Главная Случайная страница


Полезное:

Как сделать разговор полезным и приятным Как сделать объемную звезду своими руками Как сделать то, что делать не хочется? Как сделать погремушку Как сделать так чтобы женщины сами знакомились с вами Как сделать идею коммерческой Как сделать хорошую растяжку ног? Как сделать наш разум здоровым? Как сделать, чтобы люди обманывали меньше Вопрос 4. Как сделать так, чтобы вас уважали и ценили? Как сделать лучше себе и другим людям Как сделать свидание интересным?


Категории:

АрхитектураАстрономияБиологияГеографияГеологияИнформатикаИскусствоИсторияКулинарияКультураМаркетингМатематикаМедицинаМенеджментОхрана трудаПравоПроизводствоПсихологияРелигияСоциологияСпортТехникаФизикаФилософияХимияЭкологияЭкономикаЭлектроника






Удары, столкновения,разрывы,выстрелы





Если тела взаимодействуют друг с другом в течение очень ко­роткого промежутка времени, то взаимодействием данных тел cдругими телами в течение этого промежутка времени можно пренебречь. В таком случае систему тел приближенно можно счи­тать замкнутой.

Поставим опыт

Если катящийся бильярдный шар встречает точно на своем пути покоя­щийся шар, он передает ему свою скорость (и, следовательно, свой им­пульс), а сам останавливается (рис. 16.3). Очевидно, что при этом суммар­ный импульс шаров сохраняется.

В этом опыте шары можно заменить тележками равной массы.

Пример

При выстреле из пушки в горизонтальном направлении силы взаимо­действия между пушкой и ядром при движении ядра в стволе пушки намного больше, чем все другие горизонтальные силы, действующие на эти тела (рис. 16.4). Поэтому систему «пушка + ядро» можно приближенно считать замкнутой и применить к ней закон сохранения импульса.

Обозначим массы ядра и пушки m я и m п, а их скорости непосредственно после выстрела и . Вначале пушка и ядро покоились, поэтому из закона сохранения импульса получаем . Отсюда .

 

Знак «минус» означает, что в результате отдачи пушка покатилась в направлении, противоположном направлению скорости ядра. Скорость пушки тем меньше, чем больше ее масса.

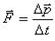
Почему при ударе возникают большие силы?

Из формулы следует, что если большое изменение им­пульса

 

тела происходит за очень короткий промежуток времени, то возникают большие силы (удар, толчок, столкновение).

Пример

Молоток непосредственно перед ударом имеет большой импульс , апосле удара его импульс становится практически равным нулю. Большое изменение импульса происходит за очень малое время, чем и обусловлена большая сила удара (рис. 16.5). По той же причине возникают огромные силы и при столкновении автомобилей, особенно если их относительная скорость велика (поэтому наиболее опасно столкновение встречных автомобилей).

Импульсом тела называют векторную величину, равную произведению массы тела на его скорость: .

Закон сохранения импульса: векторная сумма импульсов тел, составляющих замкнутую систему, не изменяется.

РТ

  1. Момент импульса и закон сохранения момента импульса






Date: 2015-09-24; view: 1848; Нарушение авторских прав



mydocx.ru - 2015-2026 year. (0.289 sec.) Все материалы представленные на сайте исключительно с целью ознакомления читателями и не преследуют коммерческих целей или нарушение авторских прав - Пожаловаться на публикацию