушение авторских прав - Пожаловаться на публикацию