Главная Случайная страница


Полезное:

Как сделать разговор полезным и приятным Как сделать объемную звезду своими руками Как сделать то, что делать не хочется? Как сделать погремушку Как сделать так чтобы женщины сами знакомились с вами Как сделать идею коммерческой Как сделать хорошую растяжку ног? Как сделать наш разум здоровым? Как сделать, чтобы люди обманывали меньше Вопрос 4. Как сделать так, чтобы вас уважали и ценили? Как сделать лучше себе и другим людям Как сделать свидание интересным?


Категории:

АрхитектураАстрономияБиологияГеографияГеологияИнформатикаИскусствоИсторияКулинарияКультураМаркетингМатематикаМедицинаМенеджментОхрана трудаПравоПроизводствоПсихологияРелигияСоциологияСпортТехникаФизикаФилософияХимияЭкологияЭкономикаЭлектроника






Метод наименьших квадратов





По точкам, полученным в некотором эксперименте, требуется провести прямую линию таким образом, чтобы сумма квадратов отклонений экспериментальных точек от предполагаемой прямой была наименьшей.

у=Ах+В – искомая функция;

А,В – искомые коэффициенты.

Функция должна достигать минимума при выбранных А,В.

Исследуйте функцию S(A,B) на локальный экстремум.

Получите выражение для А, В, соответствующие экстремуму.

Постройте по методу наименьших квадратов прямую по точкам:

 

Хi Уi
   
   
   
   
   

 

Контрольные вопросы 1.Дайте определение частной производной первого порядка и производной по направлению. Какова взаимосвязь между ними? 2. Дайте определение градиента скалярного поля. Какова взаимосвязь между градиентом и производной по направлению? 3. Найдите направление наибыстрейшего возрастания функции в точке . Какова скорость изменения функции в этом направлении? 4. Запишите общее выражение для дифференциала первого порядка функции двух и трех переменных 5. Найдите смешанные производные для функции . 6. Частная производная функции по переменной в точке равна… 7. Частная производная функции по переменной в точке равна… 8. Частная производная функции по переменной в точке равна… 9. Линиями уровня функции являются …   Ответы: Задача 2. а) (-1;1) – максимум; (1;-1) – минимум; б) (-3;2;-1) – максимум; в) (2; -6; 1) – минимум;
  Задача 3. Х¹0; l=-1; М1(2;0;-1); М2(-2;0;-1); d2L<0;  
Задача 4 и примечания к ней У=0,8Х–0,4;  
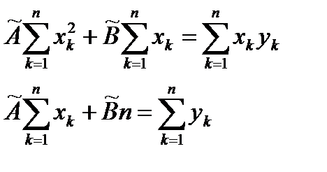
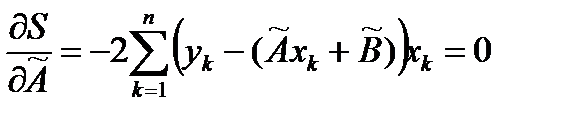
принимает наименьшее значение. Записываем необходимые условия существования экстремума для функции двух переменных , приравнивая к нулю частные производные:     .   В результате для нахождения оценок получаем систему уравнений:   , решение которой имеет вид:   , .    

 

  Уi  
     
     
     
     
     
10.
 
 
 

 

Основная учебная литература

 

1. Шипачев, В. С. Высшая математика: учебник для вузов [текст] / В. С. Шипачев. – М.: Высш. шк., 2012. – 447 с.

2. Алексеев Д. В. Конспекты по общему курсу математики: учеб. пособие для студентов инженерно-технических специальностей [электронный ресурс] / Д. В. Алексеев; ГУ КузГТУ. – Кемерово, 2008.

3. Казунина, Г. А. Математика: элементы теории функций комплексного переменного: учеб. пособие для вузов [текст] / Г. А. Казунина, Г. А. Липина, Л. В. Пинчина; ГУ КузГТУ. – Кемерово, 2003. – 104 с.

4. Казунина, Г. А. Преобразования Фурье. Преобразования Лапласа: учеб. пособие для вузов [электронный ресурс] / Г. А. Казунина; ГУ КузГТУ. – Кемерово, 2009.

5. Гмурман, В. Е. Теория вероятностей и математическая статистика: учеб. пособие для вузов [текст] / В. Е. Гмурман. – М.: Высшее образование, 2008. – 479 с.

