Главная Случайная страница


Полезное:

Как сделать разговор полезным и приятным Как сделать объемную звезду своими руками Как сделать то, что делать не хочется? Как сделать погремушку Как сделать так чтобы женщины сами знакомились с вами Как сделать идею коммерческой Как сделать хорошую растяжку ног? Как сделать наш разум здоровым? Как сделать, чтобы люди обманывали меньше Вопрос 4. Как сделать так, чтобы вас уважали и ценили? Как сделать лучше себе и другим людям Как сделать свидание интересным?


Категории:

АрхитектураАстрономияБиологияГеографияГеологияИнформатикаИскусствоИсторияКулинарияКультураМаркетингМатематикаМедицинаМенеджментОхрана трудаПравоПроизводствоПсихологияРелигияСоциологияСпортТехникаФизикаФилософияХимияЭкологияЭкономикаЭлектроника






Магнитное поле прямого тока





 

Пусть имеется тонкий, прямой, бесконечно протяженный проводник, по которому течет ток . Вычислим магнитную индукцию в точке А, находящейся на расстоянии от проводника. Выделим элементарный участок тока . Направим радиус-вектор от элемента тока в точку А. Элемент тока создает в точке А магнитное поле с индукцией . Положение на рисунке выбрано произвольно, вектор от любого другого элемента тока в точке А будет иметь одно и то же направление – перпендикулярно плоскости чертежа. Следовательно, сложение векторов можно заменить сложением их модулей. Модуль определяется формулой (3).

Упростим эту формулу, выразив входящие в нее величины через один переменный параметр – угол :

; . В итоге получим:

 

В итоге получили выражение:

(5)

Для всех элементов тока бесконечно длинного прямого проводника угол изменяется в пределах от 0 до . Проинтегрируем в этих пределах полученное выражение:

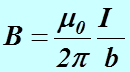
Таким образом, магнитная индукция поля бесконечно длинного прямого тока определяется выражением:

(6)

Для прямолинейного проводника конечной длины получим.

Угол изменяется в пределах от a1 до a 2.

 

 

Пределы интегрирования поменялись потому, что

Линии магнитной индукции прямого тока представляют собой концентрические окружности, охватывающие ток.







Date: 2015-05-04; view: 832; Нарушение авторских прав



mydocx.ru - 2015-2026 year. (0.491 sec.) Все материалы представленные на сайте исключительно с целью ознакомления читателями и не преследуют коммерческих целей или нарушение авторских прав - Пожаловаться на публикацию