Главная Случайная страница


Полезное:

Как сделать разговор полезным и приятным Как сделать объемную звезду своими руками Как сделать то, что делать не хочется? Как сделать погремушку Как сделать так чтобы женщины сами знакомились с вами Как сделать идею коммерческой Как сделать хорошую растяжку ног? Как сделать наш разум здоровым? Как сделать, чтобы люди обманывали меньше Вопрос 4. Как сделать так, чтобы вас уважали и ценили? Как сделать лучше себе и другим людям Как сделать свидание интересным?


Категории:

АрхитектураАстрономияБиологияГеографияГеологияИнформатикаИскусствоИсторияКулинарияКультураМаркетингМатематикаМедицинаМенеджментОхрана трудаПравоПроизводствоПсихологияРелигияСоциологияСпортТехникаФизикаФилософияХимияЭкологияЭкономикаЭлектроника






Розрахунки з урахуванням інфляції





При визначенні суми нарахованих процентів за вкладами необхідно враховувати рівень інфляції, оскільки якщо зростання інфляції перевищує суму зростання доходів вкладників, то це призводить до знецінення їх доходів.

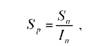
Реальне значення суми вкладу разом з нарахованими процентами з урахуванням інфляції Бр можна визначити за формулою (1.13.):

де Бп - номінальна сума вкладу з нарахованими процентами; Іп - індекс інфляції, який може бути визначено за формулою

де р - рівень інфляції;

п - кількість періодів, за які враховуються рівні інфляції

Приклад 12.

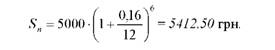
Вклад у сумі 5000 грн. покладено в банк на півроку з щомісячним нарахуванням складних процентів за номінальною ставкою 16 % річних. Визначити реальний доход вкладника, якщо рівень інфляції складав 2 % на місяць.

Розв'язок:

Номінальну суму вкладу з процентами визначаємо за формулою

(1.11):

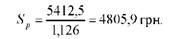
Індекс інфляції, розрахований за формулою (1.14) за півроку складе:

Відповідно, сума вкладу з процентами з точки зору її купівельної спроможності, визначена за формулою (1.13) буде дорівнювати:

Таким чином, реальний доход (збиток) вкладника складе: Д (З) = 4805,98 - 5000 = - 1940,2 грн., що означає реальне знецінення доходу вкладника.







Date: 2015-06-07; view: 612; Нарушение авторских прав



mydocx.ru - 2015-2026 year. (1.688 sec.) Все материалы представленные на сайте исключительно с целью ознакомления читателями и не преследуют коммерческих целей или нарушение авторских прав - Пожаловаться на публикацию