Главная Случайная страница


Полезное:

Как сделать разговор полезным и приятным Как сделать объемную звезду своими руками Как сделать то, что делать не хочется? Как сделать погремушку Как сделать так чтобы женщины сами знакомились с вами Как сделать идею коммерческой Как сделать хорошую растяжку ног? Как сделать наш разум здоровым? Как сделать, чтобы люди обманывали меньше Вопрос 4. Как сделать так, чтобы вас уважали и ценили? Как сделать лучше себе и другим людям Как сделать свидание интересным?


Категории:

АрхитектураАстрономияБиологияГеографияГеологияИнформатикаИскусствоИсторияКулинарияКультураМаркетингМатематикаМедицинаМенеджментОхрана трудаПравоПроизводствоПсихологияРелигияСоциологияСпортТехникаФизикаФилософияХимияЭкологияЭкономикаЭлектроника






Операції банків з векселями





Векселі за способом отримання доходів їх власниками поділяються на процентні та дисконтні.

За процентними векселями проценти можуть нараховуватись аналогічно їх нарахуванню за депозитними рахунками на основі формули (1.2).Приклад 4.

Банк випусти

в вексель номіналом 500 грн., терміном 6 місяців з нарахуванням процентів за ставкою 8 % річних. Визначити суму доходу, що отримує власник векселя.

Розв'язок:

Для рішення задачі використовується формула (1.2): 1= 500-0,08-0,5 = 20 грн.

Векселі дисконтного типу продаються за ціною нижче номіналу, а погашаються за номінальною вартістю. Різниця між цими вартостями і визначає доход від придбання такого векселя. Дисконт - це різновид процентних грошей, який може визначатися як на основі процентної ставки, так і на основі облікової ставки.

Якщо за векселями використовується ставка процентів, то величина дисконту буде визначатися за формулою дисконтування для простої ставки процентів (див. формулу 1.8)

Приклад 5.

Банк випустив векселі дисконтного типу номіналом 500 грн. і терміном 3 місяці. При цьому, %-і витрати повинні визначатися відповідно до ставки процентів за депозитними вкладами, що дорівнює 8% річних. Визначити суму процентних витрат банку.

Розв'язок:

1. Визначаємо ціну продажу такого векселя, яка визначається на основі дисконтування ціни, за якою він буде погашатися (номінал), за формулою (1.8):

Відповідно, сума процентних витрат банку буде дорівнювати: Б = 500 - 490 = 10 грн.

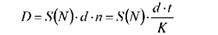
2. Якщо для визначення суми дисконту використовується облікова ставка, то сума процентних грошей буде визначатися виходячи зі загальної суми зобов'язання Б (відповідає номінальній вартості векселя дисконтного типу N1), терміну до погашення (п, якщо враховується в роках, або і - якщо у днях) та рівня облікової ставки сі.

У прийнятих у першому розділі умовних позначках, суму дисконту можна визначити за формулою:

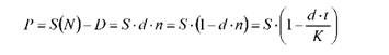
Ціна продажу такого векселя дисконтного типу буде визначатися, відповідно, за формулою (2.2.)

Приклад 6.

Банк випустив векселі дисконтного типу номіналом 500 грн. і терміном 3 місяці. Процентні витрати за векселем повинні визначатися на основі облікової ставки, що дорівнює 8 % річних.

Розв'язок:

Визначаємо ціну продажу дисконтного векселя за формулою (2.2.)

Р = 500 (1 - 0,08 o 0,25) = 490 грн.

Відповідно, сума процентних витрат (дисконту) банку складе:

Б = 500 - 490 = 10 грн.

Дисконтна ставка, що застосовується банком при врахуванні векселів, тісно пов'язана з процентною ставкою по звичайних кредитних операціях і може бути розрахована за формулою:

де сі - річна облікова ставка дисконту, %

Я - річна процентна ставка за кредитними операціями, % і - кількість днів до погашення векселя.

Приклад 7.

Фірма продала товар з відстрочкою платежу на умовах оформлення покупцем простого векселя номінальною вартістю 750 тис. грн. та строком погашення 60 днів. Через 20 днів з моменту оформлення векселя фірма передала його до банку для врахування. Процентна ставка за кредитними операціями банку становить 15 % річних. Визначити суму, яку фірма зможе отримати від банку за врахований вексель.

Розв'язок:

Отже, облікова ставка дисконту, що буде застосована банком при врахуванні векселя і розрахована за формулою (2.3) становитиме:

Сума, яку фірма зможе отримати від банку за врахований вексель розраховуємо за формулою (2.2):







Date: 2015-06-07; view: 701; Нарушение авторских прав



mydocx.ru - 2015-2026 year. (0.973 sec.) Все материалы представленные на сайте исключительно с целью ознакомления читателями и не преследуют коммерческих целей или нарушение авторских прав - Пожаловаться на публикацию