Главная Случайная страница


Полезное:

Как сделать разговор полезным и приятным Как сделать объемную звезду своими руками Как сделать то, что делать не хочется? Как сделать погремушку Как сделать так чтобы женщины сами знакомились с вами Как сделать идею коммерческой Как сделать хорошую растяжку ног? Как сделать наш разум здоровым? Как сделать, чтобы люди обманывали меньше Вопрос 4. Как сделать так, чтобы вас уважали и ценили? Как сделать лучше себе и другим людям Как сделать свидание интересным?


Категории:

АрхитектураАстрономияБиологияГеографияГеологияИнформатикаИскусствоИсторияКулинарияКультураМаркетингМатематикаМедицинаМенеджментОхрана трудаПравоПроизводствоПсихологияРелигияСоциологияСпортТехникаФизикаФилософияХимияЭкологияЭкономикаЭлектроника






Ведення кредитної справи та оцінка кредитоспроможності позичальника





Визначення кредитоспроможності клієнта банку регламентується положенням "Про порядок формування та використання банками України резервів для відшкодування можливих втрат за активними банківськими операціями" від 25.01.2012, затверджене постановою НБУ № 23.

Як зазначалося в темі 10, в основу оцінки кредитоспроможності (індивідуального кредитного ризику, пов'язаного з окремим позичальником) покладено оцінку динаміки фактичних значень інтегрального показника (якщо боржник є юридичною особою), коефіцієнта покриття боргу, якості менеджменту боржника - юридичної особи, ринків збуту продукції, наявності бізнес-планів, рейтингів боржника - юридичної особи та інших подій та обставин, що можуть вплинути на своєчасність та повноту погашення боргу. Відповідно, банк визначає клас боржника - юридичної особи залежно від значення інтегрального показника, розрахованого із застосуванням багатофакторної дискримінантної моделі за формулою:

де: X - інтегральний показник;

К1, К2... Кп - фінансові коефіцієнти, що визначаються на підставі даних фінансової звітності боржника - юридичної особи для великого або середнього підприємства (для малого підприємства - коефіцієнти МК1, МК2... МКп;

а1, а2... ап - параметри, що визначаються з урахуванням вагомості та розрядності фінансових коефіцієнтів і щорічно актуалізуються НБУ на підставі даних фінансової звітності боржників - юридичних осіб та залежно від виду їх економічної діяльності;

а0 - вільний член дискримінантної моделі, значення якого щорічно актуалізуються НБУ.

Фінансові коефіцієнти, рекомендовані для визначення інтегрального показника, звичайно поділяють на окремі групи залежно від того, який бік діяльності позичальника вони характеризують.

1. Показники платоспроможності визначають достатність ліквідних активів для покриття позичальником його зобов'язань і вимірюються співвідношенням між різними групами ліквідних активів і короткостроковими зобов'язаннями позичальника перед банком та іншими кредиторами.

Платоспроможність позичальника визначається за такими показниками:

- коефіцієнт покриття (ліквідність третього ступеня) (К1), що характеризує здатність підприємства покривати поточні зобов'язання оборотними активами:

К1 = Оборотні активи / Поточні зобов'язання (2.3.2)

- проміжний коефіцієнт покриття (К2), що характеризує очікувану платоспроможність боржника у короткостроковому періоді:

К2 = Монетарні оборотні активи (векселі одержані, дебіторська заборгованість, поточні фінансові інвестиції та грошові кошти) / Поточні зобов'язання (2.3.3)

2. Показники фінансової стабільності характеризують забезпеченість підприємства власними джерелами формування основних та обігових коштів.

Фінансова стійкість позичальника визначається за такими показниками:

- коефіцієнт фінансової незалежності (К3), що характеризує ступінь залежності підприємства від позичкових джерел фінансування:

К3 = Власний капітал / Валюта балансу (пасив) (2.3.4) - коефіцієнт покриття необоротних активів власним капіталом (К4), що характеризує рівень фінансування необоротних (довгострокових) активів за рахунок власного капіталу підприємства:

К4 = Власний капітал / Необоротні активи (2.3.5)

