Главная Случайная страница


Полезное:

Как сделать разговор полезным и приятным Как сделать объемную звезду своими руками Как сделать то, что делать не хочется? Как сделать погремушку Как сделать так чтобы женщины сами знакомились с вами Как сделать идею коммерческой Как сделать хорошую растяжку ног? Как сделать наш разум здоровым? Как сделать, чтобы люди обманывали меньше Вопрос 4. Как сделать так, чтобы вас уважали и ценили? Как сделать лучше себе и другим людям Как сделать свидание интересным?


Категории:

АрхитектураАстрономияБиологияГеографияГеологияИнформатикаИскусствоИсторияКулинарияКультураМаркетингМатематикаМедицинаМенеджментОхрана трудаПравоПроизводствоПсихологияРелигияСоциологияСпортТехникаФизикаФилософияХимияЭкологияЭкономикаЭлектроника






Операції банку з акціями





Працюючи з акціями та іншими цінними паперами на міжнародних фондових біржах, необхідно враховувати, що основними джерелами інформації про цінні папери є щоденні фінансові газети, які називаються в багатьох англомовних країнах -Financial Times". Звичайно ця інформація публікується вибірково та стосується тільки частини фірм з повного списку фондових бірж.

Також слід мати на увазі те, що в публікаціях ціни на акції відносяться тільки до торгів останнього дня - на момент закриття бірж. Відповідно, наступного дня далеко не завжди ви зможете купити акції за вказаною у них ціною. Газети України та інших країн СНД поки що друкують про акції далеко не всю інформацію, яка повинна бути представлена.

В результаті багаторічної роботи західних фондових бірж виробились наступні стандарти мінімально необхідної інформації про акції, яка публікується на сторінках газет та представлена в наступній таблиці:

Відмітимо, що насправді графи не нумеруються, як це зроблено у нашому прикладі.

Перша графа (High) показує найвищу ціну акції відповідної фірми за останній рік.

Друга графа (Low), навпаки, показує мінімальний рівень ціни цих акцій за останній рік. За допомогою даних перших двох граф можна побачити, як вчорашня ціна, що вказується у четвертій графі (Price), співвідноситься з самою високою та самою низькою ціною цих акцій за рік. Порівняння цих граф допомагає з'ясувати міру стійкості ціни акцій.

В третій графі (Stock) пишеться назва фірми, дані якої наводяться за даною строчкою - в нашому прикладі це фірми LLL, ГУС, "Fort PLC". Для економії місця назви фірм часто скорочуються.

В четвертій графі (Price) вказується середня ціна купівлі та продажу акцій на момент закінчення торгів минулого дня, як уже зазначалось, насправді вона може і змінюватися. Ціни акцій прийнято вказувати не в доларах чи фунтах, а в центах, пенсах і т.д. Відповідно, якщо ця інформація з американської фінансової газети, то ціни акцій в прикладі будуть 150 центів ($ 1,50), 190 центів ($ 1,90), та 256 центів ($ 2,56) відповідно.

П'ята графа (+,-) показує, наскільки змінилась ціна даної акції у порівнянні з її ціною за минулий день. Знак "+" свідчить про збільшення ціни, а знак "-" - про її зменшення. Шоста графа (Did. net - Dividend Net) показує суму дивідендів, сплачених на кожну акцію після вирахування податків. Це та сума, яку отримали держателі цих акцій з кожної акції в минулому році.

Назва сьомої графи (CVR) походить від англійського слова cover, яке означає "покрити". В цій графі вказується, в скільки разів фірма могла б перекрити дивіденди, виплачені нею акціонерам, якби з цією метою вона направила прибуток попереднього року після сплати податків. Тобто, якщо в цій графі стоїть цифра 1, це означає, що весь прибуток попереднього року був направлений на виплату дивідендів і він склав суму, яка вказана в шостій графі (в розрахунку на кожну акцію). Відповідно, з усього отриманого прибутку на зростання і розвиток фірми не було направлено нічого. Якщо ж там стоїть цифра 5, як у компанії "Fort PLC" наприклад, то це означає, що лише п'ята частина прибутку була сплачена акціонерам у вигляді дивідендів.

З цієї графи можна отримати дуже цінну інформацію. Компанія, яка сплатила низькі дивіденди, не обов'язково знаходиться в незадовільному економічному стані, якщо значення, вказане в графі CVR, високе (в декілька разів перевищує одиницю). В майбутньому це повинно відобразитись на дивідендах і ціні акції позитивно, так як означає, що достатньо велика сума прибутку направляється на розвиток фірми. Як ми пам'ятаємо, тільки Рада директорів фірми вирішує, скільки дивідендів повинно бути виплачено акціонерам, і сума дивідендів не завжди визначається безпосередньо сумою отриманого прибутку.

