Главная Случайная страница


Полезное:

Как сделать разговор полезным и приятным Как сделать объемную звезду своими руками Как сделать то, что делать не хочется? Как сделать погремушку Как сделать так чтобы женщины сами знакомились с вами Как сделать идею коммерческой Как сделать хорошую растяжку ног? Как сделать наш разум здоровым? Как сделать, чтобы люди обманывали меньше Вопрос 4. Как сделать так, чтобы вас уважали и ценили? Как сделать лучше себе и другим людям Как сделать свидание интересным?


Категории:

АрхитектураАстрономияБиологияГеографияГеологияИнформатикаИскусствоИсторияКулинарияКультураМаркетингМатематикаМедицинаМенеджментОхрана трудаПравоПроизводствоПсихологияРелигияСоциологияСпортТехникаФизикаФилософияХимияЭкологияЭкономикаЭлектроника






Операції з облігаціями





Облігації - це довгострокові цінні папери, які можуть випускатися в обіг державою чи корпораціями, у тому числі банками. В останньому випадку облігації називають борговими приватними цінними паперами (зобов'язаннями). Як правило, облігації приносять їх власникам дохід у вигляді фіксованого процента, що встановлюється до її номінальної вартості. Разом з тим існують облігації з плаваючою ставкою, яка змінюється згідно визначеного алгоритму.

Періодична виплата процентів за облігаціями здійснюється на підставі купонів - вирізних талонів з надрукованими на них цифрами купонної ставки.

У цілому, за способами виплати доходів розрізняють облігації з фіксованою чи плаваючою купонною ставкою; а також облігації з нульовим купоном, (безкупонні) за якими емісійна ціна облігації Р встановлюється нижче її номінальної вартості N а різниця між ними є доходом інвестора, що сплачується на момент погашення облігації. У цьому випадку процент за безкупонною облігацією не виплачується, а її курс Ри може бути визначений за формулою:

Відповідно, коли курс облігації є заданим, то ціна облігації Р буде визначатися за формулою:

Дохід від купівлі таких облігацій буде дорівнювати:

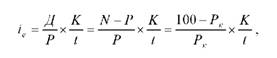
Підставивши в формулу для визначення ефективної ставки простих відсотків (1.15) вираз (4.9) для облігацій отримаємо:

де К - кількість днів у році;

і - термін проведення операції з облігаціями.

Приклад 5.

Облігація номіналом 10 000 грн. куплена за курсом 90 і продана через 2 роки за курсом 110. Доход по облігації нараховується за простою ставкою процентів, що дорівнює 15% річних. При купівлі продавцю облігацій оплачено процентний доход за 50 днів.

Розв'язок:

Ціна купівлі облігації, визначена за формулою (4.8):

Процентний дохід, сплачений продавцю облігації за 50 днів і визначений за формулою (1.2) складе:

І0 = 10000 х 0,15 х (50 / 365) = 205,48 грн.

Загальні витрати на купівлю облігації складають:

Р = 9000 + 205,48 = 9205,48 грн.

Якщо проценти за облігацією не реінвестуватись, то їх сума, визначена за формулою (1.2) за 2 роки складе:

І1 = 10000 х 0,15 х 2 = 3000 грн.

Загальний дохід від облігації за 2 роки складе:

Д = (11000 - 9000) + 3000 = 5000 грн.

Доходність даної операції з ощадним сертифікатом, визначена за формулою (1.15) ефективної ставки простих процентів складе:

Отримані проценти за облігаціями можуть не сплачуватись відразу, а реінвестуватись, переважно за складною ставкою процентів. Дохід від їх реінвестування може визначатися за наступною формулою:

де Я - сума надходження річних процентів від облігації, і - процентна ставка реінвестування; п - строк, за який доходи будуть реінвестуватись.

Приклад 6.

Облігація банку номіналом 100 тис. грн. і терміном 5 років, проценти за якою будуть сплачуватись щорічно за ставкою 15% річних, куплена за курсом 96.

Визначити загальний дохід від облігації, якщо отримані проценти будуть реінвестуватись за складною ставкою 10% річних.

Розв'язок:

Ціна купівлі такої облігації, визначена за формулою (4.8) дорівнює:

Р = 96 х 100 000 / 100 = 96 000 грн.

Сума щорічних процентів, нарахованих на облігацію за формулою (1.2) дорівнює:

І = 100 000 х 1 х 0,15 = 15 000 грн.

Доход від реінвестування нарахованих процентів, визначений за формулою (4.11) складе:

Дохід від купівлі облігації за ціною, що менше номіналу складе:

Д0 = 100 000 - 96 000 = 4 000 грн. Тим самим, загальний дохід від операції з облігацією складе:

Д = 91576,5 + 4000 = 95 576,5 грн.

Вартість облігації, дохід за якою нараховується на основі купонної ставки залежить як від рівня купонної ставки, так і від періоду погашення облігації, її податкового статусу, ліквідності, норми доходу, поточної доходності тощо.

При цьому середня норма доходу купонної облігації розраховується як співвідношення середнього періодичного доходу до середньої ціни облігації:

де Д0 - норма доходу облігації (ринкова); N - номінальна вартість облігацій; С - купонний платіж за окремий період; Р - вартість купівлі облігації;

К - кількість періодів нарахування та здійснення купонних платежів, що залишились до погашення облігації.

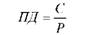
Показник поточної дохідності (ПД) купонної облігації розраховується як співвідношення купонного доходу (С) за відповідний період до фактичних витрат на придбання облігації (Р):

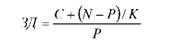
Показник загальної доходності (ЗД) купонної облігації до моменту її погашення розраховується за формулою:

Приклад 7.

У портфелі банку знаходиться пакет облігацій номінальною вартістю 100 тис. грн. з терміном погашення через 3 роки і 20%-м річним купоном. Ринкова ціна пакета облігацій 85 тис. грн.


Розрахувати ринкову, поточну та загальну доходність пакета облігацій.

Розв'язок:

1. Середня ринкова норма доходу пакета купонних облігацій, визначена за формулою (4.12) дорівнює:

2. Поточна доходність пакета облігацій, визначена за формулою

(4.13) складе:

ПД = 20 / 85 = 0,2353, тобто 23,53%.

3. Загальна доходність пакета облігацій, визначена за формулою

(6.14) складає:







Date: 2015-06-07; view: 595; Нарушение авторских прав



mydocx.ru - 2015-2026 year. (0.341 sec.) Все материалы представленные на сайте исключительно с целью ознакомления читателями и не преследуют коммерческих целей или нарушение авторских прав - Пожаловаться на публикацию