3. Показники рентабельності та інші показники ефективності позичальника засвідчують частку чистого прибутку на одиницю активів чи пасивів; їх обчислюють як співвідношення між чистим прибутком і окремими статтями активів чи пасивів, виражене у відсотках, а також включають показники, що характеризують ефективність використання активів. Визначається за такими показниками: - коефіцієнт рентабельності власного капіталу (К5), що характеризує ефективність використання капіталу підприємства, інвестованого власником:

К5 = Чистий прибуток (збиток) / Інвестований власний капітал (середньорічний) (2.3.6), де інвестований власний капітал = Статутний капітал + пайовий капітал + додатковий капітал + інший додатковий капітал - неоплачений капітал - вилучений капітал;

- коефіцієнт рентабельності продаж за фінансовими результатами від операційної діяльності (К6):

К6 = Фінансові результати від операційної діяльності до оподаткування та здійснення витрат, пов'язаних із запозиченнями /Чиста виручка від реалізації (без ПДВ) (2.3.7),

- коефіцієнт рентабельності продаж за фінансовими результатами від звичайної діяльності (К7):

К7 = Фінансові результати від звичайної діяльності до оподаткування, фінансових витрат та нарахування амортизації /(Чиста виручка від реалізації (без ПДВ) +


+ інші операційні доходи (2.3.8),

- коефіцієнт рентабельності активів за чистим прибутком (К8), що характеризує ефективність використання (рентабельність) активів підприємства:

К8 = Чистий прибуток (збиток) / Валюта балансу(актив)

(середньорічна) (2.3.9),

- коефіцієнт оборотності оборотних активів (К9), що характеризує ефективність використання оборотних активів підприємства:

К9 = Чиста виручка від реалізації (без ПДВ) /

Оборотні активи (середньорічні) (2.3.10),

- коефіцієнт оборотності позичкового капіталу (К10), що характеризує здатність підприємства розраховуватися з боргами за рахунок внутрішніх фінансових джерел:

К10 = Фінансові результати від звичайної діяльності до оподаткування, фінансових витрат та нарахування амортизації /Довгострокові та поточні зобов'язання (2.3.11).

Значення розглянутих вище фінансових коефіцієнтів визначається за даними річної фінансової звітності боржника - юридичної особи за останній звітний період не рідше ніж один раз на рік та включається в модель розрахунку інтегрального показника залежно від виду його економічної діяльності. Результат розрахунку інтегрального показника оцінюється відповідно до шкали НБУ (залежно від величини підприємства - велике, середнє чи мале), що дозволяє визначити клас позичальника від 1-го (найвищого) до 9-го (найнижчого). При цьому банк визначає клас боржника - юридичної особи не вище 8, якщо проти нього порушено справу про банкрутство чи відсутня фінансова звітність за останній звітний період; кредит в іноземній валюті надано боржнику - юридичній особі, у якого немає джерел надходження валютної виручки в обсязі, достатньому для погашення боргу протягом дії договору або ж боржником чи банком не надано інформації до бюро кредитних історій.

Також банк визначає клас боржника - юридичної особи не вище 9, якщо боржника визнано банкрутом у встановленому законодавством України порядку. Якщо ж боржник є нерезидентом, то при визначенні його класу також враховується ризик країни місцезнаходження.

Слід враховувати, що при визначенні класу позичальника та, відповідно, його кредитоспроможності враховується не тільки динаміка інтегрального показника, але й значення коефіцієнта покриття боргу, яке має бути більшим за 1. Такий коефіцієнт характеризує достатність надходження боржнику грошових коштів для сплати боргу перед банком; його обчислюють на основі аналізу грошових потоків позичальника за наступною формулою:

К = Чистий грошовий потік за рахунок внутрішніх джерел / (Виплати грошових коштів для погашення отриманих кредитів + + Сплата процентів), (2.3.12)

де К - коефіцієнта покриття боргу;

Чистий грошовий потік за рахунок внутрішніх джерел = Чистий прибуток (збиток) + Амортизація необоротних активів + Фінансові витрати (+-) Інші платежі, що впливають на чисті грошові потоки від операційної діяльності (+ -) Інші платежі, що впливають на чистий рух коштів від інвестиційної діяльності.