У восьмій графі (YLD Gross) вказується показник валового прибутку фірми в розрахунку на одну акцію. По суті, це загальний прибуток акціонера за рік - незалежно від того, що частину його він отримав готівкою у вигляді дивідендів, а частина пішла на подальший розвиток фірми, власником якої є кожен акціонер. По цій графі ви можете визначити, чи варто вам було тримати ці акції в звітному періоді. Можна співставити отриману віддачу з процентними ставками банку по вкладах і оцінити, в якому випадку віддача була вища. Якщо хочете, то можете для порівняння виразити це співвідношення в процентах.

Остання графа (P/E - Prise Earning Rafio) показує співвідношення між поточною, номінальною ціною і доходом акції цієї фірми. Він показує, скільки років потрібно було б для того, щоб акціонери отримали назад гроші, вкладені в акції, в повному обсязі. Дані, які приводяться в цій графі, непрямо відображають, як довго окупаються інвестиції в даній фірмі. Нові, динамічні фірми в цій графі можуть мати високі показники, що означає велику віддачу на інвестиції, але разом з тим, як правило, і високий рівень ризику.


Інколи біля якихось цифр можна зустріти ті чи інші символи. Вони, як правило, пояснюються в кінці таблиць які приводяться. Самий розповсюджений з таких символів - це XD, що означає "без дивіденду". Насправді це означає, що в найближчий час на акції будуть виплачені дивіденди, але власники тільки зараз придбаних акцій цих дивідендів не отримають. Тобто дивіденди на ці акції будуть виплачені тільки колишнім держателям акцій. Як правило, це пов'язано з тим, що фірми не можуть в дуже короткий строк (до виплати дивідендів) переоформити свої документи у випадку купівлі цих акцій. Ціни акцій з такими позначками можуть бути трохи нижче звичайного.

Існують різні способи використання інформації таких таблиць. Людина, яка володіє математикою, може на її основі вивести і багато інших показників. Крім того, на Заході є багаточисельні посібники по використанню такої інформації. В любому випадку, щоб порівняти показники різних фірм, потрібно вибрати фірми, які діють в одній і тій же області бізнесу.

Газети і журнали є гарним, але не єдиним і не самим авторитетним джерелом інформації про цінні папери. Практично всі біржі публікують в кінці дня в своїх бюлетенях набагато детальнішу інформацію чим та, яка друкується в пресі.

Оцінка фірми з точки зору доцільності купівлі її акцій робиться не тільки на основі аналізу фінансових показників. Існує багато інших способів отримання інформації.

У цілому, доход від купівлі акцій визначається нарахованими дивідендами, а також можливою різницею між ринковою ціною продажу акцій та ціною їх купівлі. При цьому ринкова ціна акцій визначається попитом на них і залежить від різноманітних факторів: рівня дивідендів, репутації емітентів акцій у їх покупців, перспектив їх розвитку тощо.

Якщо основною метою купівлі акцій є отримання дивідендів, то покупець може визначити для себе теоретичну ціну акції на основі сплачених чи очікуваних дивідендів та прийнятної норми прибутку. Відповідно, норма прибутку (r) буде дорівнювати:

де Б - сума нарахованих дивідендів, Р - ціна купівлі акцій.

Відповідно, теоретична ціна акції для покупця може бути визначена за формулою:

Приклад 1.

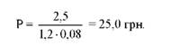
Дивіденд на акцію компанії за рік складав 2,5 грн. Банківська ставка за вкладами складає 8% річних. Винагорода за ризик з точки зору покупця має складати 20% банківської ставки. Визначити теоретичну ціну акції для покупця.

Розв'язок:

Ціна акції для покупця, визначена за формулою (4.2) складе:

Приклад 2.

Курс акцій номіналом 10 грн. складав:

а) на момент купівлі: купівлі - 11 грн., продажу - 12 грн.

б) на момент продажу: купівлі - 24 грн., продажу 25 грн. Визначити за ефективною ставкою простих процентів доходність операцій банку з акціями, куплених банком у кількості 1000 штук та проданих через 2 роки, якщо рівень дивідендів, нарахованих за цей період складав: за 1 рік - 10% річних; за 2 рік - 15% річних

Розв'язок:

Доход банку від операцій банку з акціями у даному випадку складається з курсових різниць та нарахованих дивідендів.

1) Для визначення суми курсової різниці розрахуємо:

- вартість купівлі 1000 акцій:

Р1 = 12 o 1000 = 12000 грн.,

- суму, отриману від продажу акцій:

Р2 = 24 o 1000 = 24000 грн.

2) Сума дивідендів, нарахованих за акціями за два роки за формулою (1.2) складе:

Б = 1000 х 10 х (0,10 + 0,15) = 2500 грн.

3) Визначаємо загальну суму доходу банку від операції з акціями:

Д = 2500 + (24000 - 12000) = 14500 грн.

Дохідність операцій з акціями у вигляді ефективної ставки простих процентів, розрахована за формулою (1.15) складе:







Date: 2015-06-07; view: 587; Нарушение авторских прав



mydocx.ru - 2015-2026 year. (0.642 sec.) Все материалы представленные на сайте исключительно с целью ознакомления читателями и не преследуют коммерческих целей или нарушение авторских прав - Пожаловаться на публикацию