Главная Случайная страница


Полезное:

Как сделать разговор полезным и приятным Как сделать объемную звезду своими руками Как сделать то, что делать не хочется? Как сделать погремушку Как сделать так чтобы женщины сами знакомились с вами Как сделать идею коммерческой Как сделать хорошую растяжку ног? Как сделать наш разум здоровым? Как сделать, чтобы люди обманывали меньше Вопрос 4. Как сделать так, чтобы вас уважали и ценили? Как сделать лучше себе и другим людям Как сделать свидание интересным?


Категории:

АрхитектураАстрономияБиологияГеографияГеологияИнформатикаИскусствоИсторияКулинарияКультураМаркетингМатематикаМедицинаМенеджментОхрана трудаПравоПроизводствоПсихологияРелигияСоциологияСпортТехникаФизикаФилософияХимияЭкологияЭкономикаЭлектроника






Ефективність депозитних операцій





Основними показниками, які характеризують ефективність депозитних операцій комерційних банків вважають середній термін зберігання коштів на рахунку та рівень нагромадження коштів, що надійшли на вклади.

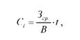
Середній термін зберігання коштів на рахунку в динаміці відображає стабільність вкладів, що дуже важливо для оцінки вкладів як ресурсів короткострокового кредитування за умови забезпечення ліквідності балансу банку. Для розрахунків користуються формулою:

де Єі - середній термін зберігання коштів на рахунку у днях;

Зср - середній залишок коштів на рахунку,

В - оборот з видачі вкладів; і - кількість днів у періоді.

Рівень нагромадження коштів, що надійшли на вклади (Ро) визначається за формулою:

де Зал. к. - залишок вкладів на кінець року; Зал. п. - залишок вкладів на початок року; Н - сума надходжень коштів на вклади.

Приклад 15.

Середні залишки вкладів клієнтів умовного банку складали:

- у минулому році - 15000 млн. грн.,

- у звітному році - 20000 млн.. грн. Оборот з видачі вкладів складав:

- у минулому році - 10 000 млн. грн.,

- у звітному році - 12 000 млн. грн.

Визначити середній термін зберігання коштів на рахунку та зробити висновки про стабільність вкладів у даній установі банку, а також можливість їх застосування як ресурсів для надання кредитів.

Розв'язок:

Середній термін зберігання коштів на рахунку, розрахований за формулою (1.19) складав:

Таким чином, стабільність вкладів у звітному році у даній установі банку збільшилась на 60 днів (600 -540). Вклади ж можуть бути використані як ресурси для надання кредитів терміном до двох років І І.

Приклад 16.

Залишок вкладів на початок року в установі банку складав 2050 млн. грн., на кінець року - 2200 млн. грн. Сума надходжень коштів на вклади за рік складала 1500 млн. грн. Визначити рівень нагромадження коштів, що надійшли на вклади.

Розв'язок:

Визначаємо рівень нагромадження коштів, що надійшли на вклади за формулою (1.20):

Це означає, що в даній установі банку з грошей, що надійшли на рахунки по вкладам на зростання залишку вкладів обернулося 10 %.







Date: 2015-06-07; view: 542; Нарушение авторских прав



mydocx.ru - 2015-2026 year. (0.264 sec.) Все материалы представленные на сайте исключительно с целью ознакомления читателями и не преследуют коммерческих целей или нарушение авторских прав - Пожаловаться на публикацию