Також можуть бути враховані суб'єктивні чинники, що характеризуються такими показниками:

o ринкова позиція позичальника та його залежність від циклічних і структурних змін в економіці та галузі промисловості;

o наявність державних замовлень і державна підтримка позичальника;


o ефективність управління позичальника;

o професіоналізм керівництва та його ділова репутація;

o інша інформація.

Для оцінки кредитоспроможності банк визначає клас боржника та формує його кредитну справу, яка повинна містити:

У письмове клопотання (заяву) боржника про надання кредиту;

- бізнес-план, техніко-економічне обґрунтування потреби в кредиті на відповідні цілі (для юридичних осіб), а також контракти або договори про купівлю-продаж (за наявності);

- фінансову звітність боржника;

- інформацію про надходження коштів на поточні рахунки в банку та в інших банках щонайменше за останні шість повних місяців;

- інформацію, надану боржником та документально підтверджену іншими банками, про:

а) заборгованість боржника з визначенням основних умов договору про надання кредиту (сума за договором, строк, залишок заборгованості, вид забезпечення за кредитом тощо);

б) наявність простроченої заборгованості;

- інформацію про стан виконання зобов'язань боржника перед банком за попередніми договорами, кредитну історію (за наявності) та про перевірку цільового використання кредиту;

- висновок уповноважених фахівців банку щодо оцінки кредитоспроможності боржника;

- установчі та реєстраційні документи (для юридичних осіб);

- рішення колегіальних органів банку про можливість надання кредиту;

- договір про надання кредиту і додаткові договори до нього; - договори застави (іпотеки) та додаткові договори до них, гарантійні листи;

- копії правовстановлюючих документів на майно (майнові права), що передається в забезпечення та документи, що підтверджують ринкову вартість заставленого майна (майнових прав) під час видачі кредиту, документи, що свідчать про наявність та якість збереження заставленого майна, а також документи, що свідчать про обтяження майна та його державну реєстрацію відповідно до вимог законодавства України;

- договори страхування заставленого майна та документи, що підтверджують сплату страхового платежу (за наявності);

- узагальнену інформацію про кредит з урахуванням даних про клас боржника, значення коефіцієнта покриття боргу, стан обслуговування та категорію кредиту.

За результатами оцінки фінансового стану позичальник відноситься до відповідного класу. Якщо рівень забезпечення за окремою кредитною операцією не відповідає умовам визначеного класу, то позичальника слід віднести на клас нижче, а якщо забезпечення є першокласним, то клас позичальника можна підвищити.

Приклад 8.

Маємо наступні балансові дані по підприємству:

Таблиця 1. БАЛАНС ПАТ "КОНЦЕРН НАФТОГАЗ", СТАНОМ НА 01.01.П.Р. МАВ ТАКИЙ ВИГЛЯД:

1. На основі даних балансу ПАТ "Концерн Нафтогаз" на звітну дату розрахувати динаміку інтегрального показника та зробити попередні висновки про кредитоспроможність позичальника.


Довідково: дані форми 2 (звіту про фінансові результати) на звітну дату: чистий дохід від реалізації (ряд. 035) - 24 387 тис. грн.; інші операційні доходи (ряд.060) - 43551 тис. грн.; фінансові результати від операційної діяльності (ряд. 100) - 7247 тис. грн.; фінансові витрати (ряд. 140) - 6716 тис. грн.; фінансові результати від звичайної діяльності (ряд. 170) - 10894 тис. грн.; Податок на прибуток від звичайної діяльності (ряд. 180) - 285 тис. грн.; чистий прибуток (рядок 220) - 10 609 тис. грн.; амортизація (ряд. 260) - 8 270 тис. грн.

Розв'язок:

1. Для попередньої оцінки кредитоспроможності позичальника враховуємо, що підприємство відноситься до переробної та добувної промисловості, виробництва та розподілення електроенергії, газу та води (4 група економічної діяльності). Для визначення класу боржника відповідно до вищезгаданого положення та формули (2.3.1) використовуємо наступну модель:

2. Розраховуємо значення фінансових коефіцієнтів, покладених в основу визначення інтегрального показника:

- коефіцієнт покриття (ліквідність третього ступеня)(К1), визначений за формулою (2.3.2) складає:

Отримане значення коефіцієнта К1 за звітний період теж дещо знизилося і показує, що обсяг поточних зобов'язань можна повністю погасити за рахунок оборотних активів.

