Главная Случайная страница


Полезное:

Как сделать разговор полезным и приятным Как сделать объемную звезду своими руками Как сделать то, что делать не хочется? Как сделать погремушку Как сделать так чтобы женщины сами знакомились с вами Как сделать идею коммерческой Как сделать хорошую растяжку ног? Как сделать наш разум здоровым? Как сделать, чтобы люди обманывали меньше Вопрос 4. Как сделать так, чтобы вас уважали и ценили? Как сделать лучше себе и другим людям Как сделать свидание интересным?


Категории:

АрхитектураАстрономияБиологияГеографияГеологияИнформатикаИскусствоИсторияКулинарияКультураМаркетингМатематикаМедицинаМенеджментОхрана трудаПравоПроизводствоПсихологияРелигияСоциологияСпортТехникаФизикаФилософияХимияЭкологияЭкономикаЭлектроника






Особливості визначення валютної позиції банку





Валютна позиція - співвідношення (різниця) між сумою активів та позабалансових вимог у певній іноземній валюті та сумою балансових і позабалансових зобов'язань у цій самій валюті. За кожною іноземною валютою обчислюється підсумок за всіма балансовими і позабалансовими активами і всіма балансовими та позабалансовими зобов'язаннями банку та розраховується загальна відкрита валютна позиція банку в гривневому еквіваленті окремо за кожною іноземною валютою.

Валютна позиція відкрита - сума активів та позабалансових вимог у певній іноземній валюті не збігається із сумою балансових і позабалансових зобов'язань у цій самій валюті. Відкрита валютна позиція містить додатковий ризик у разі зміни валютного курсу.

Валютна позиція відкрита довга - сума активів та позабалансових вимог перевищує суму балансових і позабалансових зобов'язань у кожній іноземній валюті. Банк із такою позицією може зазнати втрат у разі підвищення курсу національної валюти відносно іноземної.

Валютна позиція відкрита коротка - сума балансових та позабалансових зобов'язань перевищує суму активів і позабалансових вимог у кожній іноземній валюті. Банк із такою позицією може зазнати додаткових втрат у разі підвищення курсу іноземної валюти відносно національної.

Валютна позиція закрита - сума активів та позабалансових вимог збігається із сумою балансових та позабалансових зобов'язань у кожній іноземній валюті.

Приклад 10.

Банк здійснив такі операції щодо USD/CHF:

- купив USD 1 млн. за курсом 1,1355;

- продав USD 3 млн. за курсом 1,1368;

- купив USD 1,55 млн. за курсом 1,1349;

- продав USD 0,75 млн. за курсом 1,1361.

Розрахувати позицію дилера за доларом США та можливості її прибуткового закриття.

Розв'язок:

1. Розрахунок валютної позиції по долару США:

1 - 3 + 1,55 - 0,75 = -1,2 млн. дол. США - по дол. США виникає коротка відкрита валютна позиція.

2. Розрахунок валютної позиції по швейцарському франку:

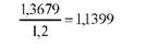
-1 1,1355 + 3 -1,1368 -1,55 -1,1349+0,75 -1,1361 = 1,3679 млн. шв. франків - по шв. франках виникає довга відкрита валютна позиція.

3. Розрахунок курсу, за яким можливе прибуткове закриття валютної позиції банку:







Date: 2015-06-07; view: 788; Нарушение авторских прав



mydocx.ru - 2015-2026 year. (0.652 sec.) Все материалы представленные на сайте исключительно с целью ознакомления читателями и не преследуют коммерческих целей или нарушение авторских прав - Пожаловаться на публикацию