Главная Случайная страница


Полезное:

Как сделать разговор полезным и приятным Как сделать объемную звезду своими руками Как сделать то, что делать не хочется? Как сделать погремушку Как сделать так чтобы женщины сами знакомились с вами Как сделать идею коммерческой Как сделать хорошую растяжку ног? Как сделать наш разум здоровым? Как сделать, чтобы люди обманывали меньше Вопрос 4. Как сделать так, чтобы вас уважали и ценили? Как сделать лучше себе и другим людям Как сделать свидание интересным?


Категории:

АрхитектураАстрономияБиологияГеографияГеологияИнформатикаИскусствоИсторияКулинарияКультураМаркетингМатематикаМедицинаМенеджментОхрана трудаПравоПроизводствоПсихологияРелигияСоциологияСпортТехникаФизикаФилософияХимияЭкологияЭкономикаЭлектроника






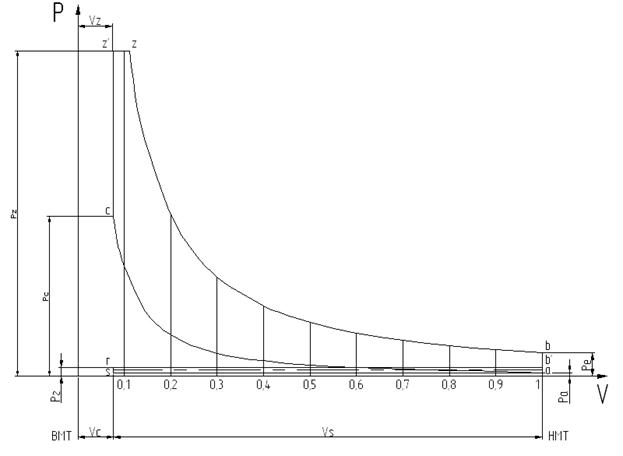
Построение расчетной индикаторной диаграммы





Построим теоретическую диаграмму по параметрам расчетного цикла. Ее также называют расчетной или проектной.

Построение диаграммы начнем с выбора масштабов P и V. По оси абсцисс откладываем объем (м3), а по оси ординат – давление (МН/м2).

Обозначим

где А – объём в точке а, выраженный в мм.

Значения Vs, Vc и Vz найдём по следующим формулам:

м3/кг

м3/кг

м3/кг

м3/кг

Аналитически м3/кг

Для нормальных соотношений длины высоты диаграмм следует принять величину Vs/Pz (в масштабе) в пределах: 1,3..1,6.

Точка а: Pa = 2,7 ∙10 5 Па Va = 10 м3/кг

Точка с: Pc = 103,08 ·10 5 Па Vc = 0,77 м3/кг

Точка z: Pz = 209,78 ∙10 6 Па Vz = 1,12 м3/кг

Точка z`: Pz = 209,78 ∙10 6 Па V z = 0,77 м3/кг

Точка в: Pв = 15,08 ∙10 5 Па Vв = 10 м3/кг

Используем уравнения политропы сжатия и расширения, результаты занесем в таблицу 4.

Vi=1…9 Vi’’ =1…9

Расчет точек политроп сжатия и расширения

Таблица 4

Vi P(Vi), МПа Vi’’ P(Vi’), МПа
  7,1   23,9
  2,65   10,4
  1,49   6,4
  0,99   4,5
Продолжение таблицы 4
  0,72   3,5
  0,55   2,78
  0,45   2,3
  0,37   1,97
  0,31   1,71

 

Далее строим по полученным точкам политропы сжатия и расширения.

Построенную индикаторную диаграмму покажем на рис. 18.

Определив площадь диаграммы acz`zва, которая равна F = 53,4 (при этом l = 18,46; в = 1,32), найдём среднее теоретическое индикаторное давление:

(32)

МПа

Аналитически определим среднее теоретическое индикаторное давление для цикла смешенного типа:

(33)

Па

Сопоставим значения , вычисленные по формулам () и (). Расхождение значений не превышает 4%.

Среднее индикаторное давление с учетом поправки на полноту диаграммы:

(34)

где φ принимаем 0,98.

Па


 

Рис. 18. Индикаторная диаграмма.







Date: 2015-05-04; view: 884; Нарушение авторских прав



mydocx.ru - 2015-2026 year. (0.272 sec.) Все материалы представленные на сайте исключительно с целью ознакомления читателями и не преследуют коммерческих целей или нарушение авторских прав - Пожаловаться на публикацию