- проміжний коефіцієнт покриття (К2), визначений за формулою (2.3.3) на початок і кінець звітного періоду, відповідно складає:

Отриманий результат за звітний період хоча і знизився, але показує, що підприємство спроможне погашати поточні зобов'язання у встановлені строки, очікувана платоспроможність боржника у короткостроковому періоді є достатньою;

- коефіцієнт фінансової незалежності (К3), визначений за формулою (2.3.4) на початок і кінець звітного періоду, відповідно складає:

Отриманий результат у звітному періоді має тенденцію до зниження, хоча частка власного капіталу залишається достатньою (більше 50%) у структурі джерел фінансування, що характеризує невисокий ступінь залежності підприємства від позичкових джерел фінансування;

- коефіцієнт покриття необоротних активів власним капіталом (К4), визначений за формулою (2.3.5) на початок і кінець звітного періоду, відповідно складає:

Отриманий результат свідчить, що хоча рівень фінансування необоротних (довгострокових) активів за рахунок власного капіталу підприємства на початок звітного періоду був достатнім (більше 1), то на кінець звітного періоду він суттєво знизився і став недостатнім (менше 1). Це є негативним;

- коефіцієнт рентабельності власного капіталу (К5), визначений за формулою (2.3.6) складає:

Отриманий результат свідчить, що у звітному періоді ефективність використання капіталу підприємства, інвестованого власником складала 0,08 або 8%.

- коефіцієнт рентабельності продаж за фінансовими результатами від операційної діяльності (К6) визначений за формулою (2.3.7) складає:

Отримані результати свідчать про достатню рентабельність продаж за фінансовими результатами від операційної діяльності;

- коефіцієнт рентабельності продаж за фінансовими результатами від звичайної діяльності (К7), визначений за формулою (2.3.8) складає:

Отримані результати свідчать про достатню рентабельність продаж за фінансовими результатами від звичайної діяльності;

- коефіцієнт рентабельності активів за чистим прибутком (К8), визначений за формулою (2.3.9) складає:

Отримані результати свідчать, що у звітному періоді ефективність використання (рентабельність) активів підприємства складала 0,05 або 5%;

- коефіцієнт оборотності оборотних активів (К9), визначений за формулою (2.3.10) складає:

Отримані результати свідчать, що кожна гривня оборотних активів приносить 3 коп. чистого доходу від реалізації, тобто ефективність використання оборотних активів підприємства складає 0,03 або 3%;

- коефіцієнт оборотності позичкового капіталу (К10), визначений за формулою (2.3.11) складає:

Отримані результати свідчать, що внутрішні джерела підприємства забезпечують фінансування поточних і довгострокових боргів лише на 24% (0,24).

2.1 Підставимо у модель, вказану у п. 1 дані вище визначених коефіцієнтів та розрахуємо значення інтегрованого показника за звітний період:

Розглядаючи величину підприємства як середнє та застосовуючи значення шкали, встановленої для інтерпретації значень інтегрованого показника (4 група за видом економічної діяльності), вказаної у таблиці 4 додатку 3 до Положення про порядок формування та використання банками України резервів для відшкодування можливих втрат за активними банківськими операціями, визначаємо клас боржника, фінансовий стан якого аналізується як клас 2.

Висновок: отримані результати проведених розрахунків свідчать, що підприємство, у цілому, є ліквідним і платоспроможним, але відчуває труднощі з мобільністю використання власних коштів. Це може пояснюватись специфічними особливостями даної галузі, а погіршення значень окремих коефіцієнтів на кінець звітного періоду - значними інвестиціями в нове будівництво. Враховуючи достатній рівень рентабельності діяльності підприємства та його ділової активності та невисокий рівень фінансового ризику підприємство можна вважати кредитоспроможним. А, оскільки значення більшості фінансових коефіцієнтів у звітному періоді мають тенденцію до зниження та відчуваються фінансові труднощі на кінець звітного періоду, то клас позичальника у наступному періоді може знизитися до 3.