 

7.2. Дополнительная учебная литература, книги издательства «Лань»

6. Берман, Г. Н. Сборник задач по курсу математического анализа: учеб. пособие для вузов [текст] / Г.Н. Берман. – СПб.: Профессия, 2005. – 423 с.

7. Клетеник, Д. В. Сборник задач по аналитической геометрии: учеб. пособие для вузов [текст] / Д. В. Клетеник.– СПб.: Профессия, 2005. – 200с.

8. Петрушко, И. М. Курс высшей математики: введение в математический анализ, дифференциальное исчисление. Лекции и практикум [электронный ресурс] / И. М. Петрушко. – СПб.: Лань, 2009. – 288 с.

9. Петрушко, И. М. Курс высшей математики: интегральное исчисление, функции некольких переменных, дифференциальные уравнения. Лекции и практикум [эектронный ресурс] / И. М. Петрушко.– СПб.: Лань, 2008. – 608 с.

10. Петрушко, И. М. Курс высшей математики: кратные интегралы, векторный анализ. Лекции и практикум [электронный ресурс] / И. М. Петрушко.– СПб.: Лань, 2008. – 320 с.

11. Петрушко, И. М. Курс высшей математики: теория функций комплексной переменной. Лекции и практикум [электронный ресурс] / И. М. Петрушко, А. Г. Елисеев, В. И. Качалов, С.Ф. Кудрин [и др.]. – СПб.: Лань, 2010. – 368 с.

12. Курс высшей математики: теория вероятностей. Лекции и практикум [электронный ресурс] /под ред. И. М. Петрушко. – СПб.: Лань, 2008. – 352 с.

13. Волков, Е. А. Численные методы [электронный ресурс] / Е. А. Волков. – СПб.: Лань, 2008. – 256 с.


14. Алексеев, Д. В. Элементарные аналитические методы и свойства основных элементарных функций: учеб. пособие для вузов [текст] / Д. В. Алексеев, Г. А. Казунина, Г. В. Алексеевская; ГУ КузГТУ. – Кемерово, 1998. – 92 с.

15. Сборник задач по математике для втузов: ч.3: теория вероятностей и математическая статистика [текст] / под ред. А. В. Ефимова. – М.: Наука, 1990. – 425 с.

16. Сборник задач по математике для втузов ч.2: специальные разделы анализа [текст] / под ред. А. В. Ефимова. – М.: Наука, 1990. – 321 с.

17. Сборник задач по математике для втузов под ред. А. В. Ефимова ч.1: линейная алгебра и основы математического анализа [текст]. – М.: Наука, 1990. – 461 с.

18. Казунина, Г.А. Математика: элементы математической статистики с применением Microsoft Excel: учеб. пособие для вузов [электронный ресурс] / Г. А. Казунина, Л. В. Пинчина; ГУ КузГТУ. – Кемерово, 2009.

19. Казунина, Г.А. Математика 1 семестр: материалы к лекционному курсу (направление 140400.62 «Электроэнергетика и электротехника»): учеб. пособие [электронный ресурс]/ Г.А. Казунина, Г.А. Липина; ГУ КузГТУ. – Кемерово, 2012.

20. Казунина, Г.А. Математика 1 семестр: методические указания для самостоятельной работы (направление 140400.62 «Электроэнергетика и электротехника»): [электронный ресурс]/ Г.А. Казунина, Г.А. Липина; ГУ КузГТУ. – Кемерово, 2012.

21. Казунина, Г.А. Математика 2 семестр: материалы к лекционному курсу (направление 140400.62 «Электроэнергетика и электротехника»): учеб. пособие [электронный ресурс]/ Г.А. Казунина, Г.А. Липина; ГУ КузГТУ. – Кемерово, 2012.

22. Казунина, Г.А. Математика 2 семестр: материалы к лекционному курсу (направление 140400.62 «Электроэнергетика и электротехника»): учеб. пособие для самостоятельной работы студентов [электронный ресурс]/ Г.А. Казунина, Г.А. Липина; ГУ КузГТУ. – Кемерово, 2012.

 

Министерство образования и науки РФ

государственное бюджетное образовательное учреждение

высшего профессионального образования «Кузбасский государственный технический университет» им. Т.Ф. Горбачева

 

 

Направление подготовки 140100

«Теплоэнергетика и теплотехника»

 







Date: 2015-09-24; view: 548; Нарушение авторских прав



mydocx.ru - 2015-2026 year. (0.088 sec.) Все материалы представленные на сайте исключительно с целью ознакомления читателями и не преследуют коммерческих целей или нарушение авторских прав - Пожаловаться на публикацию