Главная Случайная страница


Полезное:

Как сделать разговор полезным и приятным Как сделать объемную звезду своими руками Как сделать то, что делать не хочется? Как сделать погремушку Как сделать так чтобы женщины сами знакомились с вами Как сделать идею коммерческой Как сделать хорошую растяжку ног? Как сделать наш разум здоровым? Как сделать, чтобы люди обманывали меньше Вопрос 4. Как сделать так, чтобы вас уважали и ценили? Как сделать лучше себе и другим людям Как сделать свидание интересным?


Категории:

АрхитектураАстрономияБиологияГеографияГеологияИнформатикаИскусствоИсторияКулинарияКультураМаркетингМатематикаМедицинаМенеджментОхрана трудаПравоПроизводствоПсихологияРелигияСоциологияСпортТехникаФизикаФилософияХимияЭкологияЭкономикаЭлектроника






Складні проценти (проценти з капіталізацією) та механізми їх застосування





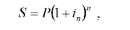
При нарахуванні складних процентів (процентів, що капіталізуються) сума процентів, нарахованих після першого періоду нарахування, що є частиною загального терміну зберігання вкладу, не виплачується, а додається до базової суми вкладу. За другий період нарахування проценти будуть нараховуватись виходячи з суми базового вкладу, збільшеного на суму процентів, нарахованих за перший період і так далі за кожний наступний період нарахування. Тобто, на відміну від простих процентів, база для нарахування складних процентів буде збільшуватися з кожним періодом нарахування, що є частиною загального терміну зберігання вкладу, а загальна сума вкладу з нарахованими процентами зі врахуванням раніше прийнятих умовних позначень буде визначатися за формулою:

де: іп - номінальна ставка складних процентів; п - термін вкладу в роках.

Сума нарахованих процентів буде дорівнювати:

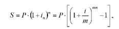
Складні проценти можуть нараховуватись також декілька раз на рік (наприклад, за місяцями, кварталами, півріччям). Сума вкладу з процентами (нарощена сума) при терміну вкладу п років буде дорівнювати:

де: т - кількість періодів нарахування в одному році, яка за щомісячного нарахування капіталізованих відсотків буде дорівнювати 12;

і - номінальна річна ставка процентів;і

іп - ставка процентів за період нарахування, яка дорівнює -.т

Сума нарахованих процентів, відповідно, складе:

Приклад 9.

Банк нараховує складні проценти за номінальною ставкою 16 % річних. Визначити діючу ставку складних процентів, якщо складні проценти нараховуються щомісячно, щоквартально і за півріччя.

Розв'язок:

Для рішення задачі використовується елемент формули (1.11.): а) при щомісячному нарахуванні процентів, діюча ставка процентів за період нарахування складе:

б) при щоквартальному нарахуванні процентів:

в) при нарахуванні за півріччями:

Приклад 10.

Депозит в розмірі 5000 грн. покладено в банк на 3 роки. Визначити суму нарахованих процентів за цей термін, якщо річна ставка складних процентів складає 10 %.

Розв'язок:

Для рішення задачі використовується формула (1.10.): І = 5000 [(1 + 0,1)3 -1] = 1655 грн.

Приклад 11.

Складні проценти на вклади нараховуються щоквартально за номінальною річною ставкою 10 % річних. Визначити суму процентів, нарахованих на вклад 2000 грн.:

а) за півроку;

б) за два роки.

Розв'язок:

Для рішення задачі використовується формула (1.12.): а) сума процентів, нарахованих за півріччя складе:

б) сума процентів, нарахованих за 2 роки складе:







Date: 2015-06-07; view: 577; Нарушение авторских прав



mydocx.ru - 2015-2026 year. (0.289 sec.) Все материалы представленные на сайте исключительно с целью ознакомления читателями и не преследуют коммерческих целей или нарушение авторских прав - Пожаловаться на публикацию