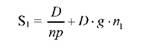
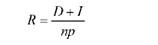
Розрахунки за різними способами погашень кредитів Кредити можуть погашатися як одним платежем, так і частинами. 2.4.1. При погашенні кредиту одним єдиним платежем, як правило по закінченню строку кредитування, сума нарахованих процентів та загальна сума боргу буде визначатися за формулами, що використовуються для визначення суми процентів за депозитними операціями. А саме, сума процентів, нарахованих за кредитом (І) буде визначатися за формулою: де: Р - сума основного боргу за кредитом (тіло кредиту); і - річна процентна ставка (береться по коефіцієнту); п - строк кредитування у роках; і - строк кредитування у днях; К - кількість днів у році. Приклад 9. Кредит в розмірі 500 грн. було взято 12.04. поточного року з терміном погашення 10.06. поточного року за ставкою 20% річних. Визначити суму нарахованих процентів за англійським методом. Розв'язок: Визначаємо термін (і), на який надано кредит за англійським методом: і = (30 - 12 + 1) + 31 + (10 - 1) = 59 днів. Сума нарахованих процентів за кредитом (І), визначена за формулою (2.13) складає: І = 500 х 0,2 х 59/365 = 500 х 0,2 х 0,16 = 16,2 грн. Приклад 10. Товариство з обмеженою відповідальністю "Трейтинг" згідно кредитного договору № 5 отримало у банку кредит в сумі 26 500 грн. на термін з 10 липня по 5 листопада поточного року під 18% річних. Борг у сумі 26500 грн. було повернено у встановлений договором термін, а залишок заборгованості через відсутність достатніх грошових коштів підприємство збирається погасити 20 грудня. Приклад 10. Визначити суму, яку підприємство повинно сплатити 20 грудня, якщо кредит був пролонговано на цей термін. За пролонгованими кредитами стягується процентна ставка, вказана у договорі, підвищена на 4 процентних пункти. Дайте відповідь на питання (можна використовувати Додаток 13): 1. Яким є механізм погашення кредиту? 2. Які штрафні санкції передбачає договір за прострочення погашення кредиту? 3. Яка черговість погашення заборгованості за кредитом? Нарахувати штрафні відсотки за простроченим кредитом Розв'язок: 1. Враховуючи, що погашення заборгованості позичальника за кредитним договором здійснюється в наступній черговості: o прострочена заборгованість за нарахованими процентами; o прострочена заборгованість за Кредитом; o строкова заборгованість за нарахованими процентами; o строкова заборгованість за Кредитом; o пеня за порушення строків повернення Кредиту та сплати процентів: o штрафні санкції, 2. Визначимо суму боргу позичальника на 5 грудня поточного року на основі формули (2.13) за термін з 10 жовтня по 5 грудня (і = (31 - 10 + 1) + 31 + 30 + 31 + (5 - 1) = 118 днів): Скориставшись формулою (2.13) визначимо суму підвищених відсотків - 22% (18 + 4=22), нарахованих банком на суму пролонгованого кредиту (1 542,08 грн.) за термін з 5 листопада по 20 грудня (і = (30 - 5 +1) + (20 - 1) = 45 днів): Таким чином, на 20 грудня поточного року борг позичальника буде складати 1 583,91 грн. (1542,08 + 41,83). 3. Механізм погашення заборгованості за кредитом та сплати процентів здійснюється згідно Графіку погашення боргу, який є невід'ємною складовою частиною кредитного договору. 4. Кредитний договір може передбачати наступні штрафні санкції: - у разі порушення позичальником умов цільового використання кредиту, кредитору сплачується штраф у розмірі (до 25%) процентів від суми кредиту, використаного не за цільовим призначенням; - у разі прострочення позичальником строків платежів в рахунок погашення кредиту та нарахованих процентів згідно графіку, позичальник сплачує пеню (наприклад, в розмірі 1 (Один) процент), в національній валюті України, від несвоєчасно сплаченої суми за кожний день прострочення, але не більше подвійної облікової ставки НБУ. що діяла у період невиконання зобов'язань за кредитним договором, а також у інших випадках. Приклад 11. Громадянин Левченко С.В. отримав 15 травня у ПАТ АБ "Приватбанк" споживчий кредит на придбання будівельних матеріалів в сумі 35 000 грн. з 15 травня по 15 листопада поточного року під 24% річних. Останній строк сплати процентів повинен співпасти з днем повернення кредиту. Пояснити механізм щомісячного стягнення процентів в процесі банківського кредитування. Розрахувати загальну суму кредиту, що підлягає поверненню в банк, якщо борг було повернено 22 листопада поточного року. Кредит не було пролонговано. Розмір пені за прострочення терміну погашення позички вказано в кредитному договорі Додатку 13. Розв'язок: 1. Механізм стягнення процентів за кредитом передбачається кредитним договором (додаток 13): - нарахування процентів за користування кредитом здійснюється на суму дійсної заборгованості за кредитом, у валюті кредиту щомісячно, за методом факт/360, де факт - фактична кількість днів у місяці, а 360 - умовна кількість днів у році. Сплата позичальником процентів здійснюється у валюті кредиту щомісячно, до 16.00 в день (на дату), на яку припадає погашення процентів згідно графіку, шляхом зарахування позичальником суми процентів на відповідний рахунок у банку. Позичальник може доручити кредитору здійснювати договірне списання коштів в сумі нарахованих процентів з рахунків позичальника в банку. 2. Скориставшись формулою (2.13) визначимо загальну суму нарахованих процентів з 15 травня по 15 листопада (і = (31 - 15 +1) + 30 + 31 + 31 + 30 + 31 + (15 - 1) = 184 дні): Сума цих нарахованих процентів буде сплачена позичальником за період кредитування кредитом згідно графіку щомісячними платежами по 715,56 грн. (4293,33: 6). 3. Оскільки позичальником прострочено строки платежів з погашення кредиту згідно графіку, визначимо суму пені, яку повинен буде сплатити позичальник. А саме, згідно умов кредитного договору (додаток 13) розмір пені складає 1 (Один) процент в національній валюті України, від несвоєчасно сплаченої суми за кожний день прострочення з 15 листопада по 22 листопада (і = 7 днів), але не більше подвійної облікової ставки НБУ (10,0 + 10,0 = 20,0%). що діяла у період невиконання зобов'язань за кредитним договором. У нашому випадку пеня за 7 днів складе 7%. Тим самим розмір нарахованої пені складе: 35 000 o 7: 100 = 2 450 грн. Загальний борг позичальника перед банком на 22 листопада складе 37 450 грн. (35000 + 2 450). 2.4.2. При погашенні кредиту частинами (ануїтетними платежами) можливі дві ситуації: а) При погашенні тільки основної суми боргу за кредитом рівними частинами поточне значення суми боргу після кожної чергової виплати буде зменшуватись, і, відповідно, буде зменшуватися база для нарахування процентів та сума процентів, що нараховуються за кожний наступний період. А саме, якщо сума основного боргу за кредитом дорівнює Б, термін кредиту - п років, а внески рівних частин основного боргу в погашення кредиту будуть здійснюватись р раз на рік, то загальна сума нарахованих процентів (І) може бути визначена за формулою (2.14): де § - процентна ставка за кредит При цьому, розмір виплати наприкінці першого року, який включає погашення частини боргу та сплату процентів за рік буде дорівнювати: де п1 - період, за який сплачується один платіж. б) При погашенні кредиту рівними строковими виплатами, які включають як погашення основної суми боргу так і виплату відповідної суми процентів. При цьому, якщо загальна сума нарахованих процентів за кредит І буде визначатися за формулою (2.14), то розмір однакових строкових виплат Я у раніше прийнятих умовних позначках буде дорівнювати: Приклад 12. Позичальник отримав кредит на 2 роки у розмірі 500 тис. грн. під 24 % річних, з умовою погашення основної суми кредиту рівними частинами в кінці кожного півріччя. Визначити: 1) основну суму боргу на початок та кінець кожного півріччя; 2) суму процентів, нарахованих за кожне півріччя; 3) розмір кожної виплати за кредитом протягом двох років. Рішення завдання доречно оформити у вигляді таблиці: Таблиця. ГРАФІК ОБСЛУГОВУВАННЯ БОРГУ (тис. грн.)
Рік Початковий баланс боргу Сума погашення кредиту Сума нарахованих процентів Річна виплата Кінцевий баланс боргу
           
Разом:          

Розв'язок:

Розв'язуючи дане завдання слід враховувати, що кредитні відносини між банком та позичальником будуються на засадах партнерства. Це, в свою чергу, означає, що всі питання, пов'язані з процесом кредитування, сторони вирішують на договірній основі, укладаючи кредитний договір.

Розв'язуючи задачу, ми можемо за формулою (2.15) визначити розмір платежів, що сплачуються позичальником раз на півріччя протягом двох років:

- за перше півріччя:

- за друге півріччя:

- за третє півріччя:

- за четверте півріччя:

На основі проведених розрахунків можна побудувати наступний графік погашення боргу: (тис. грн.)

Рік Початковий баланс боргу Сума погашення кредиту Сума нарахованих процентів Річна виплата Кінцевий баланс боргу
Рік 1, 1 півріччя 500 000 125 000 60 000 185 000 375 000
Рік 1, 2 півріччя 375 000 125 000 45 000 170 000 250 000
Рік 2, 1 півріччя 250 000 125 000 30 000 155 000 125 000
Рік 2, 2 півріччя 125 000 125 000 15 000 140 000  
Разом х 500 000 150 000 650 000 х

Приклад 13.

Споживчий кредит на суму 30 тис. грн. надано терміном на 6 місяців за наступними умовами: процентна ставка 17% річних;

Кредитне супроводження та страхування фінансових ризиків: - 0,96% комісійних від початкової суми кредиту щомісячно;

- 3% разової комісії за весь період користування кредитом;

- 5 грн. за оформлення кредитної справи та 10 грн. за касове обслуговування.

Погашення кредиту повинно здійснюватись рівними строковими внесками щомісячно. Визначити розмір щомісячних внесків та побудувати графік погашення боргу. Вказати, яка буде вартість кредиту за ефективною ставкою простих процентів.

Розв'язок:

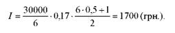
1. Сума нарахованих процентів, розрахована за формулою (2.14) складе:

2. Розмір рівних щомісячних виплат складе:

- погашення кредиту: 30 000: 6 = 5 000 (грн.);

- нарахованих відсотків: 1700: 6 = 283 (грн.) - протягом 5 місяців та 285 грн. у 6 місяці (оскільки 1700 на 6 рівно не ділиться);

На основі проведених розрахунків можна побудувати наступний графік погашення боргу: (тис. грн.)

Місяць Початковий баланс боргу Сума погашення кредиту Сума нарахованих процентів Сума нарахованих комісійних Щомісячна виплата Кінцевий баланс боргу
1-ий 30 000 5 000     5 571 25 000
2-ий 25 000 5 000     5 571 20 000
3-ій 20 000 5 000     5 571 15 000
4-ий 15 000 5 000     5 571 10 000
5-ий 10 000 5 000     5 571 5 000
6-ий 5 000 5 000     5 573  
Разом Х 30 000 1 700 1 728 33 428 Х

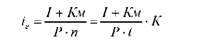
3. Для визначення вартості кредиту за ефективною ставкою простих процентів (іе) скористаємося формулою:

де: (/ + Км) - загальна сума нарахованих процентів, комісійних та інших виплат банку за кредитом;

Р - сума основного боргу за кредитом (тіло кредиту); п, і, - строк кредитування, відповідно, у роках чи у днях; К - кількість днів у році.

Для розрахунку вартості кредиту визначимо загальну суму виплат за кредитом (І + Км): 1 700 + 1 728 + 15 = 3 443 (грн.), і скориставшись формулою (2.17) отримаємо:

Таким чином реальна вартість кредиту складає 22,95% річних за вказаних вище умов.

Приклад 14.

Кредит на суму 6000 грн. відкрито на 2 роки за ставкою 20% річних. Погашення кредиту повинно здійснюватись рівними строковими внесками щоквартально. Визначити розмір щоквартального внеску.

Розв'язок:

Якщо погашення кредиту буде здійснюватись щоквартально, то сума нарахованих процентів за кредит, визначена за формулою (2.14), буде дорівнювати:

Відповідно, розмір щоквартального рівного внеску, визначений за формулою (2.16) складе:

 






Date: 2015-06-07; view: 1202; Нарушение авторских прав



mydocx.ru - 2015-2026 year. (1.128 sec.) Все материалы представленные на сайте исключительно с целью ознакомления читателями и не преследуют коммерческих целей или нарушение авторских прав - Пожаловаться на публикацию